Сокращение вредных выбросов в окружающую среду.
Снижение загрязнения окружающей среды при работе электростанций является важной экологической задачей. Ряд вредных веществ образуется в процессе сжигания топлива в котле, и их выброс с продуктами сгорания можно значительно сократить путем правильного выбора режимных методов сжигания топлива. К числу таких веществ относятся оксиды азота, полициклические углеводороды, включая бенз(а)пирены, и триоксид серы. Основными методами подавления образования оксидов азота в топках котлов являются: 1) уменьшение избытка воздуха в зоне горения до минимального по условиям полного сгорания топлива; 2) применение ступенчатого сжигания топлива, при котором в одну группу горелок ( в нижний ярус или в горелки одной стены топки) подается основная масса топлива при избытке воздуха меньше единицы, а в другую группу (верхний ярус горелок или противоположную группу горелок) поступает остаток топлива и воздуха со значением α > 1; 3) рециркуляция дымовых газов с температурой 350…400°С в топку, что обеспечивает снижение температурного уровня в зоне горения и уменьшение концентрации горючих веществ и окислителя за счет разведения горючей смеси инертными газами; 4) ввод в зоны активного образования оксидов азота струи пара или воды для локального снижения уровня температуры и создания химических реакций, препятствующих образованию вредных соединений; 5) создание горелок двухступенчатого сжигания с обеспечением временного недостатка воздуха в зоне начального образования оксидов азота.

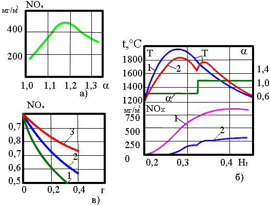
Рис. 7.26. Зависимость образования оксидов азота от определяющих параметров: а - от избытка воздуха в зоне горения; б - при двухступенчатом сжигании: 1 - одноступенчатое сжигание; 2 - двухступенчатое сжигание; α - избыток воздуха в зоне горения; в - от рециркуляции газов: 1 - при смешении газов с горячим воздухом перед горелкой; 2 - при вводе газов в каналы горелки; 3 - при вводе газов соплами под горелки.
Характерная зависимость концентрации оксидов азота в газах от избытка воздуха в зоне горения при сжигании природного газа показана на рис. 7.26, а. Приближение избытка воздуха к единице обеспечивает низкий уровень выхода NОX, но при этом в топке происходит неполное сгорание топлива и, что особенно опасно, резко растет концентрация бенз(а)пирена. Переход на значительный избыток воздуха также ведет к снижению выхода NОX за счет снижения температурного уровня реакций, но эксплуатация котлов с такими высокими избытками воздуха не экономична.
Более эффективным способом снижения входа NОX является ступенчатое сжигание. На рис. 7.26, б показан пример снижения выхода NОX при сжигании твердого топлива (каменного угля) и переходе с одноступенчатого на двухступенчатое сжигание, с использованием двухъярусного расположения горелок. В первой ступени сжигания обеспечивается избыток воздуха α = 0,75…0,85, при этом не происходит полного сгорания топлива. Кроме снижения уровня температуры в зоне горения здесь создаются условия для восстановления оксидов азота при их контакте с раскаленным углеродом или промежуточными продуктами при нехватке кислорода:
|
| 7.31 |
|
В результате выход NОX в первой зоне резко сокращается. Во второй зоне при значительном избытке воздуха температура газов не достигает уровня активного образования термических оксидов, а выход топливных оксидов низок из-за малого количества догорающего топлива.
Организация рециркуляции газов в топку показана на рис. 7.16. Влияние рециркуляции наиболее значительно при вводе продуктов сгорания в воздуховоды перед горелками, когда газы рециркуляции в смеси с горячим воздухом поступают в топку (рис. 7.26, в). Необходимо отметить, что наибольший эффект снижения концентрации NОX в продуктах сгорания достигается при доле рециркуляции rРЦ = 0,2…0,3.
Дальнейшее увеличение rРЦ при сжигании газа и мазута ведет к затягиванию горения и появлению недожога топлива, а также заметному росту затрат энергии на перекачку газов (при сжигании твердых топлив размер рециркуляции еще более ограничен). К тому же максимальное подавление образования NОX требуется при номинальной или близкой к ней нагрузке, когда ввод заметного количества газов рециркуляции сильно увеличивает скорость газов и аэродинамическое сопротивление газового тракта.
Частичный эффект снижения образования NОX создают горелки двухступенчатого сжигания. Принцип работы горелок основан на том (рис. 7.27), что вторичный поток воздуха участвует в дожигании топлива на более поздней стадии. Таким образом, прогрев топлива, выход летучих и разложение сложных углеводородных соединений топлива происходит в зоне с α < 1. Это обеспечивает снижение образования топливных и быстрых NОX в начальной части факела и понижение максимальной температуры горения.

