Вопрос. Химические свойства и показатели жиров
К основным химическим свойствам жиров можно отнести их разложение водой в кислой среде(гидролиз),омыление щелочами(щелочной гидролиз),разрушение аммиаком(аммонолиз),разрушение аминами(аминолиз),переэтерификацию спиртами (алкоголиз),кислотами(ацидолиз),а также реакции, связанные с наличием ненасыщенных связей(гидрогенизация, взаимодействие с галогенами, окисление, полимеризация).
1. Гидролиз жиров в кислой средеприводит к образованию глицерина и набора жирных кислот, по которому судят о сорте жира, его аутентичности декларируемому продукту:
2. Щелочной гидролиз жиров:

Щелочной катализ применяют в процессах мыловарения при наличии в жирнокислотных цепях гидроксильных групп.
Скорости ферментативного гидролиза α- и β-сложноэфирных групп (концевых и центральных) ферментом панкреатической липазой различны, что используют для установления строения триглицеридов. Ферментативный гидролиз – липолиз.
3. Алкоголиз жиров:

Алкоголиз (разрушение спиртами) жиров, в частности метанолиз, используется как первая ступень непрерывного метода мыловарения. Кроме того, получение метиловых или этиловых эфиров жирных кислот в результате алкоголиза применяют для газохроматографического контроля жирнокислотного состава.
4. Глицеролиз жировдействием глицерина:

Глицеролиз применяют для получения моно- и диглицеридов, используемых в качестве эмульгаторов.
5. Ацидолиз жиров:

Ацидолиз, например, кокосового жира с последующей этерификацией избытка уксусной кислоты глицерином, приводит к образованию смеси, состоящей из лауроилдиацетина, миристоилдиацетина и других смешанных триглицеридов, применяемой в качестве мягчителя нитроцеллюлозы. Большое практическое значение имеет реакция двойного обмена ацильными радикалами в триглицеридах (переэтерификация), протекающая как внутри-, так и межмолекулярно, и приводящая к перераспределению остатков жирных кислот.
6. Внутримолекулярная переэтерификация жиров:
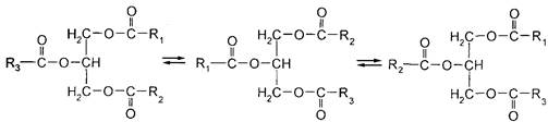
7. Межмолекулярная переэтерификация жиров в однофазной жидкой системе (ненаправленная переэтерификация) приводит к статистическому перераспределению кислотных остатков в образующейся смеси триглицеридов. Направленная (многофазная) переэтерификация осуществляется при такой температуре, при которой высокоплавкие триглицериды находятся в твердом, а низкоплавкие - в жидком состоянии. При направленной переэтерификации отдельные жировые фазы обогащаются наиболее высокоплавкими и наиболее низкоплавкими триглицеридами. Ненаправленная и особенно направленная переэтерификация натуральных жиров используется для изменения их физических свойств - температуры плавления, застывания, пластичности, вязкости жиров. Ниже приведена схема реакций переэтерификации:


8. Большое значение имеет восстановление (гидрогенизация жиров):
9. Изомеризация цис-непредельных ацильных остатков триглицеридов и высших жирных ненасыщенных кислот также относится к важнейшим реакциям.
Изомеризацию цис-изомеров ненасыщенных кислот в транс-изомеры (элаидирование, т. е. образование элаидиновой кислоты из олеиновой) проводят при 100-200°С в присутствии таких катализаторов как Ni, Se, оксиды N, S:

