Анализ магнитных цепей постоянного тока
Суть анализа сводится к определению основных параметров магнитных цепей: магнитного потока Ф, напряженности магнитного поля Н, магнитной индукции В, сечения магнитопровода S, тока катушки I и др. При этом пользуются понятиями магнитодвижущей силы, закона полного тока, магнитного напряжения
и магнитного сопротивления
.
Если по намагничивающей обмотке протекает ток I, то магнитодвижущей силой обмотки F называют произведение величины тока на число витков:
v. (10.7)
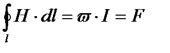
Связь между магнитодвижущей силой F и напряженностью магнитного поля Н устанавливает закон полного тока:
(10.8)
При анализе магнитных цепей пользуются значением средней линии магнитопровода, поэтому:
. (10.9)
Выделим в магнитопроводе рис. 8.5 участок длиной «аб».
Произведение:
(10.10)
называют магнитным напряжением.
Если магнитная цепь содержит два неоднородных участка длиной
и
, то:

или:
. (10.11)
Таким образом алгебраическая сумма магнитных напряжений на участках цепи равна магнитодвижущей силе обмотки. Выражение (10.11) представляет собой второй закон Кирхгофа для магнитной цепи.
Аналогом первого закона Кирхгофа является теорема Гаусса: поток вектора магнитной индукции через любую замкнутую поверхность равен нулю:
. (10.12)
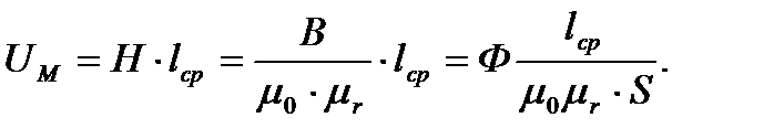
Рассмотрим выражение для магнитного напряжения:

Обозначим выражение:
,
где
- магнитное сопротивление.
Тогда:
. (10.13)
Равенство (10.13) представляет собой закон Ома для магнитной цепи.
Если основной характеристикой электрической цепи является вольт-амперная характеристика, то для магнитной цепи - это вебер-амперная характеристика - зависимость между магнитным потоком и намагничивающим током, т.е.
(рис.8.6). Вебер – амперные характеристики часто применяют для анализа сложных магнитных цепей. На рис. 8.6
- поток в ферромагнитном материале,
- поток в воздушном зазоре,
å - результирующий поток.
Вебер-амперные характеристики адекватны гистерезисным
, так как магнитный поток Ф прямо пропорционален магнитной индукции (10.3), а ток намагничивающей катушки I – напряженности магнитного поля Н:
.
Дата добавления: 2015-08-11; просмотров: 1492;
