Методы определения численности трудовых ресурсов.
Основным источником информации о численности занятых в экономике являются данные о численности работников, получаемые от организаций. На уровне организации для определения численности работников на конкретную дату или в среднем за период используют показатели списочной средней и среднесписочной численности работников. Их рассчитают по данным табельного или кадрового учёта в организации. Основными унифицированными формами первичной документации по учёту труда и его оплаты являются приказы или распоряжения о приёме на работу, переводе на другую работу, предоставление отпуска, прекращении трудовогодоговора или контракта, соответственно формы № Т-1, Т-5, Т-6, Т-8), личная карточка (форма № Т-2),табель учета использования рабочего времени и расчёта заработной платы (форма №-12), табель учета использования рабочего времени (форма №-13), расчетно - платежная ведомость (форма №-49) и др.
Методы расчета численности трудовых ресурсов:
| Методы расчета численности трудовых ресурсов |
| Демографический (по источникам формирования) |
| Экономический(по фактической занятости) |
| Демографический метод |
| Ѕтр = Sтв – Sин + Sподр + Sпенс где Ѕтр – численность трудовых ресурсов; Sтв – общая численность населения трудоспособного возраста; Sин – численность инвалидов І и II групп в трудоспособном возрасте; Sподр – численность работающих подростков в возрасте до 16 лет; Sпенс – численность работающих пенсионеров |
| Экономический метод |
| Sтр = Sзан + Sдх + Sуч + Sбезраб + Sнезан где Sзан – численность занятого населения, включая занятых в личном, подсобном и фермерском хозяйствах; Sдх – численность трудоспособного населения в трудоспособном возрасте, занятого в домашнем хозяйстве и по уходу за детьми; Sуч – численность учащихся с отрывом от производства в возрасте от 16 лет; Sбезраб – численность безработных; Sнезан – численность остальных незанятых лиц в трудоспособном возрасте |
| Экономический метод |
Демографический и экономический методы в целом по стране дают одинаковые результаты. Однако на региональном уровне вследствие миграции численность трудовых ресурсов может различаться.
Списочная численность работников - это моментный показатель, определенный на конкретную дату. В неё входят наемные работники, работавшие по трудовому договору (контракту), а также собственники организации, работавшие в ней и получавшие заработную плату.
Списочная численность работников (Sсп) за каждый календарный день cостоит из явившихся на работу (Sяв) и отсутствующих по каким - либо причинам (Sнеяв)
Sсп. =Sяв. + Sнеяв
В списочную численность целыми единицами включаются работники:
1) фактически явившиеся на работу, включая и тех, которые не работали по причине простоя, а также надомники, принятые на неполный рабочий день или неполную ставку в соответствии с трудовым договором, работающие на предприятии иностранцев.
2) не явившиеся на работу по следующим причинам: из-за отпуска (ежегодного, дополнительного, по беременности и родам, уходу за ребёнком, учебного, без сохранения зарплаты по семейным обязанностям или инициативе администрации), дня отдыха за раннее отработанное время, болезни, выполнения государственных обязанностей, забастовки, прогула, нахождения под следствием: до решения суда, а также обучения с отрывом от производства, если в данной организации за работой сохраняется зарплата, командировки и временной работы в других организациях.
Для того, чтобы в обобщающих показателях в численности работников по экономике в целом не возникало повторного счета одних и тех же людей, не включаются в списочную численность работники:
1) принятые на работу по совместительству из других организаций;
2) выполнявшие работу по договорам гражданско - правового характера;
3) привлечённые для работы в организации согласно специальном договорам с государственными организациями на предоставление рабочей силы (военнослужащие и лица, отбывающие наказание виде лишения свободы);
4) направленные на работу в другую организацию, если за ними не
сохраняется заработная плата;
5) направленные организацией обучение в образовательные учреждения с отрывом от работы и получающие стипендию за счёт средств этих организаций;
6) подавшие заявление об увольнении и прекратившие работу до истечения срока предупреждения или без предупреждения администрации; Они исключаются из списочной численности у работников с первого дня невыхода на работу;
7) не работающие собственники данной организации.
На основе данных о списочной численности работников вычисляют
показатель среднесписочной численности работников за период (месяц, квартал, год).
Среднесписочная численность работников за месяц вычисляется как отношение суммы списочной численности работников (Тсп)за все календарные дни месяца деленный на их число календарных дней месяца(Дкал) В выходные и праздничные дни она принимается равной списочной численности работников за предшествующий рабочий день:
;
Во избежание искажений при использовании показателя среднесписочной численности в расчётах других экономических показателей некоторые категории работников списочной численности не включаются в среднесписочную. К ним относятся:
1) женщины, находящиеся в отпусках по беременности и родом или в дополнительном отпуске по уходу за ребёнком;
2) работники, обучающиеся в образовательных учреждениях и находившиеся в дополнительном отпуске без сохранения заработной платы;
3) лица, не состоящие в списочном составе и привлечённые для работы по специальным договорам с государственными организациями на предоставление рабочей силы;
4) лица, работавшие неполное рабочее время в соответствии с трудовым договором; они учитываются пропорционально отработанному времени. Среднесписочная численность работников за период более 1 месяца определяют по формуле средней арифметической простой из среднемесячных данных:
Среднесписочная численность работников за отчётный месяц может быть получена делением количество явок и неявок за весь месяц на число календарных дней месяца:

