Методика расчета необходимой степени очистки сточных вод при сбросе их в водные объекты
Сточные воды, спускаемые в водоем, должны быть очищены до такой степени, чтобы они не оказывали на него вредного влияния.
Для того чтобы правильно определить необходимую степень очистки сточных вод, в каждом случае нужно иметь подробные данные об их объеме и составе, а также данные детальных обследований водоема, позволяющие характеризовать местные гидрологические и санитарные условия. Необходимая степень очистки сточных вод определяется применительно к общесанитарным и органолептическим показателям вредности и к каждому из нормативных показателей загрязнения.
Расчеты по определению необходимой степени очистки сточных вод, спускаемых в водоем, производят по содержанию взвешенных веществ, потреблению сточными водами растворенного кислорода, допустимой величине БПК в смеси речной воды и сточных вод, изменению активной реакции воды водоема, окраске, запаху, солевому составу и температуре воды, а также по предельно допустимым концентрациям токсичных примесей и других вредных веществ.
Связь между санитарными требованиями к условиям спуска сточных вод в водоемы (соответствие состава и свойств воды водоема, используемого для водопользования населения, установленным нормативам) и необходимой степенью очистки сточных вод перед спуском их в водоем в общем виде выражается формулой

где Сст — концентрация загрязнения (вредного вещества) сточных вод, при которой не будут превышены допустимые пределы (расчетный показатель состава и свойств воды в соответствии с санитарными требованиями); Ср — концентрация этого же вида загрязнения (вредного вещества) в воде водоема выше места выпуска рассматриваемого стока; Q и q — расход воды в водоеме и расход сточных вод, поступающих в водоем (в одинаковом измерении); а— коэффициент обеспеченности смешения, определяющий долю расчетного расхода водоема Q, который реально может участвовать в разбавлении сточных вод; Спр,д — нормативный показатель или предельно допустимое содержание загрязнения (вредного вещества) в воде водоема
Значение расчетного показателя загрязнения сточных вод Сст, определяемое расчетом для нового или для существующего объекта и положенное в основу проектирования очистных сооружений, приобретает значение контрольной величины на период эксплуатации этих сооружений.
Определение необходимой степени очистки по содержанию взвешенных веществ. Допустимое содержание взвешенных веществ т в спускаемых сточных водах в соответствии с санитарными правилами может быть подсчитано по уравнению
aQb + qm = (aQ + q)(b + р),
где b – содержание взвешенных веществ в воде водоема до спуска сточных вод, г/м3; р — допустимое по санитарным правилам увеличение содержания взвешенных веществ в водоеме после спуска сточных вод (в зависимости от вида водопользования), г/м3.
Степень необходимой очистки по взвешенным веществам может быть определена по формуле
D =100 (С — т)/С,
где С– количество взвешенных веществ в сточной воде до очистки, г/м3.
Во избежание отложения взвешенных веществ в водоеме гидравлическая крупность их не должна превышать при выпуске в реку 0,4 мм/с и в водохранилище 0,2 мм/с. Если в сточной воде содержатся взвешенные частицы, не удовлетворяющие этому требованию, то сточную жидкость перед сбросом в водоем необходимо подвергнуть отстаиванию для задержания частиц, оседающих с указанной скоростью.
В тех случаях, когда примеси к сточной воде представляют собой токсичные вещества или вещества, потребляющие большой объем растворенного в воде водоема кислорода, возможность их сброса в водоем определяется по предельно допустимой концентрации вредных веществ или по потреблению растворенного кислорода.
Определение необходимой степени очистки по БПКполн. При расчете учитывается изменение степени загрязненности за счет разбавления сточных вод водой водоема, а также за счет биохимических процессов самоочищения сточных вод от органических веществ.
Баланс биохимической потребности в кислороде смеси речной и сточной воды в расчетном пункте (без учета реаэрации) выражается уравнением

где Lст –БПКполнсточной жидкости, которая должна быть достигнута в процессе очистки; Lp – БПКполн речной воды до места выпуска сточных вод; Lпр.д – предельно допустимая БПКполнсмеси речной и сточной воды в расчетном створе; kCT и kp — константы скорости потребления кислорода сточной и речной водой; t—продолжительность перемещения воды от места выпуска сточных вод до расчетного пункта в сутках, равная отношению расстояния по фарватеру от места выпуска сточных вод до расчетного пункта Lср к средней скорости течения воды в реке на данном участке uср.
Отсюда

Если фактическая БПКполнподлежащей сбросу сточной воды до выпуска в водоем сточная вода должна быть очищена; необходимый эффект очистки определяется выражением

