Вибір розчинника
Оскільки стабілізація поля у всіх сучасних спектрометрах базується на стабілізації магнітного поля за допомогою сигналу дейтерію, то практично завжди вимірювання спектрів ЯМР проводиться у дейтерованому розчиннику. Це означає, що всі атоми водню у розчиннику заміщені на дейтерій. Широкий спектр таких розчинників випускається промисловістю. У завантажених лабораторіях, що займаються органічним синтезом, об'єми використовуваних розчинників можуть бути досить великими. Тому у виборі розчинника не останню роль відіграє і його ціна. Зазвичай хлороформ і вода використовуються найбільше широко. Однак в останні роки, особливо в промисловому секторі, найбільш вживаним розчинником став ДМСО. Це пов'язане з його високою розчинюючою здатністю. Використовуються також ацетон, метанол і дихлорметан.
Таблиця 2.2.Властивості найважливіших дейтерованих розчинників
| Розчинник | dh | d(HDO) | dC | Температура плавлення | Температура кипіння |
| (м.ч.) | (м.ч.) | (м.ч.) | (°C) | (°C) | |
| Оцтова кислота-d4 | 11.65,2.04 | 11.5 | 179.0, 20.0 | ||
| Ацетон-d6 | 2.05 | 2.0 | 206.7, 29.9 | -94 | |
| Ацетонітрил-d3 | 1.94 | 2.1 | 118.7, 1.4 | -45 | |
| Бензол-d6 | 7.16 | 0.4 | 128.4 | ||
| Хлороформ-d1 | 7.27 | 1.5 | 77.2 | -64 | |
| Оксид дейтерію-d2 | 4.80 | 4.8 | - | ||
| Дихлорметан-d2 | 5.32 | 1.5 | 54.0 | -95 | |
| N,N-диметилформамид-d7 | 8.03, 2.92, 2.75 | 3.5 | 163.2,34.9,29.8 | -61 | |
| Диметилсульфоксид-d6 | 2.50 | 3.3 | 39.5 | ||
| Метанол-d4 | 4.87, 3.31 | 4.9 | 49.2 | -98 | |
| Піридин-d6 | 8.74, 7.58, 7.22 | 5.0 | 150.4, 135.9, 123.9 | -42 | |
| Тетрагідрофуран-d8 | 3.58, 1.73 | 2.4 | 67.6, 25.4 | -109 | |
| Толуен-d8 | 7 09 7 00 6 98 2 09 | 0.4 | 137.9, 129.2, 128.3, 125.5, 20.4 | -95 | |
| Трифтороцтова кислота d1 | 11.30 | 11.5 | 164.2, 116.6 | -15 | |
| Трифторетанол-d3 | 5.02, 3.88 | 5.0 | 126.3, 61.5 | -44 |
Протонні зсуви, dH, і зсуви сигналів вуглецю, dC, відносно TMS (протонні зсуви залишків протонованого розчинника).
Протонні зсуви залишків HDO/H2O сильно залежать від умов вимірювання спектра
Вибір розчинника, що найкраще підходить для аналізу, базується на ряді критеріїв. Найбільш важливим з них є розчинність зразка. Вона має бути достатньою для проведення аналізу. Вимоги до розчинності, у свою чергу, залежать від чутливості магнітних ядер, на яких вимірюється спектр і загальної чутливості приладу, а також типу експерименту ЯМР. При проведенні вимірювання при низьких температурах необхідно також бути впевненим, що зниження температури не приведе до випадання досліджуваної речовини в осад, що значно погіршить розділення та чутливість. Для експериментів при температурі, що відрізняється від кімнатної, слід враховувати також температури плавлення і кипіння використовуваних розчинників. У Табл. 2.2 наведено ряд найважливіших властивостей розчинників, які використовуються найбільш широко. Для роботи при підвищених температурах найчастіше застосовуються ДМСО та толуол, а при низьких температурах - дихлорметан, метанол і тетрагідрофуран. Навіть при проведенні експериментів за кімнатної температури, температуру плавлення розчинників варто брати до уваги. Так, у холодний день розчини в ДМСО можуть у лабораторії замерзнути. В’язкість розчинника впливає на можливість досягнення в спектрі високого розділення сигналів. Із цього погляду краще застосовувати такі нев'язкі розчинники як ацетон (саме цей розчинник використовується при тестуванні розділення спектрометра). В експериментах, що базуються на різницевій спектроскопії, таких як ЯЕО, слід використовувати розчинник з потужним сигналом лока.
Для протонної та вуглецевої спектроскопії треба враховувати величини хімічних зсувів сигналів розчинників, оскільки вони можуть збігатися із сигналами досліджуваних сполук і утруднювати інтерпретацію спектрів. У протонній спектроскопії в спектрах завжди міститься сигнал розчинника, що обумовлений неповним дейтеруванням і наявністю в ньому залишкових протонів (звичайно розчинники мають ступінь дейтерування 99,5%). При рутинних дослідженнях, коли зразок має масу кілька мг, сигнал залишкових протонів розчинника звичайно має інтенсивність, близьку до інтенсивності сигналів зразка. Якщо доступна кількість зразка становить десятки мікрограмів, треба використовувати розчинник з більш високим ступенем дейтерування в сполученні з методиками роботи з мікрозразками. Сигнал протонів розчинника, за винятком хлороформу та води, являє собою мультиплет через ССВ із атомами дейтерію, що має спін 1. Так, наприклад, у дихлорметані він має вигляд триплету, оскільки основний компонент недейтерованої домішки містить молекули CDHCl2. Ацетон, ДМСО та метанол містять сигнал у вигляді квінтету групи CD2H (Рис. 2.18).
