Цифровые ССПС стандарта GSM. 2 страница
Для организации роуминга ССПС должна быть одного стандарта, а центры коммутации подвижной связи должны быть соединены специальными каналами связи для обмена данными о местонахождение абонента. Для обеспечения роуминга необходимо выполнение трех условий:
- наличие в требуемых регионах ССПС, совместимой со стандартом компании, у которой был приобретен радиотелефон;
- наличие соответствующих организационных и экономических соглашений о роминговом обслуживание абонентов;
- наличие каналов связи между системами, обеспечивающих передачу звуковой и другой информации для роминговых абонентов.
Различают три вида роуминга:
- автоматический;
- полуавтоматический, когда абоненту для пользования данной услугой в каком - либо регионе необходимо предварительно поставить об этом в известность своего оператора;
- ручной, т.е. обмен одного радиотелефона на другой, подключенный к ССПС другого оператора.
Идеализованная и сильно упрощенная схема организации роуминга могла бы быть представлена в следующем виде. Абонент сотовой связи, оказавшийся на территории "чужой" системы, допускающий реализацию роуминга, инициирует вызов обычным образом, как если бы он находился на территории "своей" системы.
Центр коммутации, убедившись, что в его домашнем регистре этот абонент не значится, воспринимает его как роумера и заносит в гостевой регистр. Одновременно (или с некоторой задержкой) он запрашивает в домашнем регистре "родной" системы роумера относящиеся к нему сведения, необходимые для организации обслуживания (оговоренные подпиской виды услуг, пароли, шифры), и сообщает, в какой системе роумер находится в настоящее время; последняя информация фиксируется в домашнем регистре "родной" системы роумера. После этого роумер пользуется сотовой связью, как дома: исходящие от него вызова обслуживаются обычным образом, с той только разницей, что относящиеся к нему сведения фиксируются не в домашнем регистре, а в гостевом; поступающие на его номер вызова переадресуются "домашней" системой на эту систему, где роумер гостит. По возвращении роумера домой в домашнем регистре "родной" системы стирается адрес той системы, где роумер находился, а в гостевом регистре той системы, в свою очередь, стираются сведения о роумере. Оплата услуг роуминга производится абонентом через "домашнюю" систему, а "домашняя" компания - оператор, оказавшей услуги роуминга, в соответствии с роминговым соглашением.
Описанная схема соответствует автоматическому роумингу. Для завершения процесса она должна быть еще дополнена автоматической системой ведения расчетов между компаниями - операторами, которая может оказаться весьма непростой - с учетом возникновения перекрестных обязательств между рядом компаний, а так же возможности учета (погашения) взаимных обязательств пар компаний, входящих в группу, охватываемую системой автоматического роуминга. Противоположностью автоматическому является ручной, или административный, роуминг, в некоторых стандартах предшествовавший появлению автоматического. В случае ручного роуминга абонент предупреждает, например, телефонным звонком, "домашнюю" компанию -оператор о предстоящем убытии, а по приезде в другой город - местную компанию -оператор о своем прибытии. Необходимые данные вносятся в домашний и гостевой регистр вручную операторами соответствующих центров коммутации. Существовали и промежуточные варианты: с отдельной процедурой регистрации (автоматической) нового роумера; с автоматической организацией вызова со стороны роумера, но с точной маршрутизацией при вызове роумера со стороны сети и др.
Картина организации роуминга была бы не полной, если бы не упомянули некоторых моментов истории, а так же ряда дополнительных проблем, сопутствующих роумингу. При появлении сотовой связи ни проблемы, ни даже понятия роуминга не было - столь большой успех и широкое распространение сотовой связи предсказать было невозможно. Поэтому роуминг появился по мере развития сотовых систем и использовал в разных стандартах, странах и регионах различные технические и организационные решения.