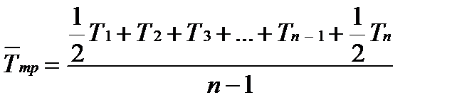
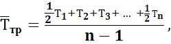
На основе моментных показателей списочной численности работников на начало (конец) каждого месяца среднесписочная численность работников может быть определена по формуле средней хронологической:
где Т1 , Т2, ...Тn - списочная численность работников на начало (конец) месяца;
n - число месяцев в периоде.
Расчёт средней численности внешних совместителей производится в следующем порядке:
1. определяют общее количество человека в дней(Дф), отработанных совместителями, для чего общее число отработанных человеко-часов(Чф). В отчётном периоде делят на установленную продолжительность рабочего дня часах(Чн):
Дср=
;
2. находят среднюю численность совместителей(
)за отчётный период, для чего число отработанных человеко-дней (Дф) делят на число рабочих
календарных дней в отчётном месяце (Дкал):

Показатели численности и содержание показателя
Таблица 11
| Показатель | Методика расчета и содержание показателя |
| Среднегодовая численность трудовых ресурсов | А) по имеющимся данным на начало и конец года:
где Тн.г.-численность трудовых ресурсов на начало года; Тк.г.- численность трудовых ресурсов на конец года;
Б) для моментного ряда динамики с не равноотстоящими интервалами:
где – численность трудовых ресурсов на определенные даты;
t – длительность i-го периода времени;
В) на определенную дату за равные периоды времени:
где n – число уровней (дат); Т1…n – численность трудовых ресурсов на определенную дату.
|
| Коэффициент «пенсионной» нагрузки | 1) Определяется по формуле:
где – численность лиц пенсионного возраста (женщин старше 55 лет и мужчин стастарше 60 лет).
Показывает, сколько человек в возрасте старше трудоспособного приходится в расчете на каждую 1000 лиц трудоспособного возраста. Свидетельствует о степени нагрузки пенсионеров на трудовые ресурсы
|
| Продолжение таблицы 11 | |
| Коэффициент общей нагрузки | 1) Определяется по формуле:
где – численность детей до 15 лет и лиц пенсионного возраста.
Показывает, сколько человек в нетрудоспособных возрастах (моложе и старше трудоспособного вместе) приходится в расчете на каждую 1000 лиц трудоспособного возраста.
|
Численность населения в трудоспособном возрасте для более подробного анализа и оценки подразделяют по составу на лиц моложе 40 лет (молодые) и лиц старше 40 лет (старшие).
В статистической практике осуществляется разработка сведений по труду по основным и неосновным видам деятельности обслуживающим и прочим хозяйствам) организации. К персоналу основного вида деятельности относятся все работники организации включая административный и технический персонал, кроме работников структурных подразделений других (в отличие от основного) видов деятельности, находящихся на балансе организации.
Численность работников предприятия постоянно изменяется. Работники поступают на работу и увольняются с нее под влиянием разнообразных причин. Это могут быть личные обстоятельства, инициатива администрации, следствие кадровой и экономически политики предприятия. Движение работников за отчетный период может быть представлено в виде баланса: списочная численность работников на начало отчетного периода плюс численность принятых за отчетный период минус численность выбывших за отчетный период равняется списочной численности работников на конец от четного периода.
В число принятых и выбывших работников списочного состав не включаются:
