НАПРЯЖЁННО-ДЕФОРМИРОВАННОЕ СОСТОЯНИЕ ПЛАСТИН
Пластиной (плитой)называется тело призматической или цилиндрической формы, высота (толщина) которого намного меньше других размеров (рис. 1.1).

Рис. 1.1
Плоскость, параллельная основанию пластинки и разделяющая её высоту пополам, называется срединной плоскостью. Линия пересечения срединной плоскости с боковой поверхностью пластины называется контуром.
В пособии рассматривается теория расчёта тонких пластин, для которых отношение толщины
к наименьшему другому размеру пластины находится в пределах
.
Возможные прогибы пластины также малы по сравнению с толщиной; верхний предел величины прогиба составляет
. Если соотношения в размерах плиты не отвечают указанным условиям, то она относится к разряду плит средней толщины или толстых плит.
1. 1. Основные предпосылки теории расчёта тонких пластин
Техническая теория расчёта пластин основана на двух допущениях, упрощающих исследование:
I. Статическая гипотеза – нормальные напряжения, возникающие при деформировании вследствие взаимного нажатия горизонтальных слоёв пластинки друг на друга, на площадках, параллельных срединной плоскости, считаются нулевыми
.
Это означает, что бесконечно тонкий слой находится в условиях плоского напряжённого состояния. К тому же и касательные напряжения
относятся к второстепенным. Они также принимаются равными нулю.
II. Кинематическая гипотеза – прямая, перпендикулярная срединной поверхности в начальном положении, остаётся перпендикулярной к поверхности и в деформированном состоянии (гипотеза прямых нормалей Кирхгофа) (рис. 1.2).
На рис. 1.2 показаны прогиб
точки
срединной плоскости в сечении, параллельном оси Ох, и перемещение
произвольной точки
, отстоящей на расстоянии
; угол наклона нормали, обусловленный изгибом пластинки, обозначен через
.

Рис. 1.2
Данная гипотеза, по существу, вытекает из первого предположения. Действительно, из условия отсутствия касательных напряжений
следует, что деформации сдвига
. Как известно, в технической теории изгиба балок принята аналогичная гипотеза плоских сечений [5].
Поскольку нормальные напряжения
, то деформации срединной плоскости согласно физическим соотношениям теории упругости находят по формулам [3]:
(1.1)
,
где
- коэффициент Пуассона (для стали
),
- модуль упругости материала (для стали
ГПа),
Отсюда нетрудно установить обратную зависимость напряжений от деформаций:
(1.2)
.
На основании первой гипотезы

можно утверждать, что

Интегрируя последние соотношения с учётом граничных условий на срединной поверхности пластинки (
при
), легко установить характер изменения перемещений точки
, взятой на некотором удалении
от срединной плоскости, а именно:
(1.3)
где
- углы наклона нормали с осями координат[*].
1.2. Распределение напряжений и моментов при изгибе пластин
Деформации (1.1) элемента срединной плоскости пластинки в направлении осей координат (рис. 1.3) с учётом (1.3) можно найти по формулам:
(1.4)

Рис. 1.3
Приравнивая правые части выражений (1.1) и (1.4), в результате решения полученной системы нетрудно установить распределение нормальных и касательных напряжений по высоте пластинки (рис. 1.4):
(1.5)
.

Рис. 1.4
Величины изгибающих моментов и поперечных сил, действующих на боковых гранях элемента пластинки, определяют путём интегрирования функций напряжений по толщине пластинки, т. е.

Подставив сюда выражения для напряжений (1.5), легко найти:
(1.6,а)
Аналогично находят и величины:
, (1.6,б)
(1.6,в)
Здесь
- прогиб произвольной точки;
- цилиндрическая жёсткость пластинки,
- её толщина,
- коэффициент Пуассона (рис. 1.5).

