ОБРАБОТКА РЕЗУЛЬТАТОВ ИСПЫТАНИЯ И ПОСТРОЕНИЕ ХАРАКТЕРИСТИКИ НАСОСА
Для каждого режима определяются основные параметры работы насоса по формулам.
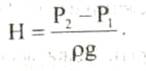
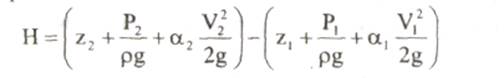
5.1. Напор насоса
(1)
где р - плотность жидкости; g - ускорение свободного падения; разность нивелирных отметок подключения приборов давления на данной установке z2-z1 = 0; Р2 и Р1 - абсолютные давления в местах подключения приборов давления: манометра и мановакуумметра соответственно. Пренебрегая разностью скоростных напоров
вследствие ее малости, получаем расчетную формулу

Переходя от абсолютных давлений к показаниям манометра (Рм) и мановакуумметра Рмв, получим
|
где знак."+" соответствует разряжению, а "-" - положительному избыточному давлению во входном патрубке насоса.
5.2. Подача насоса определяется по шкале расходомера.
5.3 Полезная мощность насоса

5.4. Мощность насоса

где M=Gr - крутящий момент на валу ротора насоса; G и г - показание стрелки и плечо динамометра; ω=2πn - угловая скорость вращения ротора;
n - частота вращения вала.
5.5. Коэффициент полезного действия насоса

По полученным результатам строится характеристика насоса,
На график наносятся опытные точки, через которые проводятся
плавные кривые.
По характеристике находят оптимальные параметры насоса,
соответствующие максимальному значению к.п.д. Определяется
рабочая часть характеристики из условия снижения максимального к.п.д. не
более чем на 5-7 %.
6. СОДЕРЖАНИЕ ОТЧЕТА
Записать цель работы.
Зарисовать схему установки.
Описать правила пуска и нормальных испытаний насоса.
Записать расчетные формулы и результаты расчетов для одного ре
жима.
Заполнить журнал испытания.
Построить на миллиметровке в масштабе характеристику насоса.
Указать оптимальные параметры насоса.
Дата добавления: 2015-07-10; просмотров: 1040;