Заметное развитие роуминг получил в аналоговых стандартах AMPS (Северная Америка) и NMT (Скандинавия), но появление цифровых стандартов потребовало пересмотра многих из использовавшихся там решение. Решение задачи роуминга в цифровом стандарте D-AMPS опирается на отдельный стандарт IS-41, определяющий межсистемные операции. Более выгодное положение в этом отношении у стандарта GSM, который с самого начала разрабатывался как общеевропейский и в который процедура роуминга заложена как обязательный элемент. Кроме того, в стандарте GSM имеется возможность так называемого роуминга с SIM - картами, или пластикового роуминга, с перестановкой SIM - карт между аппаратами различных вариантов стандарта GSM (GSM 900, GSM 1800 и GSM 1900), поскольку во всех трех вариантах стандарта GSM используются унифицированные SIM - карты. Процедура роуминга в стандарте GSM становится еще более удобной с появлением двухрежимных, а в дальнейшем - и трехрежимных абонентских терминалов (GSM 900/GSM 1800/GSM 1900). Но и стандарт GSM пока не развернут полностью, в частности в отношении реализации всех принципиально заложенных в него технических решений. Из технических и организационных трудностей, связанных с развитием роуминга, отметим следующие: аутентификация абонентов с учетом неизбежного, инициативного и даже агрессивного фрода; организация оплаты услуг роуминга, существенно усложняющаяся с ростом масштабов и расширением географии роуминга; протекционизм (например, в некоторых странах запрещается применение абонентских аппаратов иностранного производства).
В заключение отметим, что при огромном росте межрегиональных и международных связей и делового общения организация полноценного автоматического роуминга в сотовой связи является одной из актуальных проблем, и в ее решении остаются моменты, требующие дополнительной работы.
Контрольные вопросы
1.Приведите функциональную схему и состав оборудования стандарта GSM и поясните основные узлы.
2.Назначение SIM - карты.
3.Приведите функциональную схему цифровой подвижной станции и поясните основные узлы.
4.Приведите функциональную схему цифровой базовой станции и поясните основные узлы.
5.Роумингом в ССПС, условия организации и виды.
Лекция 8-9-10
Цифровые ССПС с кодовым разделением каналов
Особенности стандарта IS-95 MS и BTS стандарта IS-95
Цифровые ССПС с кодовым разделением каналов
CDMA - сотовые системы подвижной радиосвязи с кодовым разделением абонентов общего пользования были разработаны впервые фирмой Qualcomm (США) и успешно развиваются фирмой MOTOROLA. На системы CDMA в США был принят стандарт, получивший обозначение IS-95. Первая в мире коммерческая система с кодовым разделением каналов (CDMA) была внедрена в 1995 году компанией Hutchison Telephone (Гонконг). Сеть эта была построена на оборудовании фирмы Motorola, базовые станции типа SC9600 и коммутационная станция типа EMX2500.
В CDMA системах каждый голосовой поток отмечен своим уникальным кодом и передается на одном канале одновременно со многими другими кодированными голосовыми потоками. Принимающая сторона использует тот же код для выделения сигнала из шума. Единственное отличие между множественными голосовыми потоками это уникальный код. Канал, как правило, очень широк и каждый голосовой поток занимает целиком всю ширину диапазона. Эта система использует наборы каналов шириной 1.23 МГц. Голос кодируется на скорости 8.55 кбит/с, но определение голосовой активности и различные скорости кодирования могут урезать поток данных до 1200 бит/с. В системах CDMA могут устанавливаться очень прочные и защищенные соединения, несмотря на экстремально низкую величину мощности сигнала, теоретически - сигнал может быть слабее чем уровень шума.
Принцип CDMA основан на использовании широкополосных сигналов (ШПС), полоса которых значительно превышает полосу частот, необходимую для обычной передачи сообщений. ШПС характеризуется базой сигнала, определяемая как произведение ширины его спектра F на его длительность T:
B=F-T
При цифровой передачи сообщений в виде двоичных символов, длительность ШПС T и скорость передачи связаны соотношением:
|
Следовательно, база сигнала B = F/Cхарактеризует расширение спектра ШПС
относительно спектра сообщения, которое в свою очередь может осуществляться двумя методами или их комбинацией:
1) прямым расширением спектра частот;
2) скачкообразным изменением частоты несущей.
По первому методу узкополосный сигнал умножается на псевдослучайную последовательность (ПСП) длительностью T, которая в свою очередь состоит из N бит длительностью каждая. Тогда база ШПС (Рис. 4.1) численно равна количеству элементов ПСП. B = T/τ o = N

