Принцип работы однофазных трансформаторов
Принцип работы однофазных трансформаторов рассмотрим по схеме рис.13.2. При подключении источника напряжения
в первичной обмотке трансформатора, возникает ток
. Далее будем пользоваться действующими значениями используемых физических величин.
Ток
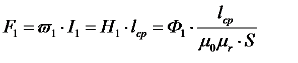
приводит к появлению магнитодвижущей силы первичной обмотки
. (13.1)
Магнитодвижущая сила
возбуждает в магнитопроводе магнитный поток
причем
. (13.2)
Магнитный поток
индуцирует в первичной обмотке трансформатора ЭДС самоиндукции
, а во вторичной обмотке - ЭДС взаимной индукции
.
Замкнем цепь вторичной обмотки. Под воздействием ЭДС взаимной индукции через нагрузку Z2 потечет ток I2 , возникает магнитодвижущая сила F2, и магнитный поток Ф2 , причем
. (13.3)
Для указанных на рис.10.2 направлений намотки обмоток трансформатора и выбранных положительных направлений токов I1 и I2 магнитные потоки Ф1 и Ф2 встречны. Поэтому в магнитопроводе создается результирующий магнитный поток

(13.4)
| Z |
| U |
| U |
| i |
| / |
| w |
| / |
| w |
| U(t) |
| Ψ1рас |
| Ψ2рас |
Рис. 10.2
.
Этот поток пересекает витки обоих обмоток трансформатора и наводит в них результирующие ЭДС е1 и е2 .
Помимо основного магнитного потока Ф (по 13.4), в реальном трансформаторе существуют потоки рассеяния первичной
и вторичной
обмоток. Для количественной оценки потоков
и
вводят понятие эквивалентной индуктивности рассеяния так, что
;
.
Кроме того, обмотки реального трансформатора обладают активными сопротивлениями R1 и R2. Чтобы учесть перечисленные величины при анализе работы трансформатора, переходят к его схеме замещения (рис.13.3).
Часть схемы, выделенная на рис. 13.3 пунктиром, не имеет активных сопротивлений и потоков рассеяния, а поэтому называется идеализированным трансформатором. К нему применимы все соотношения, полученные в лекции №10. Но для получения простых и наглядных соотношений параметров трансформатора необходимо преодолеть еще одну трудность.
Дело в том, что трансформатор в расчетном эквиваленте представляет собой нелинейную цепь. Значит, к его анализу, необходимо применять теорию нелинейной алгебры. Чтобы уйти от этого, гистерезисную зависимость
заменяют эквивалентным эллипсом (рис.13.4), построенным так, что его площадь не менее чем на 95% перекрывает площадь петли гистерезиса.
| U |
| I |
| R |
| L |
| 1рас |
| Z |
| U |
| R |
| L |
| 2рас |
| Т |
| Р |
| Е |
| Е |
Рис. 13.3
| Н |
| В |
Рис. 13.4
Если теперь зависимости
,
;
выражать через параметры эллипса, то возникающие за счет отклонения от петли гистерезиса погрешности оказываются пренебрежимо малыми для практических целей. Главное в том, что применение эквивалентного эллипса позволяет перейти к простым линейным выражениям в представлении величин В(t) и Н(t):
; (13.5)
, (13.6)
где
- сдвиг фазы между Н и В.
От выражений (13.5) и (13.6) легко перейти к комплексной показательной форме представления, т.е.
;
, (13.7)
Учитывая соотношения (10.14) и (10.15), связь между напряжением и магнитной индукцией представим в виде:
,
а связь между током и напряженностью магнитного поля выражением:
. (13.8)
Теперь можно перейти к оценке основных параметров трансформатора. Учитывая (10.14) и (10.15) определяем напряжение на первичной и вторичной обмотках трансформатора:
, (13.9)
. (13.10)
Эти напряжения полностью уравновешиваются ЭДС первичной
и вторичной
обмоток:
, (13.11)
. (13.12)
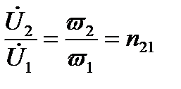
Отношение (13.10) к (13.9):
(13.13)
называется коэффициентом трансформации.
Подставим в выражение для
значение Ф из (10.4):
. (13.14)
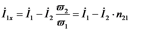
Если разомкнуть цепь вторичной обмотки, то ее ток I2 станет равным нулю. При этом в цепи первичной обмотки будет протекать ток холостого хода, т.е. I1 = I1x , а выражение (13.14) примет вид
. (13.15)
Но
- это напряжение источника. Оно не зависит от режима работы трансформатора. Значит левые части равенств (13.14) и (13.15) равны. Отсюда следует, что равны и правые части. Приравнивая их, определим ток холостого хода трансформатора.
. (13.16)
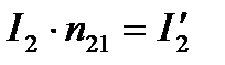
Последнее выражение показывает, что ток холостого хода равен разности токов первичной и вторичной обмоток, причем ток вторичной обмотки пересчитан к виткам первичной обмотки. Ток холостого хода мал и у мощных трансформаторов составляет единицы процентов от номинального значения.
Произведение

