Методы ценообразования. Разработанному стратегическому уровню цены (от высокого до низкого) необходимо придать конкретную количественную характеристику
Разработанному стратегическому уровню цены (от высокого до низкого) необходимо придать конкретную количественную характеристику. Исходный уровень продажной цены устанавливается с помощью одного из методов, которые будут раскрыты далее. Выбор каждого из них осуществляется с учетом рыночных факторов, а также традиций конкретной отрасли. Различаются методы, ориентированные на затраты, спрос, конкурента, а также производные от них методы.
Затратные методы: цена исчисляется как суммаиздержек и наценки на них(прогрессивная калькуляция). Как правило, хозяйственный портфель фирмы состоит из нескольких продуктов, что порождает проблему распределения постоянных издержек между ними. Существуют различные схемы установления продажной цены на каждый товар:
1) калькуляция на базе полных затрат - общие затраты Zo6in распределяются между продуктами в виде процентной надбавки Н к сумме единичных затрат 7ед по всем продуктам:

2) калькуляция на базе частичных затрат - общие затраты делятся по возможности отнесения к продукту, если цена покрывает затраты по производству продукта, то разница является вкладом в покрытие остальных затрат:
В = Zeд + Ппл,
где В- выручка;
Zeд - единичные (или переменные) затраты;
Ппл - покрытие (по плану);
3) метод обеспечения целевой прибыли определяет необходимый уровень цены при заданном размере прибыли с учетом возможного объема производства, взаимосвязи издержек и выручки:
В = Иобщ + Ичастн * Q + Ппл,
где В - выручка;
Иобщ - общие издержки;
Ичастн - частные издержки;
Q - объем производства (в стоимостном выражении);
Ппл - абсолютный размер плановой прибыли.
Методы,ориентированные на спрос: ценообразование учитывает рыночную ситуацию и предпочтения потребителей и базируется на опросах потребителей, экспертных оценках, эксперименте.
Метод опроса потребителей: осуществляется представительная выборка потребителей для опроса с целью выявить представление о правильной цене и потолке возможной цены, реакцию на изменение цен, возможность их дифференцирования. Этот процесс может быть смоделирован.
Выявлены зависимости:
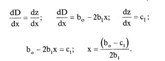
х= ao- aip;
р = bo- b1x;
z = сo + с1x,
D = px = box - b1x2,
где x- объем спроса,
р- цена; z- затраты; D- доход.
Монополист получит максимум дохода в том случае, когда предельный доход равен предельным затратам:

Подставляя значения х в соответствующие уравнения, получим значение оптимума цены и соответствующие характеристики затрат, дохода п прибыли.
Методаукциона, где различаются:
а.) конкуренция потребителей на повышение цены;
б) вайлинг (обратный аукцион) - максимальная цена спускается вниз и первый вызвавшийся получает товар;
в) аукцион с подачей заявок в конвертах.
Метод эксперимента (пробных продаж): в ходе пробного маркетинга цена устанавливается путем перебора разных вариантов цен и наблюдения за реакцией потребителей на небольшие изменения установленной цены, а также путем оптимизации сочетания"выручка - объем продаж". Следует учесть, что применению данного метода предшествует определение приемлемых границ цен.
Параметрический метод, или метод экспертных оценок, основан на сравнении экспертных балльных оценок основных параметров нового (а) и базового (Ь) товара.
Вводится экспертная оценка важности (ранг) каждого i-го параметра

где Wij - ранг важности, выставленный i-му параметру j-м экспертом; m - число экспертов.
Средняя экспертная оценка i-го параметра приобретает следующий вид:

Тогда балльная оценка i-го параметра каждого товара с учетом его важности будет выглядеть следующим образом:

где
- сумма баллов, "набранных" новым товаром.
Методы,ориентированные на конкурентов. К ним относятся:
1) методотслеживания конкурентных цен, который заключается в установлении собственной цены на уровне цены конкурента;
2) методконкурса. Конкурс - вынужденная ценовая конкуренция (ценовая война) продавцов. Его требования: концентрация предложения и обозреваемость рынка. Условия: однородность продукта, возможность его четкого описания и отсутствие информации о предложении конкурентов. Цель: нахождение максимальной собственной цены, меньшей, чем цена конкурента. Эта задача сводится к оценке вероятности продажи товара (получения заказа) при различных ценах. На практике удовлетворяются оценкой вероятности назначения той или иной цены различными конкурентами путем сравнения с предыдущими ситуациями или интуитивно,
Производственные методы:
1) агрегативный метод определяет цену товара, состоящего из деталей (например, люстры), или комплексных изделий (например., мебельного гарнитура) как сумму цен их составляющих. Если несколько товаров имеют общий агрегат (например, миксер - кофемолка), то цена может определяться как сумма цены этого блока и надбавок за наличие отдельных элементов:
2) обратная калькуляция: продажная цена минусскидка равняется затратам. Данная формула служит для контроля реальной или планируемой цены с позиции затрат:
3) калькуляционное выравнивание применяется, если цена, покрывающая затраты, не будет принята рынком или, наоборот, цена спроса не покрывает затрат. Например) пены двух товаров (А и В) не были приняты рынком. Установлено, что эти товары будут пользоваться спросом по цене. ниже пороговой. Тогда, чтобы получить запланированную прибыль, первоначально рассчитанная цена товара В должна быть повышена:
О Aпл * Р Афакг = W Афакт; W Афакт - W Апл=
WA;
W AнBпл -
W AиB = W тpe6 B; W треб В : QВпл = РВрасч,
где ОAпл и QВпл - плановый объем сбыта (продажи) соответственно товаров А и В:
Рафакг и РВрасч - цена товаров А и В соответственно фактическая и расчетная;
W пл- плановая выручка;
W требВ- требуемая выручка:
W - недопокрытие (разрыв между фактической и плановой выручкой).
Принципиально сформированный уровень цены необходимо адаптировать к реальной ситуации конкретного рынка. Для этого используются тактические методы корректировки цен:
а) тактика "убыточных цен на наводящий товар", которая применяется с целью привлечь покупателей: цена одного товара снижена, а других -завышена;
б) "тактика ценовых градаций", т.е. выделение в магазине ценовых зон, предполагающих разные уровни качества;
в)особое выставление цен в сопровождении надписи"по себестоимости" и с изображением молнии;
г) округление и дробление, так как округленные цены потребитель легче воспринимает, а неокругленные и "ломаные", т.е. меньше следующего десятка, создают впечатление дешевизны.
Окончательная цена товара может быть застрахована путем внесения в контракт условий изменения цены (например, в случае изменения на рынке цен на товар или изменения издержек, происшедших после подписания контракта).
Дата добавления: 2015-07-30; просмотров: 673;