Рис. 2.18.Сигнализалишкових протонів дейтерованих розчинників (a) CHCI3 в CDCI3, (б) CHDCI2 в CD2C12 і (в) CHD2COCD3 в (CD3)2CO. Мультиплетність сигналів у спектрах (б) і (в) пов'язана з розщепленням спіна на дейтерії через два зв'язки (гемінальна ССВ). Оскільки спін дейтерію дорівнює 1, у спектрі присутні 1:1:1 триплет і 1:2:3:2:1 квінтет відповідно. Синглет ліворуч в (б) це залишок CH2CI2 у розчиннику, різниця в зсуві виникає через H-D ізотопний зсув, що дорівнює 6 Гц
У вуглецевій спектроскопії сигнал розчинника найчастіше є домінуючим. Через розщеплення на дейтерії він також являє собою мультиплет. При вимірюванні спектрів на інших ядрах, розчинник не впливає на спектр, за винятком спектрів самого дейтерію. У цьому випадку, незважаючи на те, що маса зразка може становити десятки мг, сигнал дейтерованого розчинника може перешкодити їхньому виявленню. Тому такі вимірювання, як правило, проводять у недейтерованих розчинниках. Для системи стабілізації магнітного поля (лока) додають невелику кількість дейтерованого розчинника. Цей же розчинник виконує роль стандарту при визначенні величин хімічних зсувів сигналів дейтерію зразка (див. нижче).
Крім сигналів самого розчинника, у спектрі можуть міститися також сигнали води, що, з одного боку, у деяких кількостях присутня в самому розчиннику, а, з іншого боку, може міститися також і в зразку. Резонансний сигнал води, найчастіше, трохи уширений і на його положення в спектрі впливають умови вимірювання. Всі розчинники до деякої міри гігроскопічні (включаючи важку воду). Тому їхній контакт із атмосферою повинен бути зведений до мінімуму. Сильно гігроскопічні розчинники, такі як ДМСО, метанол, важка вода, краще зберігати в атмосфері сухого інертного газу.
Можна використовувати також розчинники, що розфасовані в невеликі ампули. У цьому випадку їх застосовують одразу після розкриття ампули. Але при цьому вартість вимірювання може зрости вдвічі. Для осушення розчинників можна застосовувати молекулярні сита. Однак у цьому випадку перед використанням розчинники варто профільтрувати, щоб виключити попадання в зразок часточок молекулярного сита. Альтернативою цьому є пропускання розчинника через шар активованого оксиду алюмінію.
Розчинник може також привести до втрати сигналів протонів, що обмінюються, внаслідок їхнього заміщення на дейтерій. Особливо часто це відбувається в таких розчинниках як вода, трифтороцтова кислота та метанол. Для запобігання цьому можна використовувати розчини, що містять лише 10-20% відповідного дейтерованого розчинника, а решту - недейтерованого (щоб забезпечити сигнал лока). Однак, при таких вимірюваннях слід використовувати ефективну схему придушення сигналу розчинника. Сигнали протонів, що обмінюються, можуть бути загубленими також через явище, що відоме як перенесення насичення. Вимірювання в 90% Н2О домінують при вивченні біологічних макромолекул, оскільки в даному випадку протони, що обмінюються, такі як NH у пептидах і протеїнах, а також протони в ДНК і РНК відіграють ключову роль у визначенні їхньої структури.
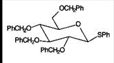
Природа розчинника може також суттєво впливати на вигляд спектра. У різних розчинниках положення сигналів окремих протонів можуть істотно змінюватися. Передбачити такі зміни заздалегідь буває досить складно, що може приводити до певних помилок, а може бути й корисним. Так, часто використовується порівняння спектра в неароматичному розчиннику, такому як хлороформ, зі спектром в ароматичному бензолі (Рис. 2.19). У цьому випадку зміни в спектрі пов'язані з магнітною анізотропією ароматичного розчинника. Якщо в обох використаних розчинниках спектр виходить незадовільним через збіг сигналів, але їхні зміни досить значні, можна вдатися до титрування зразка, розчиненого в одному розчиннику, іншим розчинником. Варіювання розчинника може бути особливо корисним в одномірних експериментах із селективним насиченням сигналів, коли через збіг сигналів в одному розчиннику, експеримент провести не вдається. Приклад цьому даний на Рис. 2.19.

Рис. 2.19.Зміну розчинника можна використовувати для збільшення різниці хімічних зсувів окремих сигналів. Показано протонний спектр похідного глюкози 2.1 в (a) CDC13 і (б) C6D6. В (б) спостерігається поява сигналу при 3.2 м.ч. який в (а) був прихований під іншими сигналами.

Селективний вплив на певні резонансні сигнали добавки іншого розчинника можна також використовувати при інтерпретації спектрів. Так, додавання краплі D2O приводить через якийсь час до зникнення зі спектра або зменшення інтенсивності тих сигналів, для яких характерним є протонний обмін. Для кислих протонів, що зв'язані міцними водневими зв'язками, такий обмін може не відбутися одразу, а зажадати багато хвилин або навіть годин. Це може служити зручним тестом на наявність міцних водневих зв'язків.
Дата добавления: 2015-08-11; просмотров: 1153;
