Особенности анализа хозяйственной деятельности энергопредприятия
В условиях перехода экономики страны на рыночные отношения возросла роль итоговых показателей производственно-хозяйственной деятельности (ППХД) энергетических объединений и их подразделений. Эти показатели можно разделить на следующие группы:
I. Производственные — выработка и полезный отпуск электро-
и теплоэнергии, перетоки электроэнергии, расход энергии на соб
ственные нужды и передачу ее по сетям и т. п.
II. Расхода материалов — топлива, вспомогательных материа
лов, запасных частей для ремонта.
III. Экономические — объем реализованной продукции, себе
стоимость энергии, уровень оплаты труда, прибыль, налоги, на
правления использования прибыли (в бюджет, фонды накопле
ния, потребления, на выплату дивидендов).
IV. Экологические - объемы твердых, жидких и газообразных выбросов в окружающую среду, плата за них.
V. Оценочные — коэффициент эффективности использования рабочей мощности для энергообъединения и рабочая мощность для электростанций.
На основе показателей группы I образуется система балансовых уравнений.
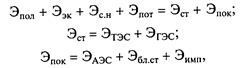
Уравнения баланса электроэнергии имеют следующий вид:

где Эпол — полезное потребление электроэнергии в регионе энергетического объединения; Ээк — передача электроэнергии в соседние энергосистемы (экспорт); Эсн — расход электроэнергии на собственные нужды электростанций; Эпот — потери электроэнергии в сетях; Эст — суммарная выработка электроэнергии на электростанциях энергообъединения; Эпок — покупная электроэнергия от АЭС, блок-станций и импорт от РАО «ЕЭС России»; ЭТЭс — суммарная выработка электроэнергии на ТЭС энергообъединения; ЭГэс — суммарная выработка электроэнергии на ГЭС энергообъединения.
Уравнения баланса теплоэнергии для энергообъединения :

где Qпол — полезный отпуск теплоэнергии потребителям от ТЭС энергообъединения; Qотоп - годовая тепловая отопительная нагрузка; Qвент - годовая тепловая вентиляционная нагрузка; Qвд - годовая тепловая нагрузка непосредственного водоснабжения; Qг.в. - годовая тепловая нагрузка горячего водоснабжения; Qтех - годовая тепловая технологическая нагрузка; Qотп — суммарный годовой отпуск теплоэнергии потребителям от ТЭС энергообъединения; Qi -годовой отпуск теплоэнергии от i-й ТЭС энергообъединения; Qпок — покупная теплоэнергия; Qсеть -годовой отпуск теплоэнергии в сеть; Qпот — потери теплоэнергии при транспортировке по тепловым сетям.
Показатели группы II — расходы материальных ресурсов — в значительной степени зависят от производственной программы
энергопредприятий. Так, расход топлива на тепловой электростанции определяется режимными характеристиками основного оборудования: суммарной выработкой электроэнергии, выработкой электроэнергии по теплофикационному циклу, отпуском теплоты из отборов турбин и пиковых водогрейных котлов или из ре-дукционно-охладительных установок (РОУ). На расход запасных частей для ремонта влияет, прежде всего, техническое состояние оборудования и длительность его эксплуатации.
Показатели группы III базируются на первых двух с добавлением стоимостных характеристик: цен, тарифов, экономических норм и нормативов. Объем реализованной продукции определяется по следующей формуле:

где Эi — потребление электроэнергии и ее оплата i-й группой потребителей; Цэi — цена на электроэнергию по i-й группе потребителей; Qj — потребление теплоэнергии и ее оплата j-й группой потребителей; Цтэj — цена на теплоэнергию по j-й группе потребителей; Vnp — объем прочей реализованной продукции по энергообъединению.
Показатели группы IV связаны с производственными показателями через объемы загрязняющих веществ и потребляемых природных ресурсов, а с экономическими показателями — путем определения платы за выбросы на основе существующих стоимостных нормативов. Эти показатели оказывают влияние на себестоимость (при выбросах в пределах допустимого годового уровня) или на величину чистой прибыли при превышении указанного норматива.
Группа V оценочных показателей используется для расчетов между энергообъединением и генерирующими энергопредприятиями. Эти показатели используются для формирования фондов потребления и являются основными при премировании инженерно-технических работников.
Повышение уровня организации анализа ППХД связано с внедрением ЭВМ и созданием соответствующих АСУ энергообъединения. Это создает предпосылки для перехода к анализу с использованием экономико-математических методов и моделей. Анализ производственно-хозяйственной деятельности является одной из важнейших функций работников управления энергопредприятием. Он заключается в получении достоверной информации о возможных перспективах и состоянии дел на энергетическом предприятии или в энергообъединении. Его целью является выработка оптимальных управленческих решений на основе реализации следующих задач:
оценка выполнения планов;

|
| 1. Анализ выполнения плана по полной себестоимости: |
корректировка планов при изменении условий производства и рыночной ситуации;
поиск резервов увеличения объемов реализованной продукции, прибыли, снижения затрат;
улучшение организации энергетического производства и управления;
учет влияния социально-экономических и экологических факторов.
Анализ ППХД включает в себя следующие этапы:
1) сбор и первоначальная обработка исходной информации,
формирование представительной выборки динамического ряда;
2) выявление и анализ структуры изучаемого показателя;
3) анализ полученного динамического ряда;
4) построение математических моделей;
5) оценка перспектив изменения показателя под воздействием
влияющих внутренних и внешних факторов;
6) разработка выводов и рекомендаций.
Метод цепных подстановок является одним из наиболее распространенных методов экономического анализа. Суть метода заключается в последовательной замене плановых показателей фактическими или показателей предшествующего периода показателями текущего периода. При таком подходе определяется влияние одного из факторов на исследуемый итоговый показатель при фиксированных значениях остальных факторов. По результатам анализа оцениваются наиболее существенные факторы.
Для энергетического предприятия прежде всего анализируется себестоимость энергетической продукции. Задачами анализа себестоимости является: установление причин отклонения фактической себестоимости от плановой, выявление возможностей снижения себестоимости, оценка выполнения плана в целом и по отдельным составляющим. Отклонения уровня фактической себестоимости вызваны количественными и ценностными факторами.
К количественным факторам относятся: колебания объемов отпущенной электро- и теплоэнергии с шин и коллекторов ТЭС, связанные с изменением диспетчерского графика нагрузки и расходом энергии на собственные нужды электростанции; колебания объемов покупной энергии; соотношение удельных расходов топлива на отпуск энергии.
Ценностные факторы влияют на уровень условно-постоянных или условно-переменных расходов и их соотношение. Рассматриваются следующие ценностные факторы: колебания цен на потребляемое топливо и покупную энергию; отклонения фактических условно-постоянных затрат от плановых значений.
Для установления истинных причин изменений себестоимости энергии необходимо провести анализ по всем факторам в следующей последовательности.
где 3ф, Зп — фактические и плановые затраты производства электроэнергии соответственно; Эфпол — фактический полезный отпуск электроэнергии потребителям.
Затем проводится пофакторный анализ себестоимости для выявления причин суммарной экономии (перерасхода).
2. Изучение влияния факторов на топливную составляющую себестоимости:

где bфэ, bПэ— фактический и плановый удельные расходы топлива соответственно; ЦфЭ, ЦПЭ — фактическая и плановая цена топлива для производства энергии соответственно;
а) удельных расходов топлива:

|
| 3. Учет потерь энергии в сетях: |
|
б) цены топлива:
где Эфс — фактический отпуск электроэнергии в сеть; Кфэ, КПэ — фактический и плановый коэффициенты потерь электроэнергии в сетях, %.
|
| а) цены покупной энергии: |
|
4. Изучение влияния факторов на стоимость покупной энергии:
где Цфэ.пок, ЦПэ.пок — фактическая и плановая цена покупной энер-гаи соответственно; Эфэ.пок — фактическое количество покупной энергии;
б) количества покупной энергии. Эта составляющая включает в себя изменение себестоимости за счет отклонения полезного отпуска и изменения собственно количества покупной энергии:

где ЗПэ.пок — плановое количество покупной электроэнергии.
5. Анализ влияния на себестоимость энергообъединения выполнения плана на тепловых электростанциях, входящих в его состав:

|
| а) дополнительного отпуска (недоотпуска) электроэнергии по плановой цене: |
|
| 6. Оценка влияния на себестоимость энергообъединения выполнения плана на гидроэлектростанциях, входящих в его состав: |
|
б) стоимости сэкономленного (неизрасходованного) топлива по плановой цене:
7. Учет изменения условно-постоянной составляющей себестоимости:

где Зфпол, ЗПпол — фактическая и плановая составляющие условно-постоянных затрат на производство электроэнергии.
Анализ себестоимости тепловой энергии проводят аналогично.
Затем анализируют влияние факторов на объем отпущенной энергии, реализованную и товарную продукцию, а также прибыль энергетического объединения. Товарная продукция включает в себя наряду с произведенной энергией предприятиями энергообъединения и покупную энергию, поэтому для дефицитных энергосистем товарная продукция может превышать валовую, отображающую непосредственное производство энергообъединения. Абонентская задолженность входит в состав реализованной продукции.
Анализ может быть построен по следующей схеме. Методом цепных подстановок определяют приращения реализованной продукции в результате изменения количества отпущенной энергии, тарифа, остатков абонентской задолженности.
Изменение объема реализации за счет количественных показателей объема полезно отпущенной электроэнергии определяется по следующей формуле:

Степень влияния на реализованную продукцию изменения остатков абонентской задолженности по электроэнергии определяется по соотношению

где Афэ, АПэ — фактический и плановый остатки абонентской задолженности соответственно.
Влияние отдельных факторов на размер балансовой прибыли можно проанализировать следующим образом.
|
| Влияние на прибыль изменения среднего тарифа определяется по следующей формуле: |
|
| Влияние отклонений себестоимости на прибыль можно охарактеризовать по выражению |
|
Изменение балансовой прибыли от реализации электрической энергии за счет изменения полезного отпуска электроэнергии
где Sфэ, SПэ — соответственно фактическое и плановое значения себестоимости единицы электроэнергии.
Проведение анализа и по этому показателю для тепловой энергии аналогично. Анализ по прибыли может включать в себя ее распределение по направлениям использования: в бюджет, фонды потребления, фонды накопления, страховые и резервные фонды, на выплату дивидендов и т.д.
Контрольные вопросы
1. Какие виды учета используются на энергопредприятиях?
2. В чем состоит отличие цепных и базовых индексов?
3. Каковы отличия задач, решаемых бухгалтерией РАО «ЕЭС России»,
АО-Энерго, электростанции?
4. Какие показатели применяются для анализа производственно-хозяйственной деятельности энергопредприятий?
5. Как проводится анализ ППХД энергопредприятий?
где Эфпол, ЭПпол — количество полезного отпуска электроэнергии в натуральном выражении соответственно фактического и планового; ЦПср — средний плановый тариф (цена) на электрическую энергию.
Изменение тарифа анализируется по формуле

где ЦПср — средний фактический тариф (цена) на электрическую энергию.

|
РАЗДЕЛ III
ФИНАНСОВО-ЭКОНОМИЧЕСКАЯ ЭФФЕКТИВНОСТЬ ИНВЕСТИЦИЙ В ЭНЕРГЕТИКУ
Глава 9 ИНВЕСТИЦИОННЫЕ ПРОЕКТЫ
Дата добавления: 2015-08-01; просмотров: 2969;
