Расчет изменений стрел провеса проводов компенсированной цепной подвески
В компенсированной цепной подвеске, расположенной на прямом участке пути, наличие компенсаторов в несущем тросе предотвращает влияние изменения температуры воздуха на натяжение троса, и, следовательно, стрелы провеса остаются неизменными во всем диапазоне температур воздуха.
Провес несущего троса компенсированной подвески и высота расположения контактного провода в пролете могут измениться при изменении вертикальной нагрузки на несущий трос вследствие образования гололеда на контактной подвеске или износа контактных проводов.
На кривых участках пути может измениться натяжение компенсированного несущего троса в результате появления горизонтальных реакций консолей, вызванных изменением направления контактной подвески у опор. При развороте консолей возникают усилия, направленные вдоль несущего троса и вызывающие изменения его натяжения от пролета к пролету по мере удаления от компенсатора. Причиной изменения натяжения может служить и сам компенсатор (заедание блоков и др.).
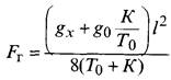
Чтобы представить влияние гололедной нагрузки на изменение высоты расположения контактного провода компенсированной подвески рассмотрим ее схему (см. рис. 14.8). Начнем со случая, когда контактный провод до появления гололеда располагается в пролете беспровесно, т.е.f= 0. Тогда стрелу провеса несущего троса можно найти по формуле

Приналичии гололеда на проводах цепной подвески стрелу провеса несущеготроса найдем по формуле

Изменение высоты расположения контактного провода в середине пролета А/гкг определяется как разность FT и F0, т.е.

где gr = gx - g0 — нагрузка от гололеда на проводах цепной под-вееки, даН/м.
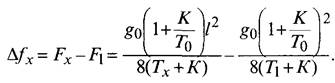
Если до появления гололеда контактный провод был смонтирован со стрелой провеса/(см. рис. 14.12), тогда

В этом случае изменение высоты расположения контактного провода в середине пролета

Таким образом, начальный провес контактного провода не влияет на изменение стрелы провеса несущего троса компенсированной подвески при появлении на ее проводах гололеда.
Можно определить изменение высоты расположения контактного провода от гололеда на проводах, сложных по схеме загрузки несущего троса (например, см. рис. 14.10 или 14.11) компенсированных подвесок.
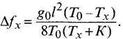
Аналогично можно определить и изменение стрелы провеса контактного провода компенсированной подвески вследствие его износа (по схеме подвески рис. 14.8):

где Δfи — изменение стрелы провеса контактного провода, м;
ΔgK — изменение веса контактного провода вследствие его износа, даН/м.
Рассмотрим, как изменится стрела провеса контактного провода при изменении натяжения компенсированного несущего троса. Если контактный провод сначала был смонтирован беспровесно при T0, а затем натяжение несущего троса изменилось на ТХ(ТХ< T0), to контактный провод по схеме цепной подвески рис.14.12 получит стрелу провеса:

В том случае, когда контактный провод был смонтирован с начальной стрелой провеса/j, при изменении натяжения компенсированного несущего троса с Т1 на Тх (Тх < Т1) стрела провеса контактного провода увеличится на

Так как в компенсированной цепной подвеске Tl = T0, то после преобразований получим

В том случае, когда контактный провод имеет провес только на длине пролета lк (например, по схеме загружения рис. 14.10 или 14.11), изменение стрелы провеса контактного провода можно определить по формуле

где Δhe — вертикальное перемещение контактного провода на расстоянии е от опоры при изменении натяжения несущего троса Т1 на Тх;

Значения уех и уе1 для рассматриваемых схем цепных подвесок можно найти, подставляя в них вместо T сначала Тх, а затем Т1
Например, для подвески, имеющей схему загружения несущего троса на рис. 14.10, будем иметь

Дата добавления: 2015-10-09; просмотров: 1984;
