Расчет натяжений и стрел провеса несущего троса полукомпенсированной цепной подвески
Несущий трос полукомпенсированной цепной подвески при изменении температуры окружающего воздуха изменяет свое натяжение, а следовательно, и стрелу провеса.
Расчет натяжений некомпенсированного несущего троса в зависимости от температуры можно вести по формулам свободно подвешенного провода, но с переменной (зависящей от F - FQ) нагрузкой, т.е.
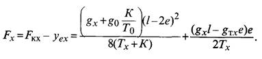
.Если контактный провод расположен с провесом только в части пролета (1К = I- 2е), как это имеет место в рессорных подвесках и в подвесках со смещенными от опор вертикальными струнами, то переменная нагрузка на несущий трос в пролете lk определяется:

Уравнения состояния несущего троса полукомпенсированной рессорной подвески и подвески со смещенными от опор вертикальными струнами при учете g3K, а также сосредоточенных нагрузок, действующих на трос, получаются громоздкими и неудобными для расчетов, поэтому они здесь не приводятся. Однако расчеты с помощью уравнений показали, что при расположении контактного провода со стрелой провеса только в пролете lк = l - 2е, особенно при больших значениях е (10—12 м), контактный провод незначительно влияет на изменение натяжения несущего троса при изменении температуры воздуха.
Расчеты натяжений тросов полукомпенсированных подвесок в зависимости от температуры и дополнительных нагрузок от гололеда и ветра в проектных организациях ведут по уравнению состояния для свободно подвешенного провода. Уравнение состояния для несущего троса цепной подвески:

Подставляя в это уравнение различные значения Тх, взятые через произвольные интервалы (например, через каждые 2 кН), получают соответствующие значения tx, которые должны быть в пределах заданного диапазона температур (от tmin до tmах)- По полученным данным строят монтажную кривую Тх (tx). По этой кривой при t0 находят T0 — натяжение несущего троса при беспровесном положении контактных проводов.
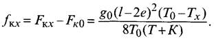
Для определения стрел провеса несущего троса при различных температурах пользуются формулой

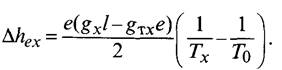
Вертикальное перемещение несущего троса и контактного провода на расстояние е от опоры

Параметры тросов рессорных струн (Hp и а) полукомпенсированных цепных подвесок обычно выбирают из условия, чтобы изменения высоты контактного провода под опорой при крайних температурных режимах получались примерно такими же, как под ближайшими от опор вертикальными струнами, т.е. чтобы контактный провод у опор на участке 2е перемещался при изменении температуры параллельно самому себе. В этом случае стрела провеса контактного провода в пролете lк при различных температурах

Для монтажа цепной контактной подвески, кроме натяжений нагруженного несущего троса при различных температурах, необходимо также знать натяжения, которые должен иметь несущий трос при монтаже до подвески на нем контактных проводов.
Для определения натяжений ненагруженного несущего троса, приняв в качестве исходного режим нагрузки несущего троса контактными проводами при беспровесном их положении (при температуре t0), после подстановки соответствующих значений получим

Подставляя в полученную формулу различные значения Нх, взятые через произвольные интервалы, определяют соответствующие значения tx и строят кривую Нх (tx).
Стрелы провеса ненагруженного несущего троса находят по формуле

При расчетах цепных подвесок максимальные допустимые натяжения некомпенсированных несущих тросов Tmах рекомендуется принимать: для тросов М-120, ПБСМ-95 и ПБСА 50/70 — 18; тросов М-95 и ПБСМ-70 — 15; натяжения компенсированных несущих тросов М-120, ПБСМ-95 и ПБСА 50/70 — 16—18; М-95, ПБСМ-70 — 14—15 кН.
Контрольные вопросы
1. В чем заключается механический расчет свободно подвешенного провода?
2. Как влияет изменение температуры на натяжение некомпенсированного одиночного провода?
3. Как устанавливают исходный расчетный режим при расчетах свободно подвешенного провода?
4. В чем заключается механический расчет проводов в анкерном участке?
5. Как выглядят монтажные кривые свободно подвешенного провода?
6. Как используют монтажные таблицы при монтаже свободно подвешенного провода?
7. Что такое уравнение провисания троса цепной подвески?
8. Как устанавливают исходный расчетный режим цепной подвески?
9. Как влияет изменение температуры воздуха на стрелы провеса контактных проводов полукомпенсированных и компенсированных контактных подвесок?
10. Как рассчитывают натяжение несущего троса полукомпенсированной цепной подвески?
14.10. Практические занятия № 12 по теме:
Дата добавления: 2015-10-09; просмотров: 3860;