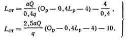
Определение необходимой степени очистки по растворенному в воде водоема кислороду.Допустимую максимальную величину БПКспускаемых в водоем сточных вод определяют исходя из требований санитарных правил о сохранении в водоеме минимального содержания растворенного кислорода, равного 4 мг/л, после спуска сточных вод. Расчеты ведут для величины БПКполн.Аналогичным образом производят расчеты и для кислородного режима рыбохозяйственных водоемов при допустимом минимальном содержании растворенного кислорода 6 мг/л. Кислородный режим в водоемах определяют для летнего и зимнего периода; в качестве расчетного следует принимать наиболее неблагоприятный период, требующий сохранения необходимого содержания кислорода.
Как уже указывалось, окисление органических веществ в водоеме происходит за счет растворенного кислорода и реаэрации. Кроме того, в окислении участвует кислород от фотосинтеза, который учитывают только в расчетах при проектировании окислительных прудов или лагун, где фотосинтезирующим организмам фитопланктона (водоросли хлорелла и др.) принадлежит ведущая роль.
Наиболее простой способ расчета основан на учете поглощения сточными водами только того растворенного кислорода, который подходит с речной водой к месту спуска сточных вод. При этом считают, что если концентрация содержащегося в речной воде растворенного кислорода не станет ниже 4 мг/л в течение первых двух суток, то это снижение не произойдет и в дальнейшем.
Это условие может быть выражено уравнением

где Op—содержание растворенного кислорода в речной воде до места спуска сточных вод, г/м3; aQ— расчетный расход воды, м3/с, участвующей в смешении; q— расход сточных вод, м3/с; Lpи LCT —БПКполнсоответственно речной и сточной воды, г/м3; 0,4— коэффициент для пересчета БПКполн,определяемой лабораторным путем, в двухсуточное; 4—наименьшая концентрация растворенного кислорода, которая должна сохраниться в воде водоема, г/м3.
Таким образом, приведенное выше уравнение составлено из условия, что весь наличный запас растворенного в водоеме кислорода QOp должен быть в такой мере израсходован на окисление органического загрязнения речной и сточной воды (Q Lp+q LCT) 0,4,чтобы в общей смеси речной и сточной воды концентрация растворенного кислорода была равна или больше 4мг/л, как это требуется по санитарным правилам. Допустимая концентрация сточных вод при этом условии

Если полученное значение LCT меньше расчетной концентрации проектируемых к спуску в водоем сточных вод, то последние должны быть очищены до концентрации органических загрязнений по БПКполн,равной концентрации LCT, найденной расчетом.
Второй способ расчета позволяет учитывать процессы поглощения кислорода сточными водами из речной воды и поверхностную реаэрацию.
При расчете кислородного баланса реки по этому способу кроме указанных выше величин учитывают: а) среднюю скорость движения воды в водоеме v, м/с; б) температуру воды в реке в расчетный период T, °С) константы (постоянные величины в соответствующих уравнениях) скорости биохимического поглощения кислорода k1 и скорости поверхностной реаэрации k2.
Расчет кислородного режима будет более точным и полным в том случае, если все указанные величины определены прямым путем в порядке предварительного изучения участка реки, в который предполагается спускать сточные воды. Если такое предварительное изучение неосуществимо, прибегают к косвенным приемам определения этих величин. Например, для установления Т и v используют данные, публикуемые в «Гидрологическом ежегоднике», и других справочниках, а для установления численных значений k1, k2, Ор — данные наблюдений, проводившихся на других водоемах, или вычисляют по формулам, приведенным выше.
Время t перемещения речного потока от места выпуска сточных вод до того пункта в реке, где наступает максимальный дефицит кислорода, определяется по уравнению. Расчет основан на следующих предпосылках.
Первая предпосылка заключается в том, что практический интерес представляет определение Lр, т. е. того времени от начала процесса, когда дефицит кислорода достигает наибольшей величины.
Вторая предпосылка вытекает из нормативных указаний, по которым при любых условиях (т. е. при любом дефиците) в воде водоема должно оставаться 4 мг/л растворенного кислорода. Это значит, что Dt—Op—4 (где Ор — количество кислорода в речной воде, которое соответствует его предельной растворимости при заданной температуре; например, Ор=9,17 мг/л при 20° С).
Третья предпосылка определяется практической целью расчета, дающего прямой ответ на вопрос о допустимости той нагрузки водоема органическими веществами, которая была определена при расчете по БПК с учетом частичного окисления (минерализации) органических веществ при перемещении воды к ближайшему пункту водопользования. Иначе говоря, должно быть проверено, будет ли допускаемое по БПК загрязнение водоема угрожать его кислородному режиму, т.е. останется ли в воде 4 мг/л кислорода и в критический момент времени tKp. При этом условии величина La является средней и определяется из уравнения

