Методы дифференциации постоянных и переменных издержек
Таблица 2 - Данные для расчета издержек
| Показатели | Объем производства | Разность между максимальными и минимальными величинами | |
| Максимальный | Минимальный | ||
| 1.Уровень производства, тыс. шт. | 13,0 | 7,0 | 6,0 |
| В % | 53,85 | 46,15 | |
| 2.Расходы на электроэнергии, тыс. руб. |
1. Дифференциация издержек методом максимальной и минимальной точки
• из всей совокупности данных выбираются два периода с наибольшим и наименьшим объемом производства (см. табл. 2). В нашем примере это январь и июнь. В январе сумма переменных издержек будет максимальной, а постоянных — минимальной. В июне - наоборот.
• определяется так называемая ставка переменных издержек — это средние переменные издержкив себестоимости единицы продукции:

где Кmax – максимальный объем производства, тыс. шт.;
Kmin, % – минимальный объем производства в процентах к максимальному.

• определяется общая сумма постоянных издержек:

2. Дифференциация издержек графическим (статистическим) методом
Как известно, линия общих издержек определяется уравнением первой степени:
Y = а + bХ,
где Y – общие издержки,
а – уровень постоянных издержек,
b – ставка переменных издержек,
X – объем производства, физических единиц.
Статистический метод основан на использовании корреляционного анализа, хотя сами коэффициенты корреляции не определяются.
На график наносятся все данные о совокупных издержках фирмы. «На глазок» проводится линия общих издержек: точка пересечения с осью издержек показывает уровень постоянных расходов: 2800 тыс. руб.

Рисунок 4 – Уровень постоянных расходов фирмы
Тогда ставка переменных издержек составит:

3. Дифференциация затрат методом наименьших квадратов
Является наиболее точной, так как в ней используются все данные о совокупных издержках и определяются коэффициенты а и b.
Алгоритм определения коэффициентов и результаты расчетов
приведены в таблице 3:
Таблица 3 – Результаты расчета для определения издержек

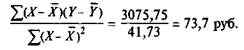
Ставка переменных издержек bравна

Переменные издержки в расчете на среднемесячный объем производства составят (9,8 тыс. руб.* 73,7) = 722,3 тыс. руб. Тогда постоянные издержки составят (3617,5 тыс. руб. – 722,3 тыс. руб.) = 2895,2 тыс. руб.
В аналитической форме общие расходы на электроэнергию можно представить следующим образом:
-По методу максимальной и минимальной точки:
Y= 2755 + 83,4Х
- статистическому методу: Y= 2800 + 83,4X.
- методу наименьших квадратов: Y= 2895,2 + 73,7X.
Дата добавления: 2015-08-11; просмотров: 1241;