Рис. 7.27. Горелки двухступенчатого сжигания: а - для твердого топлива; б - для природного газа; 1 - ввод аэропыли; 2 - зона горения с α < 1; 3 - зона дожигания; 4 - завихривающие лопатки; 5 - газовая кольцевая камера; I, II, III - соответственно подача первичного, вторичного и третичного воздуха
Наиболее глубокое подавление выброса оксидов азота возможно при сочетании разных способов. Так, например, организация ступенчатого сжигания в топке может сопровождаться частичной рециркуляцией газов. При сжигании газа и мазута удачным является сочетание впрыска воды с рециркуляцией газов, причем при высокой нагрузке котла целесообразно использование впрыска воды в зону горения (0,5…0,6% от расхода перегретого пара), а при более низкой нагрузке - усиление рециркуляции газов. Конструктивно обеспечение впрыска воды значительно дешевле, чем рециркуляция газов, но при этом способе ниже КПД котла за счет увеличения потерь с уходящими газами (рост объема водяных паров в газах).
Примеры
Пример 1. Котел переведен на сжигание абразивного подмосковного бурого угля. Какой ожидается интенсивность износа металла труб пакета промежуточного пароперегревателя в верхней части конвективной шахты при характеристике пакета sВ1/d = 140/45 мм, средней скорости газов в пакете 7,8 м/с и температуре газов 750 °С?
Решение
Расчетный объем газов в пакете промперегревателя при αПЕ = 1,23 составляет
. Концентрация золы в потоке газов по (7.20)
|
Примем tР = 6500 ч/год, коэффициент абразивности золы бурого угля а = 14,0 · 10-9, относительную износоустойчивость металла m = 0,7, коэффициенты km = 1,2 и kW = 1,25, значение R90 = 45%. Тогда по (7.23) максимальная интенсивность износа составит
|
Как видно, интенсивность износа не превышает допустимой, что также следует из приведенных в §7.5 значений wИЗ для подмосковного бурого угля.
Пример 2. Сравнить скорость коррозии трубчатого и регенеративного воздухоподогревателей при сжигании сернистого мазута QРН = 39 МДж/кг, SР = 2% в одинаковых температурных и аэродинамических условиях.
Решение
Примем для топки αТ = 1,03. При этом на выходе из топки О2 = 0,61 %, SП = 0,051%. Расчетная температура точки росы по (7.27)
|
Концентрация оксида серы SO3, в потоке газов по (7.26) при значении qV = 290 кВт/м3 (котел ТГМП-324) и коэффициенте kПkТ = 2· 10-6:
|
Проверим значение tSР по концентрации SO3 в дымовых газах:
|
Тогда
Расхождение значений – 0,9 0С. Расчетная минимальная температура металла воздухоподогревателя tминст при значениях t′вп = 30 0С и θух = 130 0С:


Значения tМИНСТ меньше tSР, что свидетельствует о коррозии поверхности.
Максимальная скорость коррозии KМАКСК, г/(м2 · ч), при значении tSР = 94,2 °С составит
|
где m - поправочный коффициент, учитывающий условия работы поверхности; m = 1 для ТВП и m = 0,6 для РВП.
Значение KМАКСК = 3,5·(94,2/145)4 = 0,62 г/(м2·ч) для ТВП и KМАКСК = 3,5∙0,6∙0,178 = 0,37 г/(м2∙ч) для РВП. Как видно, в случае применения РВП коррозия заметно слабее, но выше допустимого предела - 0,2 г/(м2 · ч).
Дата добавления: 2015-07-10; просмотров: 2273;
