Потери удельного импульса в сопле
Коэффициент потерь удельного импульса в сопле РД представляется в виде:

где
- составляющие потерь в сопле.
Представление аддитивной суммой не совсем корректно ввиду наличия корреляции между отдельными составляющими, в следствии, к примеру, взаимодействия газовой и конденсированной фаз продуктов сгорания. Кроме того, некоторые составляющие потерь удельного импульса в сопле РДТТ изменяются во времени (из-за разгара минимального сечения, из-за трения ввиду нестационарности температуры стенки). Однако, опыт создания РД маршевых ступеней ракет показал правомерность аддитивного подхода к вычислению удельного импульса двигателей с усреднением по времени работы двигателя нестационарных составляющих.
Все виды потерь удельного импульса в сопле можно разделить на две группы. В первую отнесем присущие всем соплам, независимо от состава рабочего тела, а во вторую - связанные со спецификой сопел РДТТ, наличием конденсированной фазы в продуктах сгорания.
Группа 1:
1. Потери из-за рассеяния вследствие непараллельности вектора
скорости потока в выходном сечении оси профилированного сопла.
Наиболее корректно эту составляющую потерь следует вычислять по зависимости

где
– газодинамическая функция приведенного полного импульса потока (отношение полного импульса потока в выходном сечении сопла к полному импульсу потока в минимальном (критическом) сечении сопла), рассчитываемая по одномерной теории.
- безразмерный интеграл сил давления, вычисляемый в процессе расчета двумерного поля течения в сопле
. Для приближенных оценок используется формула

полученная по результатам численных исследований течений в соплах.
В конических соплах
, при 
2. Потери на искривление звуковой линии в минимальном сечении вследствие скругления угловой точки технологическим радиусом r2 возникают вследствие возникновения малых возмущений в сверхзвуковой области

где
относительный радиус скругления угловой точки (величина
может достигать значения 0,5). В соплах с радиусным скруглением горловины этот вид потерь отсутствует.
3. Потери из-за разгара минимального сечения сопла РДТТ возникают вследствие уменьшения степени расширения сопла по мере уноса материалов горловины.
При адиабатическом истечении продуктов сгорания в пустоту
, где
- газодинамическая функция, определяющая отношение плотности потока импульса к давлению торможения (т. е. к ее значению в заторможенном газе). Тогда потери импульса в момент окончания работы двигателя определит зависимость

где индексом «0» обозначены значения степени расширения сопла и газодинамической функции при начальном значении диаметра сопла.
Чтобы избежать вычислений значений газодинамической функции
при начальном значении диаметра минимального сечения
и конечном значении
, используем эмпирическое соотношение для расчета среднего за время работы двигателя значения потери удельного импульса из-за разгара диаметра минимального (критического) сечения
(6.13)
В зависимости (6.13) 
4. Потери из-за искажения контура вследствие технологических погрешностей изготовления и уноса материалов тепловой защиты тракта сопла РДТТ оценены по результатам параметрических расчетов монодисперсных двумерных течений и приняты постоянными
.
5. Потери из-за утопленности сопла РДТТ в канал заряда оценивают по соотношению, полученному обработкой экспериментальных данных

где
– давление в корпусе двигателя, МПа,
- отношение длины утопленной части сопла к длине канала заряда,
- диаметр минимального (критического) сечения сопла, мм.
6. Потери из-за трения потока оценивают с помощью интегральной характеристики пограничного слоя на стенке - относительного значения, толщины потери импульса в выходном сечении сопла 

Вычисление значения толщины потери импульса на срезе сопла требует применения сложных моделей теории пограничного слоя на проницаемой шероховатой стенке, поэтому используют приближенные соотношения. Например, обобщающая зависимость, учитывающая и шероховатость поверхности тракта сопла:
(6.14)
где
- относительная величина эквивалентной песочной шероховатости стенок.
Вдув газообразных продуктов пиролиза матрицы и окисления углерода поверхностного слоя композиционных материалов тепловой защиты тракта сопла РДТТ в общем случае приводит к уменьшению трения на стенке.
Необходимость реализации сложных алгоритмов при расчете потерь на трение возникает при создании конструкции сопла высотной ступени с насадком из углерод-углеродных композиционных материалов. Пиролиз матрицы у таких материалов не происходит, унос массы также отсутствует ввиду невысокой температуры стенки и низкого уровня конвективного тепломассообмена. Поверхность данного участка сопла является непроницаемой. Высокая теплопроводность таких материалов при отсутствии внешней теплоизоляции приводит к низкой температуре стенки и увеличению трения вследствие роста значения плотности газа на поверхности сопла. К тому же для сопла большой степени расширения характерно значительное увеличение толщины пограничного слоя по мере приближения к срезу, и режим проявления шероховатости может не наступить, т.е.
(уменьшение трения при больших числах Маха в сочетании с малыми значениями плотности газа). Поэтому оценку потерь на трение по зависимости (6.14) следует считать верхней.
7. Потери вследствие отвода теплоты в стенку сопла и окружающую среду.
Необратимый отвод теплоты приводит к уменьшению температуры рабочего тела и возникновению потери удельного импульса вследствие уменьшения скорости потока на срезе сопла. В принятой концепции поправочных множителей к значению удельного импульса адиабатического течения идеального газа потери удельного импульса на отвод теплоты в стенку сопла определит выражение:

где уменьшение температуры продуктов сгорания вследствие отвода теплоты можно оценить по формуле:

в которой
- плотность теплового потока в стенку (рассчитывается по параметрам рабочего тела без потерь энергии),
- площадь поверхности теплообмена,
-расход продуктов сгорания при адиабатическом течении газа.
Этот вид потерь следует учитывать только в небольших двигателях, так как даже для маршевых двигателей высотных ступеней ракет эти потери обычно не превышают 0,15%. Поэтому обычно их не учитывают ввиду малости и связанности с потерями на трение, которые оценены по (6.14) как верхний предел.
8. Потери из-за химической неравновесности реакций в газовой фазе продуктов сгорания оценивают по результатам расчетов параметров потока по моделям равновесного и замороженного течений. С ростом давления торможения и диаметра минимального (критического) сечения эти потери уменьшаются вследствие увеличения времени пребывания частиц рабочего тела в камере сгорания (корпусе), температуры торможения и скоростей химических реакций из-за нарастания концентраций компонентов.
Для современных РД потери на химическую неравновесность можно оценить по зависимости:

размерность диаметра минимального (критического) сечения – мм.
Группа 2:
9. Потери в сопле РДТТ из-за скоростного и температурного запаздывания частиц относительно несущей газовой фазы в соответствии с данными:
(6.15)
где основная зависимость от диаметра минимального (критического) сечения сопла, диаметра частиц и доли конденсата в потоке имеет вид:

где диаметр частиц - в мкм, диаметр минимального (критического) сечения сопла - в мм. Зависимость от давления торможения имеет вид
и означает увеличение потерь при уменьшении давления торможения вследствие уменьшения коэффициента сопротивления частиц из-за разреженности газа.
Зависимость от угла наклона контура за угловой точкой имеет вид
и означает, что с ростом эффективного угла контура увеличиваются потери из-за сокращения длины участка разгона частиц за горловиной. Эффективный угол наклона контура определяют по формуле
. Зависимость от степени расширения сопла имеет вид
и учитывает уменьшение запаздывания частиц по скорости от газа с ростом степени расширения из-за уменьшения градиента скорости газа.
Если сопло выполнено без угловой точки, а имеет радиусное скругление горловины, то в (6.15) необходимо учесть дополнительный сомножитель
, где
. С ростом величины
происходит удлинение горловины сопла и уменьшение градиента скорости газа, что, в свою очередь, приводит к уменьшению запаздывания частиц от газа.
10. Потери в сопле РДТТ из-за отсутствия кристаллизации частиц конденсированной фазы (отсутствие подвода теплоты к газу при достижении частицей температуры кристаллизации). Приближенная зависимость имеет вид

11. Потери в сопле РДТТ вследствие выпадения частиц конденсата на стенки сопла в современных соплах можно не рассматривать ввиду выбора профиля, исключающего инерционное осаждение частиц в концевой части. Однако при создании сопловых блоков двигателей стартовых ступеней имеет смысл выбирать профиль с малыми значениями угла
, допускающий выпадение частиц на концевую часть сопла - уменьшение потерь удельного импульса из-за рассеяния и запаздывания частиц может компенсировать увеличение массы конструкции концевого участка вследствие эрозии материалов. В общем случае необходимо решать задачу параметрической оптимизации для достижения максимума конечной скорости ступени. При этом необходимо рассчитывать величину унесенного слоя композиционных материалов вследствие высокоскоростного многократного соударения с частицами конденсированной фазы для выбора толщин материалов тепловой защиты. Кроме того, происходит потеря удельного импульса вследствие выпадения частиц на стенку. Приближенно величину этой потери можно оценить по зависимости:

где
- площадь концевой части, подверженной осаждению частиц,
- осевая и нормальная к поверхности осаждения составляющие скорости частиц,
- расход продуктов сгорания. Оценки потерь удельного импульса вследствие выпадения частиц на концевую часть сопла двигателя стартовой ступени показали, что величина их может превышать 1%.
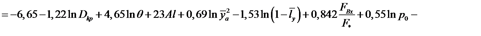
По результатам натурных испытаний РД получают обобщенные эмпирические зависимости потерь удельного импульса по результатам обработки экспериментальных данных в зависимости от основных параметров двигателей. Характерный пример такой зависимости для РДТТ:

(6.16)
где
– доля алюминия в топливе;
– радиус скругления входа в горловину; давление торможения - МПа; диаметр минимального сечения - мм.
В США используют соотношение:
,
в котором величины и их размерности аналогичны (6.16).
Такие зависимости в ряде случаев позволяют оценить суммарные потери удельного импульса двигателя без учета потерь на химическую неравновесность при неопределенности с потерями на отсутствие кристаллизации частиц конденсированной фазы.
При проведении проектных расчетов можно использовать экспериментальные данные по коэффициентам потерь, приведенные в табл. 6.1.
Таблица 6.1
| φ | 0,95÷0,97 | 0,93 |
| φк | 0,97÷0,98 | 0,98 |
| φс | 0,98÷0,99 | 0,95 |
| ЖРД | РДТТ Смесевые топлива |
Действительный удельный импульс вычисляется из соотношения

где
- идеальный (расчетный) удельный импульс.
Действительные значения площади минимального (критического) сечения и выходного сечения сопла определяются из выражений

где
- идеальные (расчетные) значения.
Действительное значение коэффициента тяги в пустоте определяется так:
,
где
– идеальное (расчетное) значение.
Действительное значение расхода компонентов определяется из соотношения:

где
– идеальное (расчетное) значение. 
Дата добавления: 2015-08-11; просмотров: 3546;