Рис.4.1 Формирование ШПС методом прямого расширения спектра частот
При скачкообразныном изменении частоты несущей, производится быстрая перестройка выходной частоты синтезатора в соответствии с законом формирования ПСП (Рис.4.2).

Рис.4.2 Формирование ШПС методом скачкообразного изменения несущей частоты
Для приёма ШПС используется оптимальный приёмник, который для сигнала с известными параметрами вычисляет корреляционный интеграл:

здесь X(t) - входной сигнал, представляющий сумму исходного сигнала u(t) и шума uш(t).
Далее значение Z сравнивается с порогом Z0. Вычисление корреляционного интеграла осуществляется с помощью коррелятора или согласованного фильтре (Рис.4.3).

Рис. 4.3 Корреляционный приемник ШПС
Функции коррелятора состоит в «сжатии» спектра широкополосного входного сигнала путем умножения его на эталонную копию u(t) с последующей фильтрацией в полосе 1/Т. Это позволяет увеличить отношение сигнал\шум на выходе коррелятора в В раз по отношению ко входу.
При поступлении на коррелятор входного сигнала x(t) и опорного u(t), амплитуда выходного сигнала уменьшается и становится равным «0» при сдвиге равной длительности элемента ПСП. Изменение амплитуды выходного сигнала коррелятора определяется видом корреляционной функции. При отсутствии сдвига между входной и опорной ПСП она называется автокорреляционной функцией АКТ, а при наличие сдвига взаимно корреляционной функцией ВКФ. Структура М-последовательности с N=15, вид её периодической АКФ(б) и апериодической АКФ(в), т.е. периодически не продолжающейся во времени, приведена на рис. 4.4.

