Программное обеспечение 3 страница
| графом | ||
| таблицей | |||
| текстом | |||
| формулой |
10. В состав мультимедиа-компьютера обязательно входит …
| CD-ROM-дисковод | ||
| проекционная панель | |||
| модем | |||
| сетевая карта |
11. Такие параметры, как разрешающая способность и производительность, характерны для …
| планшетных сканеров | ||
| лазерных принтеров | ||
| сенсорных экранов | |||
| TFT-мониторов |
13. Печатающие устройства используют ________-модель представления цвета.
| CMYK | ||
| JPEG | |||
| BMP | |||
| PSD |
14. К основным параметрам планшетных сканеров относятся …
| разрешающая способность | ||
| динамический диапазон | ||
| количество сопел | |||
| объем буфера данных |
Word
1. В текстовом редакторе MS Word фрагмент текста
преобразован в таблицу с использованием в качестве разделителя символа «;». Третий столбец полученной таблицы имеет вид …
|
|
2. Следующий фрагмент текста является …

| многоуровневым списком | |
| иерархическим списком | ||
| структурированным списком | ||
| оглавлением |
3. В текстовом процессоре MS Word набран текст.
После выполнения слева направо последовательности команд:
Выделить слово. Вырезать. Выделить слово. Вырезать.Выделить слово. Вырезать.Выделить слово. Вырезать. Вставить.Вставить.Вставить.Вставить.
текст примет вид …
|
| ||
| |||
| |||
|
4. Имеется таблица из 4 строк и 5 столбцов, созданная в MS Word. После выделения 3-го и 4-го столбцов выполнена команда Объединить ячейки. Затем выделены первая и вторая ячейки первого столбца и выполнена команда:
.
Новая таблица будет содержать _____ ячеек.
| |||
5. Колонтитул представляет собой …

| повторяющиеся на каждой странице текстового документа данные | ||
| заголовок текстового документа | |||
| первую страницу текстового документа | |||
| первую главу текстового документа |
6.В документе отображаются точки вместо пробелов, стрелки вместо табуляции, а также другие неожиданные знаки. Эти символы становятся видны на экране, если в MS Word включен режим …

| отображения скрытых символов форматирования | ||
| структуры документа | |||
| перекрестных ссылок | |||
| рецензирования документа |
7. Дан набранный в текстовом редакторе MS Word фрагмент текста:
Если в приведенной ситуации нажать кнопку
, то изменения затронут …
| весь абзац | ||
| только выделенное слово | |||
| строку с выделенным словом | |||
| весь текст |
8. В текстовом редакторе MS Word набран текст с ошибками (выделены полужирным курсивом):
Команда «Найти и заменить все» для исправления всех ошибок может иметь вид …
| найти ЕСНЫ, заменить на ЕСТНЫ | |
| найти ЕС, заменить на ЕСТ | ||
| найти ЕСН, заменить на ЕСТН | ||
| найти СН, заменить на СТН |
Алгоритм
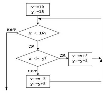
1. Алгоритм задан схемой:
В результате выполнения алгоритма при исходных данных
значение переменной
будет равно …
| ||
2. В данной блок-схеме алгоритмическую конструкциюветвления
задает(-ют) …

| условиеx <= y? | ||
| условиеy < 16? | |||
| условия x <= y?иy < 16? | |||
| ни одно из этих условий |
3. В приведенном ниже фрагменте блок-схемы массив сначала заполняется, а потом изменяется.
В результате все элементы этого массива …
| окажутся равны 1 | |
| сдвигаются на 1 элемент вправо, кроме последнего элемента | ||
| сдвигаются на 1 элемент влево, кроме первого элемента | ||
| окажутся равны своим индексам |
4. Условие n четно ?задает алгоритмическую конструкцию …

| ветвления с обходом вида «если – то» | ||
| цикла с предусловием | |||
| цикла с постусловием | |||
| ветвления вида «если – то – иначе» |
5. Свойство дискретности алгоритма означает, что …
| алгоритм разбивается на ряд отдельных законченных команд (шагов), каждая из которых должна быть выполнена прежде, чем исполнитель перейдет к выполнению следующей | ||
| каждая команда алгоритма должна пониматься исполнителем однозначно – не должно быть двоякого толкования команды | |||
| каждая команда должна входить в систему команд исполнителя | |||
| за конечное число шагов алгоритм должен либо приводить к решению задачи, либо останавливаться из-за невозможности получить решение |
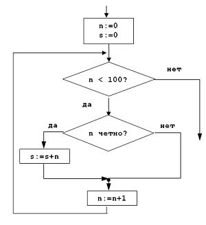
6. В данном алгоритме реализован …

| цикл с известным числом повторений | |
| цикл с предусловием | ||
| цикл с постусловием | ||
| простой цикл с ветвлением |
7. Дана схема алгоритма:
С помощью операции
вычисляют остаток от деления числа a на b, операция
позволяет определить целую часть от деления числа а на b.
В результате выполнения алгоритма при входных данных
значение переменной
будет равно …
| |||
8. Алгоритм задан схемой:
В результате выполнения алгоритма при исходных данных
значение переменной
будет равно …
| –2 | ||
| –1 |
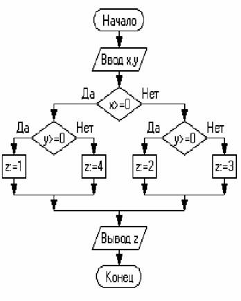
9.Приведенной блок-схеме соответствует фрагмент программы …

