Установившийся режим нагрева
Процесс нагрева считается установившимся, если с течением времени температура аппарата и его частей не изменяется.
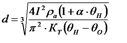
а) Расчёт сечения неизолированного проводника. Сопротивление круглого проводника

где:
ρ.- удельное сопротивление материала при 0°С;
d - диаметр проводника;
l - его длина;
α - температурный коэффициент сопротивления;
- допустимая температура в номинальном режиме.
,
где
- удельный обобщенный коэффициент теплоотдачи.
Выбирая диаметр с некоторым запасом, рассчитываем коэффициент добавочных потерь
и окончательную проверку

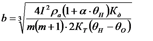
для проводников прямоугольного сечения (шин)

где а и b - стороны сечения.
Из конструктивных соображений и из условий механической прочности задаются соотношением
(в пределах 3 – 10) и

Определив затем а, находят
и проводят проверку с учетом этого коэффициента.
б) Нагрев изолированных токоведущих частей. Результирующее тепловое сопротивление

где:
- температура поверхности проводника;
- температура окружающей среды;
- тепловой поток в единицу времени через боковую поверхность;
- тепловое сопротивление изоляции;
- тепловое сопротивление перехода от наружной стенки к окружающей среде;
D - диаметр изоляции;
λ - удельная теплопроводность изоляционного материала.
Дата добавления: 2015-08-11; просмотров: 1265;