называют приведенным током вторичной обмотки. Кроме
для оценки качеств трансформатора пользуются приведенным сопротивлением нагрузки
и приведенным напряжением вторичной обмотки
. Определим их значения. Для этого выразим магнитный поток Ф из (13.10)
. (13.17)
Подставим (13.17) в (13.9):
.
Домножим и разделим последнее выражение на коэффициент
. Перегруппировав множители, получим:
. (13.18)
В (13.18)
- приведенный ток, а
- приведенное, т.е. пересчитанное к виткам первичной обмотки, сопротивление нагрузки.
Произведение
(13.19)
называется приведенным напряжением вторичной обмотки. Очевидно, что
. (13.20)
С учетом введенных понятий выражение (13.16) для тока холостого хода принимает вид:
. (13.21)
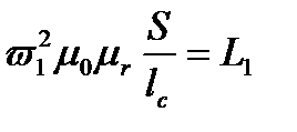
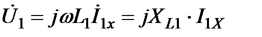
В выражении (13.15) множитель

определяет индуктивность первичной обмотки. Поэтому можно записать:
,
что полностью соответствует закону Ома для цепи с индуктивностью.
Для завершения анализа принципа работы построим векторную диаграмму идеализированного трансформатора (рис.13.5). На диаграмме в качестве исходного принимаем вектор магнитного потока
. Векторы ЭДС
отстают от
на 900. Это очевидно из (13.11) и (13.12) по наличию множителя (-j). Векторы
равны по величине
и
соответственно, но
| Ф |
| - |
| I |
| 1x |
| I |
| δ |
| I |
| - |
| I |
| 1x |
| - |
| U |
| U |
| E |
| E |
| φ2 |
| - |
| Ū |
| R |
| Ī |
| X |
| 2p |
| Ī |
| -E |
| Z |
| об2 |
| Ī |
| Ū |
| Z |
| об1 |
| Ī |
| - |
| E |
| X |
| Ī |
| R |
| Ī |
| Ī |
| 1X |
| Ф |
| _ |
Рис. 13.5 Рис. 13.6
противоположны им по направлению. Вектор тока холостого хода
опережает вектор
на угол d. Это хорошо видно из (10.8) т.к.
.
Вектор тока вторичной обмотки трансформатора
сдвинут относительно вектора
на угол j2, что определяется характером нагрузки
. Значение вектора
легко найти по (13.21).
,
что и выполнено на диаграмме.
Для перехода к реальному трансформатору обратимся к рис. 13.3. Схема рис. 13.3 содержит два электрически не связанных замкнутых контура - цепь первичной и цепь вторичной обмоток. Для каждой из них справедлив второй закон Кирхгофа. Поэтому для цепи первичной обмотки трансформатора справедливо равенство
. (13.22)
Равенство (13.21) показывает, что напряжение источника
уравновешивается падением напряжения на комплексном сопротивлении первичной обмотки и наводящейся в ней ЭДС самоиндукции
. Эпюры напряжений, соответствующие (13.22) приведены на рис. 13.6.
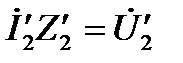
Для цепи вторичной обмотки трансформатора можно записать равенство
. (13.23)
Эпюры напряжения, соответствующие (13.23) приведены на рис. 13.6.
Дата добавления: 2015-08-11; просмотров: 741;
