Замена переменной в несобственном интеграле І рода
План
- Абсолютная и условная сходимость несобственного интеграла І рода
- Замена переменной в несобственном интеграле І рода
- Інтегрирование по частям в несобственном интеграле І рода
1. Абсолютная и условная сходимость несобственного интеграла І рода
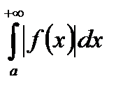
Определение 1 . НИ І рода
сходится абсолютно, если сходится
.
Если
сходится, а
расходится, то говорят, что
сходится условно.
Утверждение. Из абсолютной сходимости несобственного интеграла вытекает его сходимость.
Доказательство вытекает из общего достаточного условия сходимости (лекция 37), если положить
.
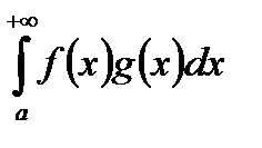
Теорема 1 (признак Абеля). Пусть
и
определены на
и выполняются следующие условия:
1)
интегрируема на
, т.е.
является сходящимся;
2)
- монотонна и ограничена на
,
тогда
сходится.
Теорема 2 (признак Дирихле). Пусть
и
определены на
и выполняются следующие условия:
1) для
функция
, которая определяется как
, является ограниченной на множестве
;
2)
монотонная функция на
,
,
тогда
сходится.
Замечание. Из признака Дирихле вытекает признак Абеля.
Доказательство. Покажем, что выводы, которые делаются из теоремы Абеля, вытекают из условий Дирихле.
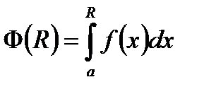
1) В теореме Абеля для функции
требуется сходимость
. Интеграл
сходящийся, если существует
. Из существования предела функции
вытекает ее ограниченность. Таким образом, выполняется первое условие признака Дирихле.
2) В признаке Абеля функция
должна быть монотонной и ограниченной. Из этого вытекает существование конечного предела
. Учитывая это, рассмотрим
:

Таким образом, имея условия признака Абеля, которые накладываются на функции
и
, мы можем доказать сходимость
, пользуясь признаком Дирихле, что и нужно было доказать.
Пример. Исследовать на сходимость
.
Покажем выполнение условий Дирихле для подинтегральной функции. Для этого выберем:
,
.
Такой выбор является целесообразным, поскольку для выбранных функций выполняются условия Дирихле. Действительно:
,
что говорит о выполнении 1) условия для функции
;
, если
к тому же
монотонная,
что свидетельствует о выполнении условия 2). Поэтому
сходится при
.
Замена переменной в несобственном интеграле І рода
Теорема 3. Пусть функция
определена на
, и для нее выполняются следующие условия:
1)
непрерывна на
;
2)
является областью значений некоторой строго монотонной функции
,
(а возможно
);
3)
- непрерывна на
(или
);
4)
,
тогда сходимость (расходимость)
равносильна сходимости (расходимости)
(или
) и
.
Доказательство вытекает из рассмотрения обычного интеграла Римана
, в котором делаем замену переменной, а потом переходим к пределу, когда
.
Пример. Обчислити інтеграл
чи довести його розбіжність.
.
Отримана границя не існує, тому поданий інтеграл є розбіжним.
Дата добавления: 2015-08-21; просмотров: 2926;
