Близкие по структуре местные анестетики
Бупивакаина гидрохлорид (Анекаин, Маркаин) 1-бутил-N-(2,6-диметилфенил)-
Bupivacaina hydrochloridum (Anecainum, Marcainum) - 2-пиперидинкарбоксамида гидрохлорида моногидрат

Описание. Растворимость. Белый или желтоватый кристаллический порошок, горького вкуса, легко растворим в воде, легко в спирте.
Ультракаин метиловый эфир
Ultracainum 4-метил-3-[2-(пропиламино)пропионамидо]-
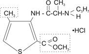
Артикаина гидрохлорид -2-тиофенкарбоновой кислоты
Articaina hydrochloridum

Описание. Растворимость. Белый кристаллический порошок, без запаха, горького вкуса, легко растворим в воде.
Дата добавления: 2015-08-14; просмотров: 1598;
