Нелинейные искажения в усилителе с резистивной нагрузкой.

Пусть характер рабочей точки задаётся многочленом 2 степени:

На входе усилителя напряжение
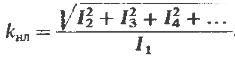
в коллекторной цепи будем иметь постоянную составляющую и также токи, n – гармоники.
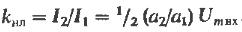
и т.д. вводят величину 
в данном случае 
Коэффициент нелинейных искажений увеличивается с ростом амплитуды сигнала.
Дата добавления: 2015-08-14; просмотров: 1265;
