Второе и третье достаточные условия локального экстремума
Теорема 2 (второе достаточное условие локального экстремума). Пусть функция
определена на
,
, и выполняются условия:
1.
;
2. существует
,
тогда
имеет локальный экстремум в точке
, а именно
- локальный максимум, если
;
- локальный минимум, если
.
Второе достаточное условие является частным случаем третьего достаточного условия локального экстремума.
Пусть функция
определена на
и
раз дифференцирована в точке
, и выполняются условия:
,
(1)
.
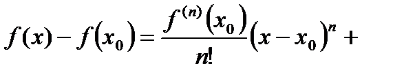
Воспользуемся для
формулой Тейлора с остаточным членом в форме Пеано:
,
,
которая, учитывая условия (1), принимает вид:
,
. (2)
Запишем остаточный член в следующем виде:
, де
.
Тогда из (2) получим:
. (3)
Поскольку
, то для любых
, достаточно близких к
имеем:
.
Рассмотрим два возможных случая для значения
.
1. Пусть
- четное, т.е.
. Допустим, что
. Тогда при переходе через
правая часть (3) будет сохранять знак «+», то есть при всех
, достаточно близких к
, имеем:
,
т.е. в точке
функция имеет локальный минимум.
Аналогично получим, что когда
и
, то
имеет в точке
локальный максимум.
2. Пусть
- нечетное, т.е.
. Допустим, что
. Тогда для
в достаточно малой окрестности
имеем:
, (4)
а для
в достаточно малой окрестности
имеем:
. (5)
Из (4) и (5) вытекает, что экстремума в точке
нет.
Мы доказали следующую теорему.
Теорема 3 (третье достаточное условие локального экстремума). Пусть функция
определена на
,
раз дифференцирована в точке
, и выполняются условия (1). Тогда если
- четное, то
имеет локальный экстремум в точке
(локальный максимум, когда
, локальный минимум, когда
). Если
- нечетное, то экстремума в точке
нет.
Дата добавления: 2015-08-21; просмотров: 1343;
