Программное обеспечение 8 страница
| для фона слайда применена градиентная заливка | ||
| для фона слайда применена текстурная заливка | |||
| на слайде отсутствуют нестандартные символы | |||
| на слайде отсутствует колонтитул |
7. С помощью команды Вставка – Символ на следующий слайд:
вставлен объект …
| знак авторского права | |
| дата и время | ||
| фигурная стрелка | ||
| маркеры списков |
8. В приведенном окне пользователь выбирает …

| эффект перехода при смене слайдов | |
| звук перехода при смене слайдов | ||
| скорость перехода при смене слайдов | ||
| шаблон презентации |
9.С помощью приведенного на рисунке окна можно …

| настроить переход от слайда к слайду | |
| применить к презентации одну из стандартных тем оформления | ||
| выбрать шаблон презентации | ||
| настроить анимацию объектов слайда |
10.
Режим структуры работы с презентацией позволяет …

| вводить новый текст на слайде или редактировать существующий | ||
| назначать эффекты перехода от слайда к слайду | |||
| изменять цветовую схему слайда | |||
| изменять общий дизайн презентации |
11. Расширением имени файла, созданного в графическом редакторе Paint, является …
| .bmp | |
| .cdr | ||
| .ppt | ||
| .psd |
Программирование
1. Объектом объектно-ориентированного программирования называется …
| совокупность переменных состояния и связанных с ними методов (операций) | |
| группа данных и методов (функций) для работы с этими данными | ||
| функция или процедура, выполняющие определенные действия | ||
| характеристика, назначенная элементу класса |
2. В технологической цепочке решения задач на ЭВМ
отсутствует пункт …
| отладка и тестирование программы | |
| определение данных и требуемых результатов | ||
| графическое описание процесса | ||
| ввод и редактирование программы |
3. При решении задачи на компьютере на этапе программирования не выполняется…
| синтаксическая отладка | |
| выбор языка программирования | ||
| уточнение способов организации данных | ||
| запись алгоритма на языке программирования |
4. Для объектно-ориентированной технологии программирования верно утверждение, что …
| в качестве основных элементов программы используются классы и объекты | |
| внутреннее описание класса (реализация) описывает абстракцию поведения всех объектов данного класса, но скрывает особенности поведения объекта | ||
| в качестве основных элементов программы используются процедуры, реализующие некоторые алгоритмы | ||
| внешнее описание класса (интерфейс) отражает структуру объекта |
5. При решении задачи на компьютере на этапе отладки программы не выполняется…
| запись алгоритма на языке программирования | |
| трансляция исходного текста программы | ||
| тестирование программы | ||
| компоновка программы |
6. Операторы присваивания в языках программирования …
| задают значения переменных | ||
| меняют значения констант | |||
| вводят значения переменных | |||
| определяют внутреннее представление данных в памяти компьютера |
7. Верным является утверждение, что …
| понятие «транслятор» является более общим по сравнению с понятием «компилятор» | ||
| понятия «транслятор» и «компилятор» являются синонимами | |||
| понятие «компилятор» является более общим по сравнению с понятием «транслятор» | |||
| понятия «транслятор» и «компилятор» независимы друг от друга |
8. Объектом объектно-ориентированного программирования называется …
| совокупность переменных состояния и связанных с ними методов (операций) | |
| группа данных и методов (функций) для работы с этими данными | ||
| функция или процедура, выполняющие определенные действия | ||
| характеристика, назначенная элементу класса |
9. Преобразование всей программы, представленной на одном из языков программирования, в машинные коды называется …
| компиляцией | ||
| интерпретацией | |||
| компоновкой | |||
| генерацией кода |
10. Для объектно-ориентированной технологии программирования верно утверждение, что …
| классы образуют иерархию на принципах наследования | |
| в качестве основных элементов программы используются процедуры, реализующие некоторые алгоритмы | ||
| поведение объектов одного класса очень различается | ||
| внешнее описание класса (интерфейс) отражает структуру объекта |
Решение:
Объектно-ориентированное программирование (ООП) – это технология программирования, которая основана на представлении программы в виде совокупности объектов, каждый из которых является реализацией определенного класса, а классы образуют иерархию на принципах наследования.
Объектно-ориентированное программирование использует в качестве элементов конструкции классы и объекты, а не алгоритмы.
Идея классов является основой ООП и отражает строение объектов реального мира, поскольку каждый предмет или процесс обладает набором характеристик или отличительных черт, иными словами, свойствами и поведением.
Класс – описание множества объектов, связанных общностью структуры и поведением. Существует явное разделение внешнего и внутреннего описания класса (интерфейса и реализации). Интерфейс отражает внешнее поведение объекта, описывая абстракцию поведения всех объектов данного класса, но скрывает структуру и несущественные детали. Реализация составляет его внутреннее проявление и определяет особенности поведения.
Объект представляет собой особый опознаваемый предмет или сущность (реальную или абстрактную), имеющие четко определенное функциональное назначение в данной предметной области. Структура и поведение одинаковых объектов описываются в общем для них классе.
В ООП конкретные величины типа данных «класс» называются экземплярами класса, или объектами. Объекты взаимодействуют между собой, посылая и получая сообщения. Сообщение – это запрос на выполнение действия, содержащий набор необходимых параметров. Механизм сообщений реализуется с помощью вызова соответствующих функций или методов классов.
Основными принципами или свойствами ООП являются инкапсуляция, наследование и полиморфизм.
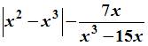
11. Выражению
соответствует следующее арифметическое выражение на языке программирования (операция возведения в степень обозначена символом «^») …
|
| ||
| |||
| |||
|
12. Язык программирования АДА, который, в частности, был использован при разработке комплекса пилотажно-навигационного оборудования для российского самолета-амфибии Бе-200, был создан в _________ году.
| |||
13. Одно из основополагающих понятий объектно-ориентированного программирования «инкапсуляция» означает …
| объединение в единое целое данных и алгоритмов обработки этих данных | ||
| свойство различных объектов выполнять одно и то же действие разными способами | |||
| способность объекта сохранять свойства и методы класса-родителя | |||
| заключение в отдельный модуль всех процедур работы с объектом |
14. Для объектно-ориентированной технологии программирования верно утверждение, что наследование – это …
| способность объекта сохранять свойства и методы класса-родителя | ||
| сокрытие информации и комбинирование данных и методов внутри объекта | |||
| возможность задания в иерархии объектов различных действий в методе с одним именем | |||
| заключение в отдельный модуль процедур работы с объектом |
15. В технологической цепочке решения задач на ЭВМ
отсутствует пункт …
| математическая формализация | ||
| определение данных и требуемых результатов | |||
| графическое описание процесса | |||
| ввод и редактирование программы |
16. Язык BASIC был создан для …
| обучения программированию | ||
| выполнения научно-технических расчетов | |||
| замены Ассемблера | |||
| выполнения экономических расчетов |
17. Языком логического программирования является …
| PROLOG | ||
| LISP | |||
| PASCAL | |||
| C++ |
18. В объектно-ориентированном программировании определенный пользователем тип данных, который обладает внутренними данными и методами для работы с ними в форме процедур или функций, называется …
| классом | ||
| атрибутом | |||
| полем | |||
| свойством |
Дата добавления: 2015-08-01; просмотров: 1282;
