Линейная структура сайта.
Это самая простая структура сайта. Web-страницы идут одна за другой, и пользователь должен просматривать их как слайд-шоу. В линейной структуре не существует разделения контента на уровни. Все страницы на таких сайтах равноправны, и их должен увидеть каждый посетитель. Несмотря на простоту реализации линейной структуры, недостатков у нее гораздо больше, нежели достоинств. Поэтому область ее применения четко ограничена. Она может использоваться на имиджевых сайтах, сайтах-презентациях и в онлайновых учебных пособиях.
Реализация линейной структуры не представляет собой абсолютно никакой сложности. Самый простой вариант сайта — набор HTML-страниц, с каждой из которых есть ссылка на последующую предыдущую страницу. Но при этом на каждой страницы обязательно должно быть какое-то заглавие и ссылка на первую страницу. Иначе посетители, попавшие в середину сайта, например, с поисковой системы, ничего не поймут и почти наверняка покинут проект разочарованными. Кроме того, очень полезно бывает показывать общее число страниц и как-то выделять номер той из них, на которой человек находится в данный момент. Иначе просмотр проекта превратится для посетителей в путешествие в неизвестность.

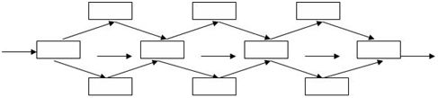
Линейная структура сайта с альтернативами и вариантами.
Основой данной структуры является простое линейное размещение web-страниц. Однако на сайтах, построенных по этому принципу, посетители могут проявить некоторую инициативу, облегчив для себя поиск нужной информации. Под альтернативами в данном случае понимается выбор между двумя ветками. Чаще всего подобная структура используется для сбора информации о посетителе. Примером здесь может служить процесс регистрации клиента на сайте какой-то фирмы, оказывающей определенные услуги. В этом случае все люди начинают работу со стартовой страницы. Однако потом частным лицам предлагается ввести одну информацию, а представителям коммерческих структур — другую. После этого и те, и другие попадают на одну и ту же страницу.
Линейная структура с альтернативами и вариантами удобна в том плане, что с одной стороны она позволяет web-мастерам контролировать деятельность посетителей, направив их в определенное русло. А с другой стороны проявить некоторую инициативу, которая позволит им, во-первых, почувствовать свободу, а во-вторых, облегчить доступ к нужной именно им информации.

Дата добавления: 2015-12-26; просмотров: 1531;
