Нагрев аппаратов в переходных режимах
Процесс нагрева и охлаждения аппаратов описывается уравнениями энергетического баланса.
Различают кратковременный режим работы, перемежающийся и повторно-кратковременный.
а) Нагрев при кратковременном режиме работы. Кратковременный - режим работы аппарата, когда при включении температура его не достигает установившейся.
Время
,
где:
Т - время, в течение которого тело нагрелось бы до установившейся температуры при условии отсутствия отдачи тепла в окружающую среду;
- допустимое значение температуры токоведущих частей;
- установившееся значение превышения температуры при
токе допустимом кратковременного режима
;
; 
Для характеристики кратковременного режима вводится понятие коэффициента перегрузки
.
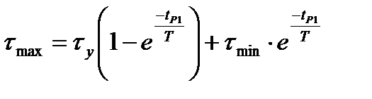
б) Перемежающийся и повторно-кратковременный режимы работы. Наиболее общим является перемежающийся режим, когда после кратковременного нагрева аппарата величина тока падает и температура его снижается.
По прошествии некоторого времени максимальные превышения температуры
и минимальные превышения
соседних циклов станут одинаковыми.
,
где
- время первого цикла установившегося тока 


Частным случаем перемежающегося режима является повторно-кратковременный режим, при котором
, 

Для характеристики повторно-кратковременного режима вводится понятие - продолжительность включения ПВ или ПВ%:

где
- время цикла
.
С учетом коэффициента перегрузки по току
.
Дата добавления: 2015-08-11; просмотров: 1600;
