Методы расчета параметров непосредственно на сетевом графике
Эти методы предусматривают расчет непосредственно на сетевом графике.
В отличие от табличной формы расчета определение всех рабочих параметров сетевого графика выполняется непосредственно на самом графике. Существует несколько способов фиксации расчетных показателей — с изменением графического начертания сети и без него. Рассмотрим некоторые из них на ранее приведенном примере.
1. Четырехсекторный метод расчета параметров сети. Для расчета параметров сетевого графика все кружки (события) делятся на 4 сектора (рис. 3.6). В верхних секторах проставляются коды событий; в левых секторах в процессе расчета записываются наиболее ранние сроки свершения событий
; в правых — наиболее поздние сроки свершения событий
; в нижних секторах можно проставлять календарные даты или резервы свершения событий (Ri)

Рис. 3.6. Сетевой график выполнения ОКР по созданию нового образца
Телевизора
Расчет наиболее ранних сроков свершения событий ведется слева направо, начиная с исходного события, и заканчивается завершающим событием.
Ранний срок свершения исходного события принимается равным нулю (
=0)
Ранний срок свершения j-го события определяется прибавлением продолжительности работы
,ведущей к событию, к раннему сроку предшествующего ему i-го события
. Это при условии, если в j-e событие входит одна работа (например, для события 2
=3+3 = 6). Если событию предшествует несколько работ, то находятся величины ранних сроков выполнения каждой из этих работ и из них выбирается максимальная по абсолютной величине и записывается в левом секторе события
=max
: Например, (
) =3+5=8; (
)=7 + 5 = 12; (
) =9 + 2 = 11 выбирается максимальное значение 12 и записывается в левом секторе события 5.
Таким образом расчет ведется до завершающего события.
Расчет наиболее поздних сроков свершения событий ведется справа налево, начиная с завершающего события и заканчивается исходным.
Поздний срок свершения завершающего события принимается равным раннему сроку этого события (
=
). Например,
=
=30. Это значение записывается в правом секторе завершающего события.
Наиболее поздний срок свершения i-го события определяется как разность между сроком свершений последующего j-го события, записанным в правом секторе, и продолжительностью работы, ведущей из i-го события к j-му. Это значение записывается в правом секторе i-го события, если из этого события выходит одна работа. Если из i-го События выходит несколько работ, то выбирается минимальное значение и записывается в правом секторе i-го события, это и будет поздним сроком свершения i-го события.
Расчет резервов времени на свершение событий. Резерв времени /-го события определяется непосредственно на сетевом графике путем вычитания величины раннего срока свершения i-го события из величины позднего срока свершения i-го
события из величины позднего срока свершения i-го события (Ri=tПi-tpi)
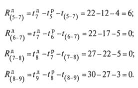
Следует отметить, что все события, которые не имеют резервов времени, лежат на критическом пути, однако этого недостаточно, чтобы выделить Лежащие на критическом пути работы. Например, работа (5—7), у которой и ранние, и поздние сроки свершения событий равны, не лежит на критическом пути. Для выделения критических работ необходимо, чтобы 
Для работы (5-7) 22 - 12 = 10, t(5-7) =4, следовательно, работа имеет резерв и поэтому не является критической. Критический путь пошел по работам (0-1) (1-3), (3-5), (5-6), (6-7), (7-8), (8—9) и его длительность составила 30 недель.
2. Методы расчета сети с использованием квадрата и овала, числителя и знаменателя. Сложность предыдущего способа расчета параметров сетевого графика заключается в необходимости вычерчивать новый сетевой график с кружками большого диаметра и делить их на сектора. Для сетей сравнительно больших объемов работ это занимает много времени. Поэтому большим признанием пользуются методы, позволяющие вести расчет на самом графике, не перечерчивая его. К числу таких методов относится расчет по способу квадрата и овала.
На заданном сетевом графике около каждого события вычерчиваются небольшой квадрат и овал (рис. 3.7).
В квадратах записывают наиболее ранние сроки начала выходящих из данного события работ, в овалах — наиболее поздние сроки. Сначала слева направо заполняют все квадраты, затем справа налево — овалы (аналогично правым и левым секторам). Расчет самих параметров сетевого графика производится так же, как в предыдущем способе. Если по окончании расчета обнаружатся попарно квадраты и овалы с одинаковыми числами, это означает, что события, около которых они расположены, относятся к критическим. Для расчета общих (
) и частных второго вида (
) резервов времени используют следующие формулы:


