Інтегруваня за частинами в невласному інтегралі І роду
Теорема 4. Нехай функції
визначені ідиференційовані на
, при цьому виконуються наступні умови:
1) Функції
- неперервні на
;
2)
;
3)
,
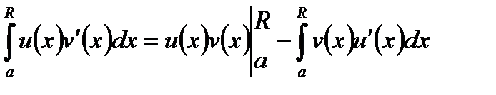
тоді
. (1)
Формула (1) називається формулою інтегрування за частинами в НІ І роду.
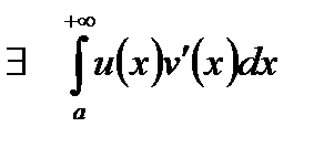
Доказ. Розглянемо будь-який
. На ньому діє знайома формула інтегрування за частинами для інтегралу Рімана:
. (2)
З умов теореми маємо, що
.
Тоді з рівняння (2) витікає одночасна збіжність чи розбіжність інтегралів
, і має місце (1), коли один з інтегралів збігається.
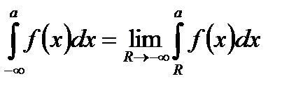
Визначення 2. Невласний інтеграл І роду також можна визначити наступним чином:
,
чи
, (3)
до того ж в (3)
незалежно одне від одного.
Питання
1. Коли НІ І роду називається абсолютно збіжним? Навести приклади абсолютно збіжних НІ І роду.
2. Коли НІ І роду називається умовно збіжним? Навести приклади умовно збіжних НІ І роду.
3. Як повязані між собою абсолютна і умовна збіжність НІ І роду?
4. Ознаки Абеля та Діріхлє.
5. При яких умовах можна проводити заміну змінної у НІ І роду? Навести приклади.
6. Коли у НІ І роду можна проводити інтегрування за частинами? Навести приклади.
Дата добавления: 2015-08-21; просмотров: 935;
