Структура РНК
РНК – это линейная полинуклеотидная молекула, отличающаяся от ДНК рядом особенностей. Моносахаридом в РНК является рибоза, а вместо тимина содержится урацил. Соответственно, в РНК азотистые основания следующие: аденин (А), цитозин (Ц), гуанин (Г), урацил (У). Спаривание оснований происходит таким же образом, как и в ДНК, за исключением того, что вместо пары А-Т образуется А-У.
Гидроксильная группа во 2/-положении делает молекулу РНК химически более нестабильной по сравнению с ДНК. В разбавленном растворе щелочи РНК разрушается при комнатной температуре, а молекула ДНК устойчива.
Большинство молекул РНК одноцепочечные, хотя часто в них имеются взаимокомплементраные участки, образующие двуцепочечные структуры – «шпильки».
Существуют три основные типа РНК: информационная (матричная) – мРНК, рибосомная – рРНК, и транспортная – тРНК. Все они играют важную роль в процессе расшифровки генетической информации.
Роль мРНК заключается в переносе информации от ДНК в ядре до цитоплазмы, где она соединяется с рибосомами и служит матрицей, на которой осуществляется синтез белка.
мРНК разнообразны по молекулярной массе (от 0,05х106 до 4х106) и составляют около 2% от общего количества РНК в клетке. Каждую молекулу мРНК кодирует один ген или группа генов. В клетке постоянно образуется множество различных мРНК в соответствии с числом активных в данный момент генов. Время полужизни мРНК у эукариот от двадцати минут до нескольких часов, а у бактерий около двух минут.
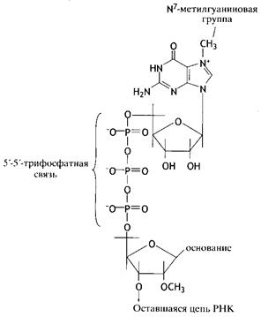
Зрелая мРНК содержит 5/- и 3/-концевые нетранслируемые последовательности, длина которых варьирует у разных мРНК. На 5/-конце имеется «кэп»-структура (метилированный по 7/-положению гуанозин, связанный 5/,5/-трифосфатной связью со следующим основанием); на 3/-конце находится поли А-«хвост», содержащий от 20 до 250 нуклеотидов (рис. 10).
Б
Рис. 10. Структура мРНК (А) и кэп-структура на 5/-конце мРНК эукариот (Б)
Считается, 5/-кэп и поли-А «хвост» защищают мРНК от быстрой деградации. 5/-кэп, кроме того, соединяясь со специфическим белком, принимает участие в связывании мРНК с рибосомами, способствует инициации синтеза белка, влияет на транспорт, трансляцию и распад мРНК. Считается, что не все мРНК содержат поли-А «хвост» (у мРНК гистонов их нет).
рРНК высокомолекулярны и составляют около 80% всех клеточных РНК. В клетках эукариот синтез РНК идет в ядрышке и осуществляется ферментом РНК-полимеразой I. Геном содержит от 50 до 1000 идентичных генов, кодирующих рРНК. Связываясь с определенными белками, рРНК организует важнейший аппарат клет-
ки – рибосомы, обеспечивающие синтез всех клеточных белков. На рРНК приходится около 60% массы рибосомы.
тРНК низкомолекулярны (мол.м. около 25000). На долю тРНК приходится 10-15% от общего количества тРНК. Основная функция тРНК – связывание соответствующих аминокислот и перенос их на рибосому с помощью фермента аминоацилсинтетазы. Для каждой аминокислоты существует специфическая аминоацилсинтетаза и тРНК. В настоящее время открыто около шестидесяти различных тРНК (для ряда аминокислот имеется более одной). Аминокислота присоединяется к свободной 3/ ОН-группе. Все тРНК обладают сходной структурой и напоминают клеверный лист (рис. 11).

Рис. 11. Структура тРНК
Вопросы и задачи
1. Какие функции выполняют нуклеиновые кислоты?
2. Напишите структуру нуклеотида.
3. Назовите основные характеристики двойной спирали ДНК.
4. Какие связи обеспечивают формирование первичной и вторичной структуры нуклеиновых кислот?
5. Обьясните, что означает антипараллельность цепей ДНК в двойной спирали.
6. Назовите и охарактеризуйте виды РНК.
7. Установлено, что 22% общего числа нуклеотидов определенной мРНК приходится на гуанин, 35% - на цитозин, 19% – аденин и 24% - на урацил. Определите процентный состав азотистых оснований двуцепочечной ДНК, слепком с которой является эта мРНК.
Рекомендуемая литература
1. Березов Т.Т., Коровкин Б.Ф. Биологическая химия: Учебник. – М.: Медицина, 1998. – 704 с.
2. Биохимия. Краткий курс с упражнениями и задачами / Под ред. чл.-корр. РАН, проф. Е.С. Северина, проф. А.Я. Николаева. – М.: ГЭОТАР-МЕД, 2001.– 448 с.
3. Глик Б., Пастернак Дж. Молекулярная биотехнология. Принципы и применение. – Пер. с англ. – М.: Мир, 2002. – 589 с.
4. Жимулев И.Ф. Общая и молекулярная генетика: Учеб/ пособие. – Новосибирск: Изд-во Новосиб. ун-та: Сиб. унив. изд-во, 2002. – 459 с.
5. Коничев А.С. Молекулярная биология: Учебник для студ. пед. вузов / А.С. Коничев, Г.А. Севастьянова. – М.: Изд. центр «Академия», 2003. – 400 с.
6. Максимов Г.В., Степанов В.И., Василенко В.Л. Сборник задач по генетике: Учеб. пособие. – М.: Вузовская книга, 2001. – 136 с.
7. Остерман Л.А. Методы исследования белков и нуклеиновых кислот. – М.: Наука, 1981. – 285 с.
8. Сельскохозяйственная биотехнология: Учебник / В.С. Шевелуха, Е.А. Калашникова, Е.С. Воронин и др. / Под ред. В.С. Шевелухи.– М.: Высшая школа, 2003. – 469 с.
9. Сингер М., Берг П. Гены и геномы: В 2 т. – Т. 1. – Пер. с англ. – М.: Мир, 1998. – 373с.
10. Степанов В.М. Молекулярная биология. Структура и функции белков.– М.: Высшая школа, 1996. – 335 с.
11. Уилсон Дж., Хант Т. Молекулярная биология клетки: Сб. задач. – Пер. с англ. – М.: Мир, 1994. – 520 с.
12. Эллиот В. Биохимия и молекулярная биология / В.Эллиот, Д. Эллиот; Под ред. А.И. Арчакова, М.П. Кирпичникова, А.Е. Медведева, В.П. Скулачева. – Пер. с англ. О.В. Добрыниной, И.С. Севериной, Е.Д. Скоцеляс и др. – М.:МАИК «Наука/ Интерпериодика», 2002. – 446 с.
Дата добавления: 2015-07-06; просмотров: 1591;