Рис. 4.4 Структура М-последовательности с N=15 (а), периодическая АКФ (б)
и апериодическая АКФ (в)
Из приведенного следует, что выбирая ансамбль сигналов с «хорошими» автокорреляционными и взаимокорреляционными функциями, путём корреляционной обработки (свертки ШПС), можно обеспечить разделение сигналов, что и является основным принципом построения систем с кодового разделение каналов связи.
На практике, в сотовых системах связи, в основном используются ШПС получаемые путем прямого расширения спектра, а различие каналов определяется формой псевдослучайной последовательности, которая используется для расширения полосы спектра частот. Сформированный таким образом радиосигнал, называется фазоманипулированным ШПС.
Выбор вида ПСП зависит от взаимных и автокорреляционных характеристик ансамбля сигналов, его объема, простоты реализации устройств формирования и «сжатия» (свертки) сигналов в приемнике. Перечисленным условием наиболее удовлетворяют линейные М-последовательности и их сегменты, а для расширения объема ансамбля сигналов часто используют составные ПСП с добавлением последовательности Уолша.
Основной проблемой создания систем ССПС стандарта CDMA, является реализация малогабаритных, малопотребляющих и многофункциональных устройств «сжатия» ШПС. К настоящему времени эта проблема успешно решается различными фирмами, в частности, по предложению американской формы Qualcomm, в США принят стандарт IS-95 для систем ССMС с CDMA. Европе в разных программы RACE, разработаны проект CODI T (code Division testbed), основная цель которого возможность использования в стандарте CDMA для третьего поколения CCПС ИМТS/FPLMTS.
Особенности стандарта IS-95
CCПС с CDMA стандарта IS-95 была разработана фирмой Qualcomm. Основная цель разработки состояла в увеличении емкости ССПО по сравнению с аналоговыми не менее чем на порядок. Технические требования к системе CDMA сформулирована Ассоциацией промышленности связи (TIA) в следующих стандартах:
IS-95 - CDMA радиоинтерфейс
IS-96 - CDMA речевые службы
IS-97 - CDMA подвижная станция
IS-98 - CDMA базовая станция
IS-99 - CDMA служба передачи данных.
Система рассчитана для работы в диапазоне 800 МГц, выделенной для сетей ССПС стандартов AMPS/DAMPS. Скрытность связи является технологической особенностью CDMA, поэтому шифрование сообщений не требуется.
Стандарт IS-95 использует прямое расширение спектра частот на основе 64 последовательностей функций Уолша. Речевые сообщения преобразуются по алгоритму CELP со скоростью преобразования 8000 бит/с, а в канале, с учетом дополнительных символов для повышения помехоустойчивости, 9600 бит/с. Система допускает режимы работы на скоростях 4800, 2400 и 1200 бит/с. При передачи "вниз" в системе используется сверточние кодирование со скоростью 1/2, а «вверх » 1/3 . Кроме того применяется перемежение передаваемых сообщений, а на приёме декодер Витерби с мягким решением.
Канал связи стандарта CDMA Qualcomm занимает полосу 1,25 МГц, а основные характеристики и технические параметры приведены в таблице 4.1.
На приёме отраженные сигналы, приходящие с разными задержками, обрабатываются раздельно, а затем осуществляется весовое сложение. Такая процедура приёма значительно снижает отрицательная влияние эффекта многолучевости.
Для раздельной обработки сигналов, в каждом канале приёма параллельно работают 4 коррелятора на BTS и 3 на MS. Кроме того, параллельно работающие корреляторы позволяют осуществлять мягкий режим «Эстафетной передачи» (Soft Handoff) при пересечении сот. Происходит это за счет управления MS двумя или более BTS. Транскодер, входящий в состав основного оборудования, проводит оценку качества приёма сигналов от двух BTS последовательно кадр за кадром (рис. 4.5).
Таб.4.1 Основные характеристики и технические параметры стандарта CDMA Qualcomm


Рис. 4.5 Принципы склеивания лучших кадров, принимаемых разными базовыми станциями
Выбор результирующего сигнала, как процесс определения лучшего кадра, формируется путем непрерывной коммутации и последующего «склеивания» кадров, принимаемых разными базовыми станциями, участвующими в «Эстафетной передаче», что обеспечивает мягкий режим. При этом обеспечивается высокое качество приема речевых сообщений и устраняются перерывы в сеансах связи имеющих место в сотовых сетях связи других стандартов.
Обобщенная структурная схема стандарта CDMA приведена на рис.4.6.

Рис.4.6 Структурная схема сети сотовой подвижной радиосвязи CDMA
Как видно, основные элементы приведенной схемы, аналогичны используемым в ССПС аналогового и цифрового стандартов. Отличие состоит лишь в наличии устройства оценки качества и выбора кадра (SU Selection Unit). Кроме того, между BTS управляющие разными контроллерами (BSC), вводится линия передачи между SU и BSC (Inter BSC Soft handoff), для реализации мягкого режима «Эстафетной передачи».
Протоколы установления связи используют, логические каналы, которые в CDMA подразделяются на прямые (forward), обратные (Reverse), передача «вверх». Структура таких каналов стандарта IS-95 приведена на рис.4.7.

