Термогазодинамика потока рабочего тела
Перейдем к термогазодинамике потоков – определению параметров движущегося рабочего тела. Рассмотрим наиболее простую модель движения газа: одномерное установившееся адиабатическое (изоэнтропическое) течение идеального газа, когда в каждой точке потока параметры не изменяются во времени и зависят только от осевой координаты x движения. Целью расчетов является определение средних по площади F поперечного сечения канала с осевой координатой x значений скорости w, давления p, плотности
и температуры T.
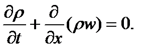
Значения искомых параметров находят из решения уравнений неразрывности, I закона термодинамики, состояния и движения газа. Уравнение неразрывности получают из формулировки закона сохранения вещества в гидродинамике:

В рассматриваемом случае одномерного движения уравнение неразрывности принимает вид

Для одномерного стационарного течения газа имеем:
, т.е. 
Тогда расход газа через поперечные сечения канала
Дифференциальная форма уравнения неразрывности:
разделим на
и получим

Движение газа в одномерном поле давления p=f(x) с градиентом dp/dx приводит к действию на элементарный объем Fdx силы (dp/dx) Fdx,сообщающей массе газа
в стационарном потоке ускорение

В соответствии со II законом Ньютона уравнение движения примет вид

или

Откуда при
получим:
где
и
имеют разные знаки – скорость возрастает в направлении уменьшения давления.
Из I закона термодинамики следует, что теплота
, подведенная к элементарной массе газа, тратится на увеличение его энтальпии и кинетической энергии
, которую и превращают в механическую энергию различные энергетические установки

Если нет теплообмена с окружающей средой (
), то
, после интегрирования получим
(5.1)
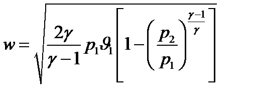
Рассмотрим адиабатическое истечение газа из конического насадка схемы рис. 5.2.

Скорость потока вычисляют из (5.1) при допущении, что в ресивере w1=0 – в любом сечении сопла
Дж/кг,
м/с.
Для адиабатического процесса
и располагаемая работа
(5.2)
в то же время
тогда из (5.2)
или
(5.3)
Расход газа с учетом уравнения адиабаты, неразрывности и (5.3):
(5.4)
т.е. при заданных F2 и параметрах ресивера расход определяется значением p2.
Рассмотрим теперь параметры заторможенного потока. В адиабатическом процессе
или
. Энтальпией торможения называют величину H0 – ее имеет газ до начала истечения из ресивера или при полной остановке движения без отвода теплоты и потерь энергии.
Есть и другая постоянная - сумма, вытекающая из определения энтальпии:
(5.5)
и (5.6)
Сумма термодинамической температуры T и динамического повышения температуры
при торможении потока есть температура торможения T0.
Из уравнения Бернулли для несжимаемой жидкости можно получить выражение для давления торможения
где p – статическое термодинамическое давление (давление движущегося газа),
- динамическое давление (скоростной напор).
Для сжимаемого газа уравнение Бернулли принимает вид (с учетом:
и уравнения Майера
):
.
ЛЕКЦИЯ 6
Дата добавления: 2015-08-11; просмотров: 1739;