Рис 3.7. Сетевой график выполнения ОКР по созданию нового образца телевизора
Иногда взамен квадратов и овалов на сетевом графике наиболее ранние и наиболее поздние сроки изображаются в виде дроби, в числителе которой ставят ранние сроки начала работ, выходящих из данного события, а в заменителе — поздние сроки. Сначала проставляют все числители, а затем -~( знаменатели. У событий, лежащих на критическом пути, числители и знаменатели равны между собой.
3. Метод расчета сети с применением масштабного сетевого графика. Сетевые графики часто выполняются в масштабе времени. В этом случае сначала вычерчивается шкала времени с нанесением на нее рабочих и календарных дней. Затем на этой шкале строится масштабный сетевой график. Работы-стрелки изображаются на графике чаще всего горизонтально, и их длина, считая между центрами событий, соответствует установленной продолжительности работ. При наклонном положении стрелки продолжительность работы отсчитывается по проекции стрелки на ось времени.
При вычерчивании сети за основу принимаются работы наибольшей длительности, которые в конечном счете оказываются критическими или подкритическими. Резервы времени изображаются на графике волнистыми линиями, являющимися продолжением сплошных, и их проекция на шкалу времени показывает величину частного резерва времени работы (рис. 3.8). Если график построен по наиболее ранним срокам свершения событий — это частный резерв времени второго вида (рис. 3.8, а), если по наиболее поздним — это частный резерв времени первого вида (рис. 3.8, б).
При данном способе расчет частных резервов времени отпадает.
Критический путь на графике определяется как непрерывная цепь работ от исходного события до завершающего без резервов времени.
Рассмотрим более подробно частные резервы времени второго вида, так как они наиболее широко используются в практической деятельности. Например, известно, что временная оценка работы (2-7) равна 4 недели, а ранние сроки свершения событий
= 6 недель и (
= 22 недели, тогда частный резерв времени второго вида для данной работы составит 12 недель (22-6-4). На графике (рис. 3.8, а) величина этого резерва хорошо прослеживается. Аналогично можно проследить величину частного резерва
времени второго порядка и по всем остальным работам, лежащим на некритическом пути.
Величина этих резервов времени показывает, на сколько может быть увеличена продолжительность выполнения каждой работы, принадлежащей тому или иному пути, или на какую величину может быть передвинуто ее начало. Например, продолжительность выполнения работы (1—5) может быть увеличена на 4 недели или на 4 недели может быть передвинуто ее начало, и это не повлияет на величину критического пути.
Кроме того, величина этих резервов показывает, на какую величину можно сократить продолжительность работ критического пути. Например, работы (5—6) и (6—7) можно сократить на 6 недель, т.е. не больше чем на величину r" (5_7), а работы (1-3) и (3—5) также можно сократить не больше чем на величину r" (4_5). • Сокращение работ критического пути возможно только на величину минимального частного резерва времени второго вида работ, заканчивающихся в событиях критического пути. В противном случае критический путь переместится на другие работы, а продолжительность его может не достигнуть намеченной цели.
Эти качественные стороны параметра являются необходимыми при оптимизации графика как по времени выполнения работ, так и по распределению ресурсов (людских, стоимостных и др.).
На рис. 3.8, б работы связаны с наиболее поздними сроками свершения их событий. Следовательно, резервы времени, которые можно проследить на примере нашего графика, относятся к частным резервам времени первого вида. Их величина отличается от величины частных резервов второго вида.
Например, работа (1-2) имеет резервы
=1 неделя,
=0, работа (2-7) —
=11 недель, а
=12 недель.
На наш взгляд, наиболее приемлемым вариантом построения сетевых графиков на шкале времени является тот, в котором события располагаются по их раннему времени выполнения. В этом случае почти все исходные работы не имеют резервов времени, а все завершающие работы, кроме критических, имеют резервы. Эти резервы, как правило, и предотвращают срыв завершающего события.
На практике, особенно при выполнении проектных работ, при ремонтах оборудования, чаще всего пользуются графиками, события которых расположены по их раннему времени наступления.

а)

б)
Рис. 3.8. Сетевой график выполнения ОКР по созданию нового образца телевизора, построенный по наиболее ранним (а), наиболее поздним (6) и допустимым (в) срокам свершения событий (окончание см. на с. 60)

Рис.3.8. Окончание (начало см. на стр. 58-59)
Однако следует отметить, что и первый и второй варианты построения сетевых графиков не всегда удовлетворяют запросы исполнителей из-за отсутствия резервов времени на большом количестве работ (в первом случае резервы отсутствуют у большинства исходных работ, во втором — у большинства завершающих). Чтобы резервами времени обладало большинство работ и располагались эти резервы равномерно по всему сетевому графику, достаточно пересчитать все резервы времени свершения событий и рассчитать несколько новых параметров, в частности:
• допустимый срок свершения i-го события 
• допустимый резерв времени на свершение i-го события 
• допустимый срок начала (i-j) работы
;
• допустимый срок окончания (i-j) работы 
• допустимый резерв времени (i-j) работы 
Опыт работы с применением сетевых графиков показывает, что допустимый резерв времени свершения событий, равный 40 % полного резерва, вполне достаточен:
=0.4=0.4(
-
) (3.32)
Это равенство применимо для всех событий, кроме критических, для которых
всегда равно нулю. Вместе с тем
=
-
(3.33)
Следовательно
=0.6
+0.4
(3.34)
Соответственно, для значений
;
;
получаем
=
-
(3.35)
=
(3.36)
=
-
-
(3.37)
или
=
-
(3.38)
Расчет визуальной части допустимого резерва времени работ ведется по формуле
=
-
-
(3.39)
Рассчитав эти параметры, сетевой график строят уже по значениям допустимого времени наступления событий
(рис. 3.8, в).
В нашем примере наиболее ранние
и наиболее поздние
сроки свершения событий определены на самом графике (см. рис. 3.6).
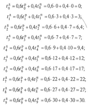
Расчет допустимого срока свершения событий (
)

Наиболее ранние начала
и ранние окончания
работ, а также полный резерв времени
работ были представлены в табл. 3.4.
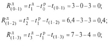
Расчет допустимого резерва времени работ 


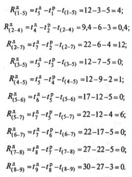
Расчет визуальной части допустимого резерва времени работ:


Как показывает расчет, значение
всех событий, кроме критических, лежит в интервале
<
<
(3.40)
На данном сетевом графике величина резервов времени работ стала иной, чем на сетевых графиках с расположением событий по раннему и позднему сроку свершения событий. Например, произошло распределение резерва, равного одной неделе, между работами (1—2) и (4—5). Исключением является лишь номинальная величина резервов работ, лежащих между критическими событиями. Таким образом, на сетевом графике визуальный резерв времени получают большинство работ некритической зоны, следовательно, их исполнители могут эффективно использовать эти резервы.
Все вышесказанное подчеркивает очевидные преимущества сетевых графиков, выполненных по значениям допустимого времени наступления событий.
Дата добавления: 2016-01-29; просмотров: 2173;