Рис.4.7 Структура каналов связи в стандарте CDMA IS-95
Прямой пилотный канал служит для синхронизации MS с сетью и контроля за сигналами BTS по времени, частоте и фазе.
Канал синхронизации используется для идентификации BTS, уровня излучения пилотного сигнала, фазы ПСП BTS. После завершения перечисленных этапов синхронизации, начинаются установления соединением.
По каналу вызова осуществляется вызов MS. По получению вызывного сигнала MS передает сигнала подтверждения на BTS. После этого с BTS передается информация об установления соединения и назначения канала связи.
Полностью канал начинает функционировать только после получения MS всей системной информации (частота несущей, тактовая частота, задержка сигнала по каналу синхронизации).
Прямой канал трафика служит для передачи речевых сообщений и данных, а также управляющей информации с BTS на MS.
В том случае, если MS не использует канал трафика, то для организации связи с BTS служит обратный канал доступа. По этому же каналу осуществляется установочные вызова и ответов на сообщения, передаваемые по каналу вызова и запрет на регистрацию в сети. Канал вызова и доступа совмещается (объединяются).
По каналу обратного трафика передаются речевые сообщения и управляющая информация с MS на BTS.
Количество каналов на BTS составляет 64, из которых 2 канала используются для синхронизации, 7 - для персонального вызова (Paging), остальные 55 - для передачи речевых сообщений.
Все 64 канала BTS используют одну и тоже ПСП. Для разделения каналов при передаче применяют 64 взаимно ортогональных последовательностей Уолша. По этой причине отсутствуют взаимные помехи между каналами передачи одной BTS. Однако имеет место помехи, создаваемые соседними BTS работающими в этой же полосе радиочастот и используемые ту же самую ПСП, но с другим циклическим сдвигом.
При передаче с MS также используются ортогональные последовательности Уолша, но не для разделения каналов, а для повышения помехоустойчивости. Для этого в каждой группе из 6 бит информационного сообщения, при передаче, ставится в соответствии одна из 64 ортогональных последовательности Уолша. Разделение сигналов MS обеспечивается путем использования ПСП с разными циклическими сдвигами.
Формирования сигнала на подвижной станции приведена на рис.4.8, а структурная схема приемной базовой станции на рис. 4.9.

Рис. 4.8 Формирование сигнала подвижной станции

Рис. 4.9 Структурная схема приемника базовой станции
Уровень помех создаваемые соседними BTS и другими MS определяют верхний порог пропускаемый способности сети стандарта CDMA.
Для расчета количество активных абонентов в соте системы CDMA, предполагают, что все k активных абонента в соте работают в общей полосе частот F, а скорость передачи сообщений постоянна и равна С. При этом чувствительность приемника BTS равна Pq, а уровень фонового шума - Рш.
При заданных исходных условиях, отношение сигнал/шум на входе приемника BTS определяется выражением:

здесь, (k-1)*Po - уровень сигнала от других активных станции.
В свою очередь, отношение энергии одного бита E0 информационного сигнала к спектральной плотности шума N0 определяется выражением:

Тогда k - 1 = B / (E0/N0), при условии, что уровни сигналов от всех MS на входе BTS приблизительно равны и минимальны, близки к P0. Отсюда следует, что регулировка уровня мощности сигналов MS должно быть очень точной и в большом диапазоне.
В стандарте IS-95 уровень мощности сигнала MS регулируются в диапазоне 84дБ с шагом 1 дБ, что позволяет минимизировать уровень сигнала на входе BTS. Это в свою очередь уменьшает уровень взаимных помех в системе и повышает ее емкость.
Следующем недостатком системы CDMA Qualcomm является необходимость использования одинаковых по размерам сот на всей сети, так как в противном случае возникают взаимные помехи от сигналов подвижных станции, которые находятся в соседних сотах разного размера. Кроме того, это приводит и к проблемам с «эстафетный передачей».
Одним из методов снижения взаимных помех в системе с CDMA, следовательно и увеличение емкости сети, является применение прерывистой передачи речи на основе использования детектора активности речи и вокодера с алгоритмом CELP, а также переменной скорости преобразования аналогового речевого сигнала в цифровой.
Передача сообщений в стандарте IS-95 осуществляется кадрами, а используемая технология приема позволяет анализировать ошибки в каждой информационном кадре. При этом, если количество ошибок превышает допустимое, то этот кадр стирается (frame erasure). В свою очередь, «частота стирания битов» определяется отношением E0/N0. При увеличение количество активных абонентов в соте, из-за взаимных помех отношений E0/N0 снижается, а частота ошибок увеличивается. Общие нормы на величину таких ошибок еще не принята и поэтому различные фирмы производители принимают свои допустимые значение частоты ошибок. Например, фирма Qualcomm считает допустимую величину ошибок равной трем процентам, при этом емкость системы CDMA увеличивается в 20...30 раз по сравнению с системой AMPS. В свою очередь фирма Motorola считает допустимые число ошибок равной один процент, тогда емкость системы CDMA увеличивается по сравнению с AMPS только в 15 раз.
По данным фирмы Motorola, при отношении E0/N0=7... 8 дБ и допустимой частоте ошибок в один процент на трехсекторной соте можно организовать до 60 активных каналов.
Особенности MS стандарта IS-95
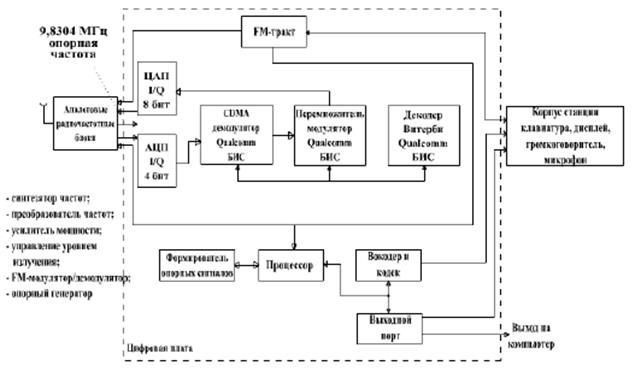
Разработанная для стандарта IS-95 MS двухрежимная,т.е. позволяющая помимо сети CDMA поддерживать связь и с существующими сетями аналоговых стандартов с частотной модуляцией (AMPS). Это дает существенные преимущества абонентам CDMA, так как позволяют использовать MS и там, где существующие аналоговые сотовые сети обеспечивают радиопокрытие. Особенностью таких MS является добавление к существующим станциям аналоговых стандартов функций цифровой обработки сигналов. В стандарте IS-95 фирмы Qualcomm, эти функции реализованы в трех заказных СБИС, конструктивно объединенных в одном устройстве. Структурная схема подвижной станции CDMA приведена на рис. 108.

Рис. 4.10 Структурная схема подвижной станции CDMA
Особенности BTS стандарта IS-95
В данном стандарте BTS могут работать как с антеннами с круговой диаграммой направленности , так и секторными , обычно 120-градусными. Структурная схема BTS стандарта CDMA приведена на рис.4.11.
Здесь предполагается использование в сотах антенн с круговой диаграммой направленности оборудование, включая канальные блоки, цифровые универсальные, а также могут быть сконфигурированные как информационный или служебный каналы. Для синхронизации работы сети применяют приемник глобальной системы место определения - GPS, куда входит также опорный тактовый генератор и формирователь секундных импульсов.
Сигнал промежуточной частоты, сформированный в блоке цифровой обработки, поступает в приемопередающий блок, где преобразуется в радиочастотный сигнал несущей частоты. Далее он усиливается в усилителе мощности и через радиочастотный фильтр поступает на передающую антенну.

