Переваривание и всасывание липидов
В полости рта жиры не подвергаются никаким изменениям, так как слюна не содержит расщепляющих жиры ферментов. Жиры проходят и через желудок без особых изменений у взрослых. Но даже незначительное расщепление триглицеридов в желудке приводит к появлению свободных жирных кислот, которые, не подвергаясь всасыванию в желудке, поступают в кишечник и способствуют там эмульгированию жиров, облегчая воздействие на них липазы панкреатического сока.
У детей в желудке на жиры действует лингвальная липаза, синтезируемая слизистой оболочкой корня языка и примыкающей к нему области глотки. Активность липазы не успевает проявиться в полости рта, и основным местом его воздействия является желудок.
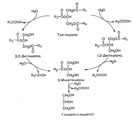
Переваривание жиров происходит главным образом в тонком кишечнике благодаря действию панкреатического фермента – липазы, которая гидролизует в триглицеридах сложноэфирные связи, преимущественно образованные первичными гидроксильными группами глицерина:

В двенадцатиперстной кишке происходит нейтрализация попавшей в кишечник с пищей соляной кислоты желудочного сока бикарбонатами, содержащимися в панкреатическом и кишечных соках. Выделившиеся при разложении бикарбонатов пузырьки углекислого газа способствуют хорошему перемешиванию пищевой кашицы с пищеварительными соками. Одновременно начинается эмульгирование (смешивание жиров с водой). Эмульгированию жиров способствуют как моноглицериды и свободные жирные кислоты, образующиеся в результате расщепления триглицеридов липазой, так и соли желчных кислот.
Желчные кислоты образуются в печени и накапливаются в желчном пузыре, откуда затем поступают в двенадцатиперстную кишку. Они образуются из холестерина, в молекулу которого вводятся гидроксильные и карбоксильные группы.
В желчи человека в основном преобладают холевая кислота; другие кислоты отличаются от нее числом и положением гидроксильных групп. Значительная доля холевой кислоты в желчи представлена в виде ее амидов, образованных глицином (гликохолевая кислота) или его сульфоаналогом – таурином (таурохолевая кислота). Их называют коньюгатами, или парными желчными кислотами, так как они состоят из двух компонентов – холевой кислоты и глицина или таурина:

В панкреатическом соке наряду с липазой содержится также фермент – моноглицеридная изомераза, катализирующая внутримолекулярный перенос ацила из b(2)-положения моноглицерида в a(1)-положение. В процессе переваривания пищевых жиров при участии этого фермента примерно треть b-моноглицерида превращается в a-моноглицерид. Поскольку эфирная связь в a-положении чувствительна к действию панкреатической липазы, последняя расщепляет большую часть a-моноглицеридов до конечных продуктов - глицерина и жирной кислоты. Меньшая часть a-моноглицеридов успевает всосаться в стенку тонкой кишки, минуя воздействие липазы.
Жирные кислоты с короткой углеродной цепью (менее 10 атомов углерода) свободно всасываются в кишечнике. Более сложно происходит всасывание жирных кислот с длинной углеродной цепью и моноглицеридов. Этот процесс осуществляется при участии желчи и главным образом желчных кислот, входящих в ее состав.
В присутствии желчных кислот моноглицериды и жирные кислоты образуют смешанные мицеллы – дископодобные частицы, края которых заполнены молекулами желчных кислот, а более гидрофобная сердцевина образована продуктами расщепления жиров, холестерином и фосфолипидами. Мицелла по размерам гораздо меньше самой маленькой жировой капли. Единого мнения в отношении всасывания жировых мицелл нет. Считается, что продукты переваривания жиров могут проникать в эпителиальные клетки в составе мицелл либо эти мицеллы распадаются на клеточной поверхности, освобождая жирные кислоты и моноглицериды в виде отдельных, легко диффундирующих внутрь клеток молекул. Желчные кислоты также частично всасываются и транспортируются обратно в печень.
Из моноглицеридов и жирных кислот в эпителиальных клетках вновь синтезируются триглицериды. В эпителиальных клетках нейтральные жиры и холестерин собираются в мелкие частицы, называемые хиломикронами. Хиломикроны – сферические частицы, сердцевина которых заполнена гидрофобными молекулами нейтральных жиров и эфиров холестерина (рис. 39).

Рис. 39. Строение хиломикрона
Поверхность хиломикрона формируется молекулами фосфолипидов, холестерина и особыми белками. Главным и необходимым для образования хиломикрона является гликопротеин аполипопротеин В. Гидрофильная оболочка стабилизирует хиломикроны настолько, что они разносятся кровью и лимфой по организму как целые частицы.
Дата добавления: 2015-07-06; просмотров: 2398;