Определение необходимой степени очистки по температуре воды водоема.Расчет производится в соответствии ссанитарными требованиями, ограничивающими повышение летней температуры воды за счет поступающих в водоем сточных вод. Это условие описывается уравнением

где Тст— температура сточных вод, при которой соблюдается санитарное требование относительно температуры воды в створе пункта водопользования; Тр—максимальная температура воды водоема до выпуска сточных вод в летнее время; Тд — допустимое повышение (не более чем на 3°) температуры воды водоема.
Определение необходимой степени очистки по общесанитарному показателю вредности. При определении необходимой степени очистки сточных вод по санитарно-токсикологическому, атакже по общесанитарному и органолептическому (окраска, запах ипривкус) показателям вредности, по которым установлены предельно допустимые концентрации, пользуются формулой.
Полученное по этой формуле значение Сст характеризует концентрацию загрязнения сточных вод, которая должна быть достигнута в процессе очистки и обезвреживания сточных вод.
Географическим обществом США проводились исследования по определению кадмия, хрома, свинца и ртути в воде рек и водохранилищ и влиянию этих металлов на токсичность воды.
В ходе исследования особо отмечалась токсичность кадмия. Вода, используемая всельском хозяйстве, согласно стандартам, не должна иметь концентрацию кадмия выше 0,005 мг/л. Этот металл особенно опасен в связи с синергическим эффектом. Высокотоксичный синергизм достигается при соединении свободных ионов циана с ионами кадмия. Для микроорганизмов это соединение токсично при концентрации 0,1 мг/л. Исследования показали, что гибель рыбы может произойти при концентрации хлорида кадмия 0,2мг/л.
Токсичность хрома обусловлена температурой воды, значением рН, временем контакта и валентностью. Предлагаются следующие нормы безопасного содержания хрома в воде: для рыбы — 0,5 мг/л, для микроорганизмов — 5 мг/л, при использовании для нужд водоснабжения — 0,5 мг/л.
Свинец должен полностью отсутствовать в водопроводной воде. Хотя элементарный свинец не является отравляющим веществом, его долгое употребление может привести к серьезным отравлениям. Соли свинца представляют собой высокотоксичные соединения.
Определение необходимой степени разбавления по окраске, запаху и привкусу.В тех случаях, когда имеются анализы сточных вод с указанием степени разбавления, при которой окраска и запах сточных вод исчезают, достаточно сравнение величины разбавления, указанной в анализе, с расчетной величиной разбавления, которое возможно у створа ближайшего пункта водопользования, чтобы решить вопрос о необходимости очистки сточных вод в отношении запаха и окраски перед их спуском в водоем.
Определение необходимой степени очистки по изменению активной реакции воды.При решении вопроса о спуске кислых и щелочных сточных вод должна быть учтена нейтрализующая способность водоема. В некоторых случаях благодаря этой способности можно обойтись без специальной обработки сточных вод.
Вода водоемов содержит гидрокарбонаты кальция Са (НС03)2 и магния Mg (НС03)2, обусловливающие ее карбонатную жесткость, а также угольную кислоту. Кислоты, поступающие в водоем с производственными сточными водами, взаимодействуют с гидрокарбонатами, вытесняя из них диоксид углерода, в связи с чем содержание гидрокарбонатов в воде (т. е. ее щелочность) уменьшается, а содержание свободной углекислоты увеличивается.
Реакция нейтрализации (например, серной кислоты) в водоеме за счет гидрокарбонатов кальция протекает по формуле
Са(НС03)2 + H2S04 = CaS04+ 2Н20 + 2С02.
Поступление в водоем вместе со сточными водами щелочей приводит к взаимодействию их со свободным диоксидом углерода, что увеличивает щелочность водоема. Реакция в этом случае может протекать по формуле
2NaOH + СО2 = Na2C03 + Н20.
При сбросе в водоем кислых сточных вод следует нормировать их по значению рН речной воды:

где pk1 — отрицательный логарифм первой константы диссоциации угольной кислоты; [НСОд-] — концентрация гидрокарбонатов, мг-экв/л; С02 — концентрация диоксида углерода, мг/л;

рНф – рН речной воды в контрольном пункте при фактическом режиме.
При сбросе в водоем щелочных сточных вод также определяется значение рН речной воды:

где

параметр В определяется так же, как и при сбросе кислых сточных вод.
Дата добавления: 2015-07-14; просмотров: 3608;