а) работники, привлеченные на работу по специальным договорам с государственными организациями (военнослужащие и лица, отбывающие наказание в виде лишения свободы);
б) внешние совместители;
в) работники, выполнявшие работу по договорам гражданско-правового характера.
Статистика изучает общий объем движения численности работников и причины, влияющие на него. С этой целью рассчитывают абсолютные и относительные показатели движения трудовых ресурсов.
1. Абсолютные показатели.
1.1. Оборот по приему — общая численность принятых на работу за период по всем причинам. Из общей численности выделяются принятые по направлению служб занятости и трудоустройства граждан, инициативе самого предприятия, переводу с других предприятий, после окончания вузов и средних специальных заведений.
1.2. Оборот по выбытию - общая численность уволенных за период по всем причинам. Отдельно выделяются уволенные в связи: с призывом в армию, поступлением в учебные заведения с отрывом от производства, переводом на другие предприятия, окончанием срока договора найма, выходом на пенсию, смертью работника, сокращением штатов, собственным желанием работника, прогулами и другими нарушениями трудовой дисциплины.
Выделяют излишний и необходимый оборот рабочей силы. Излишний оборот, называемый также текучестью кадров, включает увольнения по собственному желанию и за нарушения трудовой дисциплины. Необходимый оборот, характеризует увольнения по всем остальным причинам.
1.3. Общий оборот рабочей силы — сумма оборотов по приему И выбытию, т.е. сумма численности принятых и уволенных за период.
2. Относительные показатели, характеризующие, интенсивность движения трудовых ресурсов за определенный период.
2.1. Коэффициент оборота по приему — отношение числа принятых на работу (Sпр) к среднесписочной численности:
1.2. Коэффициент оборота по выбытию — отношение числа уволенных (Sув) к среднесписочной численности:

2.3. Коэффициент текучести — отношение числа уволенных по собственному желанию и в связи с нарушениями трудовой дисциплины (Sтек) к среднесписочной численности работников:

1.3. Коэффициент восполнения работников — отношение числа принятых и уволенных:

2.5. Коэффициент постоянства состава — отношение числа работников, проработавших за период (Sпост ),к списочной численности работников на конец периода:

Вместе с данными о движении работников предприятия в органы статистики представляют сведения о высвобождении и приеме работников, а также о сокращении и введении рабочих мест.
Дата добавления: 2015-08-11; просмотров: 2195;

где Тн.г.-численность трудовых ресурсов на начало года; Тк.г.- численность трудовых ресурсов на конец года;
Б) для моментного ряда динамики с не равноотстоящими интервалами:
где
– численность трудовых ресурсов на определенные даты;
t – длительность i-го периода времени;
В) на определенную дату за равные периоды времени:
где n – число уровней (дат); Т1…n – численность трудовых ресурсов на определенную дату.
где
– численность лиц пенсионного возраста (женщин старше 55 лет и мужчин стастарше 60 лет).
Показывает, сколько человек в возрасте старше трудоспособного приходится в расчете на каждую 1000 лиц трудоспособного возраста. Свидетельствует о степени нагрузки пенсионеров на трудовые ресурсы
где
– численность детей до 15 лет и лиц пенсионного возраста.
Показывает, сколько человек в нетрудоспособных возрастах (моложе и старше трудоспособного вместе) приходится в расчете на каждую 1000 лиц трудоспособного возраста.