| если условие 1 то началооператор 1 оператор 2 оператор 3 конец иначе еслиусловие 2 то оператор 4 иначе оператор 5. |
10. Дана схема алгоритма:
В результате выполнения алгоритма при
значение переменной
будет равно …
| |||
11. Данный алгоритм выполняет …

| циклическое перемещение вправо значений между переменными А, В, С, D по схеме А>В>С>D>А | ||
| циклическое перемещение влево значений между переменными А, В, С, D по схеме А!В!С!D!А | |||
| попарную перестановку значений переменных А 1 В и С 1 D | |||
| попарную перестановку значений переменных А 1 D и С 1 В |
12. Следующие два алгоритма решают …

| одинаковую задачу, но используют разные виды циклов | ||
| разные задачи, но используют одинаковый вид циклов | |||
| разные задачи и используют разные виды циклов | |||
| одинаковую задачу и используют одинаковый вид циклов |
13. Алгоритм задан схемой:
В результате выполнения алгоритма при исходных данных
значение переменной
будет равно …
| |||
14. Приведенная блок-схема реализует алгоритм …

| поиска наибольшего значения из трех заданных чисел | ||
| поиска наименьшего значения из трех заданных чисел | |||
| определения имени переменной, хранящей наибольшее значение | |||
| определения имени переменной, хранящей наименьшее значение |
15. Дана схема алгоритма:
С помощью операции
вычисляют остаток от деления числа a на b, операция
позволяет определить целую часть от деления числа а на b.
В результате выполнения алгоритма при входном значении
значение переменной
будет равно …
| |||
16. Алгоритм задан схемой:
В результате выполнения алгоритма при исходных данных
значение переменной
будет равно …
| |||
17. Конечное значение переменной Y после выполнения последовательности действий
будет равно …
| 2,5 | ||
| 0,5 | |||
| 0,25 | |||
18. Алгоритм задан схемой:
С помощью операции
вычисляют остаток от деления числа a на b, операция
позволяет определить целую часть от деления числа а на b.
В результате выполнения алгоритма при исходном значении
значение переменной
будет равно …
| |||
19. Значение переменной X в результате выполнения следующего алгоритма будет равно …

| 224 | ||
| 22 | |||
| 24 | |||
| 216 |
20. Дана схема алгоритма:
В результате выполнения алгоритма при входном значении
значение переменной
будет равно …
| |||
21. Значение переменной X в результате выполнения следующего алгоритма будет равно …

| 224 | ||
| 22 | |||
| 24 | |||
| 216 |
22. Дана схема алгоритма:
В результате выполнения алгоритма при входном значении
значение переменной
будет равно …
| |||
Базы данных
1. В таблицу базы данных СКЛАД, содержащую 5 столбцов информации о товаре (наименование, поставщик, количество, дата окончания срока хранения, цена), внесена информация о 25 видах товара.
Количество записей в таблице равно …
| ||
2. В СУБД MS Access не существует запрос на _________ данных.
| создание | |
| обновление | ||
| удаление | ||
| добавление |
3. Реляционная база данных задана тремя таблицами.

Поля Код спортсмена, Код дистанции, Дата соревнования, Время, Телефон соответственно должны иметь типы …
| числовой (целое), текстовый, дата/время, числовой (с плавающей точкой), текстовый | ||
| числовой (целое), текстовый, дата/время, числовой (с плавающей точкой), числовой (с плавающей точкой) | |||
| числовой (целое), текстовый, дата, время, текстовый | |||
| числовой (целое), текстовый, дата/время, дата/время, текстовый |
4. Реляционная база данных задана тремя таблицами.
Связи между таблицами могут быть установлены следующим образом: …
| таблицы 1 и 2 связаны через поля Код дистанции, таблицы 1 и 3 связаны через поля Код спортсмена | |
| таблицы 1 и 2 связаны через поля Время и Рекорд, таблицы 1 и 3 связаны через поля Код спортсмена | ||
| таблицы 1 и 2 связаны через поля Код дистанции, таблицы 1 и 3 связаны через поля Код спортсмена и Фамилия | ||
| таблицы 1 и 2 связаны через поля Код дистанции, таблицы 1 и 3 связаны через поля Код спортсмена, таблицы 2 и 3 связаны через поля Код спортсмена и Код дистанции |
5. Для первичного ключа ложно утверждение, что …
| первичный ключ может принимать нулевое значение | |
| в таблице может быть назначен только один первичный ключ | ||
| первичный ключ может быть простым и составным | ||
| первичный ключ однозначно определяет каждую запись в таблице |
6. При закрытии таблицы СУБД MS Access не предлагает выполнить сохранение внесенных данных, потому что данные сохраняются …
Дата добавления: 2015-08-01; просмотров: 5955;
