Перенесення насичення. Додатковий механізм, що обумовлює насичення сторонніх сигналів, називається перенесенням насичення
Додатковий механізм, що обумовлює насичення сторонніх сигналів, називається перенесенням насичення. Він має місце при наявності процесу хімічного обміну, що відбувається повільно в шкалі часу ЯМР. В таких випадках у спектрі міститься два нееквівалентних сигнали, що відповідають протону у двох можливих хімічних оточеннях. Це, наприклад, може бути при повільному конформаційному обміні. Для таких систем насичення одного з сигналів протона, що бере участь у процесі обміну, приводить до насичення і іншого його сигналу, що пов'язаний з іншою конформацією молекули. За деяких обставин цей ефект може бути досить корисним, оскільки в такий спосіб можна знайти сигнали, що беруть участь в обміні та вивчити їхню динаміку. З погляду ЯЕО наявність перенесення насичення викликає певні ускладнення, оскільки в цьому випадку неможливо встановити, якій з конформацій відповідає той або інший ЯЕО. Найчастіше процеси хімічного обміну більш ефективні, ніж процес крос-релаксації. Тому сигнали, що пов'язані з перенесенням насичення, мають набагато більшу інтенсивність, у порівнянні з сигналами ЯЕО. Їхній знак збігається зі знаком сигналу, що насичується, і протилежний до знаку сигналів позитивного ЯЕО. Це дозволяє їх розрізнити. У випадку негативного ЯЕО знак сигналів, що обумовлені перенесенням насичення, збігається зі знаком ЯЕО. Це є ще одним недоліком роботи з молекулами, що мають негативний ЯЕО.
Загальною особливістю експериментів ЯЕО, проведених в органічних розчинниках, що містять воду, є наявність протонного обміну між сигналами активних протонів зразка та молекулами води (Рис. 4.21). На рисунку добре видно зменшення інтенсивності сигналів всіх активних протонів при насиченні одного з них.
4.5

Рис. 4.21.Експериментальна демонстрація перенесення насичення. Пряме насичення сигналу 6-OH a-циклодекстрину 4.5в DMSO веде до одночасного непрямого часткового насичення сигналів 2- і 3-OH, а також сигналу води.
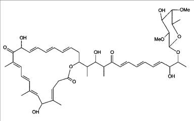
Найчастіше сигнали активних протонів набагато ширші від інших сигналів. Якщо вони мають достатню швидкість обміну з сигналами, що піддаються опроміненню в ході експериментів ЯЕО, то вони теж можуть частково насичуватися. У цьому випадку в спектрі з'являються несподівані негативні сигнали, які відповідають всім протонам, що обмінюються, і воді. Цей ефект можна використовувати для з'ясування положень сигналів протонів, що обмінюються. Для цього достатньо зробити насичення сигналу води. Даний підхід показаний на прикладі з'ясування структури антибіотика Пулвоміцину 4.6 (Рис. 4.22).

4.6

Рис. 4.22.Ідентифікація сигналів протонів, що обмінюються, пулвоміцина4.6у різницевому експерименті перенесення насичення. Пік H2O був селективно насичений, що привело до часткового насичення через хімічний обмін п'яти гідроксильних сигналів
Дата добавления: 2015-08-11; просмотров: 806;
