Занятие №38. Задачи, приводящие к дифференциальным уравнениям
№1. Записать уравнение кривой, проходящей через точку
и обладающей следующим свойством: площадь треугольника, образованного радиус–вектором любой точки кривой, касательной в этой точке и осью абсцисс, равна 2.
Примечание: Сделаем чертеж (рис. 80).

Рис. 80
Из рисунка видно,

Из треугольника
получаем
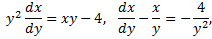
Подставляя в последнее равенство выражения для
и
, приходим к дифференциальному уравнению

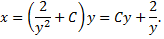
т.е. получили уравнение первого порядка, линейное относительно функции
Решаем его с помощью подстановки
Имеем
Искомая кривая проходит через точку
поэтому
Следовательно, ее уравнение
т.е. данная кривая гипербола.
№2. Записать уравнение кривой, если известно, что точка пересечения любой касательной к кривой с осью абсцисс одинаково удалена от точки касания и от начала координат.
Примечание:
№3. Записать уравнение кривой, если известно, что расстояние от любой касательной до начала координат равно абсциссе точки касания.
Примечание:
№4. Записать уравнение кривой, проходящей через точку
и обладающей следующим свойством: длина отрезка, отсекаемого на оси ординат любой касательной, равна утроенной абсциссе точки касания.
Примечание:
№5. Записать уравнение кривой, проходящей через точку
и обладающей следующим свойством: отношение ординаты любой ее точки к абсциссе этой точки пропорционально угловому коэффициенту касательной к искомой кривой, проведенной в той же точке. Коэффициент пропорциональности равен 3.
Примечание:
Дата добавления: 2015-08-11; просмотров: 2979;