При производстве маргаринов за счет частичной гидрогенизации, напротив, стараются подобрать условия, при которых реакция элаидирования подавляется, так как большое количество транс-изомеров нежелательно для пищевых жиров.
Гидрогенизация жировосуществляется в промышленности с целью снижения ненасыщенности жирных кислот, входящих в состав триглицеридов растительных масел (подсолнечного, соевого, хлопкового) и жиров морских животных. Процесс сопровождается реакциями:
1. гидрированием полиненасыщенных кислот, например, линолевой, до мононенасыщенной олеиновой и последней - до насыщенной стеариновой;
2. изомеризацией, например, превращением олеиновой кислоты (цис-изомер) в элаидиновую (транс-изомер), а также миграцией двойной связи, приводящей к образованию изоолеиновых кислот;
3. гидролизом глицеридов до свободных жирных кислот и их взаимодействием с каталитическими металлами или их солями с образованием мыл.
Продукты гидрогенизации жиров (саломасы) представляют собой смеси твердых триглицеридов насыщенных и ненасыщенных жирных кислот, в основном С16-С18.
Порчей пищевых жировназывают такое изменение их свойств, в результате которого их невозможно использовать на пищевые цели. Порча жиров вызывается накоплением в них низкомолекулярных соединений, пероксидов, альдегидов, свободных жирных кислот, кетонов и др., что ведет к резкому ухудшению вкусовых свойств продукта. Порча жиров обусловлена гидролитическими или окислительными процессами либо их сочетанием.
1. Гидролитические процессы. Гидролиз протекает во влажных жирах, содержащих такие катализаторы, как липаза, фосфолипаза, сильные органические и неорганические кислоты, а также в результате деятельности микроорганизмов. Гидролиз жиров ведет к накоплению свободных жирных кислот, что выражается ростом кислотного числа. С накоплением низкомолекулярных кислот (масляной, валериановой, капроновой) появляются неприятные специфические вкус и запах.
2. Окисление жиров. Окисление жиров атмосферным кислородом приводит к их порче и способствует окислительной полимеризации (высыханию). В процессе окисления жиров параллельно с различной скоростью и различными механизмами протекает ряд реакций. При этом в первую очередь окислению подвергаются ненасыщенные жирные кислоты глицеридов, механизм которого рассматривается с позиций теории автоокисления.
Основным процессом окисления жиров кислородом воздуха является радикальная цепная реакция, включающая последовательные стадии инициирования (зарождения), развития и обрыва цепи.
Для предотвращения и замедления окислительных реакций в жиры вводят антиокислители (антиоксиданты): бутил-гидроксианизол (БОА), бутил-гидрокситолуол (БОТ), эфиры галловой кислоты и др. Действие антиокислителей основано на их способности обрывать цепь окисления. Вещества, усиливающие активность или продолжительность действия антиокислителей, называют синергистами.
Прогорканиежиров, проявляющееся в появлении специфического запаха и неприятного вкуса, вызвано образованием низкомолекулярных карбонильных соединений. Различают два вида прогоркания - биохимическое и химическое.
Биохимическое прогоркание характерно для жиров, содержащих значительное количество воды и примеси белков и углеводов (например, для коровьего молочного жира в виде сливочного масла). Под воздействием содержащихся в белках ферментов (липаз) происходит гидролиз жиров и образование свободных жирных кислот.
Химическое прогоркание - результат окисления жиров под действием О2 воздуха (автоокисление). Для жиров, в которых преобладают насыщенные жирные кислоты, характерно образование кетонов (кетонное прогоркание), а для жиров с высоким содержанием ненасыщенных кислот - альдегидное прогоркание.
Осаливание жировпроисходит при резком повышении температуры плавления и твердости жиров. Этот процесс связан с накоплением в жирах главным образом гидрокси- полигидрокси-, эпоксисоединений. Процесс осаливания ускоряется с повышением температуры и под воздействием прямого солнечного света. Осаленные жиры имеют запах стеариновой свечи. Порча жира сопровождается изменением не только глицеридов, но и сопутствующих веществ. Порча жира сопровождается реакциями деструкции и полимеризации.
Образование штаффа. На поверхности сливочного масла или маргарина образуется полупрозрачный темноватый слой - штафф, имеющий своеобразный запах и неприятный горьковатый вкус, в результате одновременного протекания окислительных, гидролитических, микробиологических и физических процессов.
Высыхание жиров. Это способность жидких, в основном растительных, масел полимеризоваться в присутствии кислорода воздуха.
Дата добавления: 2015-08-08; просмотров: 2294;
