Закон Стефана – Больцмана
Больцман из термодинамических представлений получили зависимость энергетической светимости абсолютно черного тела от температуры:
(11)
где постоянная σ=5.67 10-8 Вт/(м2 К4) - постоянная Стефана-Больцмана.
Из выражения (11) можно сформулировать закон Стефана-Больцмана:
Энергетическая светимость абсолютно чёрного тела пропорциональна четвёртой степени его термодинамической температуры.
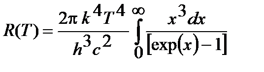
Формулу (11) можно получить, используя формулу Планка (5). Для этого необходимо в формулу (1) подставить выражение (5) и провести интегрирование по всем длинам волн (от нуля до бесконечности):
(12)
Введем новую переменную:
(13)
Подставив (13) в (12), получим:
(14)
Если учесть, что значение несобственного интеграла в (14) равно π4/15, получим:
(15)
Из сравнения (11) с (15) следует, что постоянная Стефана-Больцмана равна:
(16)
Формула Планка. Закон Вина.
Формула Планка.
Выражение для спектральной плотности энергетической светимости абсолютно черного тела было получено впервые немецким физиком М. Планком. Согласно квантовой гипотезе Планка испускание энергии электромагнитных волн атомами вещества может происходить только отдельными "порциями" - квантами. При этом энергия кванта света пропорциональна его частоте n:

Постоянная h была названа постоянной Планка, c-скорость света в вакууме. На основании этой гипотезы, используя статистические методы, он получил следующую формулу для универсальной функции f, в которую входит энергия кванта hn:
(4),
где k-постоянная Больцмана.
Формулу для универсальной функции, зависящей от длины волны l (а не от частоты n) можно вывести используя определение спектральной плотности энергетической светимости
.
Знак “минус” здесь не играет существенной роли и отражает тот факт, что dn dl имеют разные знаки (т.е. если l увеличивается, n уменьшается)
Следовательно,
(5)
Рис.1 Зависимость спектральной плотности энергетической светимости абсолютно черного тела от длины волны
На рис.1 представлены графики f(l, T) для различных температур. Формула (5*) хорошо согласуется с экспериментальными данными во всем интервале наблюдаемых длин волн и температур и называется формулой Планка.
Основные законы излучения абсолютно черного тела можно получить из формулы Планка. Однако многие из них получены на основе экспериментальных данных, а также представлений классической физики еще до открытия Планком своей формулы. Поэтому эти закономерности носят имя ученых, открывших их, и формулируются в виде законов.
Дата добавления: 2015-08-14; просмотров: 2167;