Рис.4.11 Структурная схема базовой станции CDMA
На приеме, сигнал с приемной антенны выделяется радиочастотным фильтром, усиливается в малошумящем усилителем и затем преобразуется в сигнал промежуточный частоты, который подается на блок цифровой обработки. Тракты приема и передачи разделены, т.е. отсутствует сумматоры мощности, что исключает потери мощности при сложении.
Требуемые режимы и алгоритмы работы BTS обеспечивает контроллер соты. Кроме того, контроллер формирует статистическую информацию о работе соты, а также управляет объединением портов канальных блоков для передачи сообщений по цифровой линии к контроллеру сети и центру коммутации подвижной связи.
Безопасность и конфиденциальность связи в стандарте IS-95
Применение сложного радио интерфейса в стандарте К-95,основанного на передаче сообщений кадрами с использованием канального кодирования и перемежения с последующим «расширением» передаваемых сигналов с помощью составных ШПС, с формированных на основе 64 видов последовательностей Уолша и псевдослучайных последовательностей с количеством элементов 2 и (242-1), позволяют обеспечить высокую степень безопасности передаваемых сообщений. Кроме того, безопасность связи обеспечивается также применением процедуры аутентификации и шифрования сообщений.
Для процедуры аутентификации в MS хранится один ключ А и один набор общих секретных данных как при работе в режиме с частотным разделением каналов, так и в режиме CDMA. Аутентификация осуществляется путем передачи «цифровой подписи» состоящей из 18 бит, которая передается в начале сообщения в ответе MS на запрос сети при поиске станции и добавляется к регистрационному сообщению или пакету данных передаваемых по каналу доступа. Предусматривается возможность смены аутентификационного набора общих секретных данных.
Шифрование сообщений, подлежащих передачи по каналу связи, осуществляется в соответствии с стандартом IS-54. Кроме того, возможен режим «Частный характер связи», для этого предусматривается секретная маска в виде длинного кода, аналогичная описанной в стандарте IS-54.
Наивысшая конфиденциальность связи обусловлена многоступенчатым кодированием, расшифровка которого потребует попросту нескольких весьма напряженных лет упорного труда. Так, если сигналы аналоговых стандартов можно прослушать самыми простыми измерительными приемниками, которые свободно продаются в магазинах, то для прослушивания с эфира сигналов стандартов GSM и DAMPS поставляется уже более совершенная аппаратура радиоконтроля.
Что касается обнаружения из эфира сигналов технологии CDMA, то из-за их повышенной криптостойкости и скрытности под шумами эта задача является архисложной. Интересно, что совокупность таких качеств, как криптостойкость, помехоустойчивость и помехозащищенность в сочетании с пониженным расходом емкости аккумуляторной батареи было бы целесообразным применять технологию CDMA для нужд силовых структур и ведомств.
Контрольные вопросы
1.В чем состоит основной принцип CDMA?
2.Приведите основные характеристики и технические параметры стандарта CDMA и как обеспечивается мягкий режим «Эстафетной передаче»?
З.Приведите структурную схему сети сотовой подвижной радиосвязи стандарта CDMA и поясните её.
4.Приведите и поясните структуру каналов связи в стандарте CDMA IS-95 и формирование сигнала подвижной станции в стандарте CDMA IS-95.
5.Приведите структурную схему приемника базовой станции и поясните её.
6.В чем состоят особенности MS стандарта IS-95. 7.В чем состоят особенности BTS стандарта IS-95.
8.Как обеспечивается безопасность и конфиденциальность связи в стандарте IS-95.
Лекция 10-2
4.2. Радиолинии пакетной связи
При осуществлении пакетной связи обмен информацией проводится в соответствии с протоколом АХ.25, представляющим собой переработанную специально для радиосетей версию протокола Х.25 кабельных коммутационных сетей. Протоколы обмена содержат семь уровней. Процедуры работы по радиоканалу описываются во втором уровне, который реализуется специальным контроллером пакетной связи (TNC), размещенным между компьютером и приемопередатчиком [25].
Протокол обмена АХ.25 обеспечивает многостанционный (множественный) доступ канала связи с контролем занятости. Все станции считаются равноправными. Прежде чем включиться в работу TNC станции проверяет, свободен ли канал и, если канал занят, то проверка осуществляется до тех пор, пока он не окажется свободным, и лишь поле этого станция включается на передачу.
Дата добавления: 2015-08-21; просмотров: 2213;