Рис. 1.5
1.3. Вывод дифференциального уравнения изгиба пластинки
При рассмотрении равновесия элемента тонкой пластинки, подверженной действию внешней распределённой нагрузки
, нормальной к срединной плоскости, кроме изгибающих моментов следует учитывать также поперечные силы
.
Несмотря на то, что в соответствии с первой предпосылкой теории расчёта пластинок деформации
пренебрежимо малы, поперечные силы
имеют тот же порядок малости, что и величина нагрузки
. Иначе, как тогда объяснить возможность сохранения условия равновесия элемента в направлении оси Оz в виде
:

или
. (1.7)
Условие равновесия элемента
после отбрасывания слагаемых высшего порядка имеет вид

или
. (1.8,а)
Аналогично, из условия
следует, что
. (1.8,б)
В результате исключения поперечных сил из приведенных условий равновесия приходят к одному условию
.
Подставив сюда величины моментов согласно (1.6), условие равновесия пластинки можно выразить через прогибы
. (1.9,а)
Это условие называется уравнением изогнутой поверхности тонкой пластинки. С использованием оператора Лапласа

оно записывается намного короче в виде
. (1.9,а)
Здесь
- интенсивность поверхностной нагрузки.
Дифференциальное уравнение изгиба пластинки (1.9) установлено Лагранжем в связи с обсуждением статьи Софи - Жермен в 1811 г. [16].
Величины поперечных сил несложно выразить через прогибы пластинки, воспользовавшись их определением из формул (1.8) с привлечением (1.6):
(1.10)
1.4 Процедура анализа НДС пластин.
Аналогии с решением плоской задачи теории упругости
Процесс анализа НДС пластин заключается в интегрировании дифференциального уравнения изгиба (1.9) с учётом граничных условий, т. е. условий опирания на контуре пластины. Действительно, если будет найдено решение уравнения, т. е. поле прогибов срединной плоскости
, то с помощью формул (1.6) и (1.10) можно без труда найти значения изгибающих моментов и поперечных сил в любой точке пластинки.
Очевидно, уравнение изогнутой поверхности пластинки при нулевой правой части, как и бигармоническое уравнение функции напряжений в плоской задаче теории упругости, является разрешающим уравнением при анализе изгиба пластинок [5]. Следовательно, функция напряжений характеризует изогнутую поверхность пластинки при её нагружении моментами или (и) поперечными силами, прикладываемыми на контуре.
Ещё одна аналогия наблюдается и в самих граничных условиях, а именно: статическим граничным условиям плоской задачи теории упругости соответствуют кинематические граничные условия фиктивного поперечного изгиба пластинки, и наоборот.
1.5 Формулировка граничных условий пластинки
Граничные условия пластинки можно формулировать в терминах перемещений или усилий.
Описание граничных условий можно начать с составления условий для прямоугольной пластинки с различным характером опирания кромок:
а) жёстким защемлением, б) шарнирным прикреплением и в) свободным краем (рис. 1.6).

Рис. 1.6
а) Обращаясь к жёсткой кромке, легко установить, что вдоль неё (при
) прогибы как и уголы наклона касательной к срединной плоскости по отношению к оси Ох равны нулю, т.е.
и
. (1.11,а)
б) Для шарнирной кромки характерно отсутствие прогиба и нормальных напряжений по опорному сечению и касательных напряжений
, имеющих направление, параллельное оси Ох. Касательные напряжения, параллельные оси
, уравновешивают опорные реакции. В аналитической форме граничные условия
при
, 
на основе определения
по (1.6,а) можно представить только через перемещения:
при
,
,
, (1.11,б)
т. к. вторая производная по этой же кромке заведомо нулевая, т. е.
. Аналогично,
при
,
,
. (1.11,в)
Данные условия можно несколько смягчить, отказавшись от последнего из них и принять граничное условие в интегральной форме, получив его путём суммирования касательных напряжений по толщине пластинки и приведения их к системе взаимно уравновешенных усилий на кромке (см. подраздел1.6).
в) На свободном крае напряжения
и соответствующие им усилия
,
,
равны нулю. На основе формул (1.6), (1.10) можно составить три условия:
. (1.12)
Однако для интегрирования уравнения (1.9) достаточно иметь всего по два условия на каждой кромке. Оставив без изменения первое, два других можно свести к одному путём объединения касательных напряжений
, точнее, путём сложения соответствующих им поперечной силы
и силы F
, отвечающей крутящему моменту
(рис. 1.7):
. (1.13)

Рис. 1.7
Действительно, действие крутящего момента
на элементарном отрезке длиной
эквивалентно паре сил с модулем, равным
. На соседнем участке момент получает приращение и становится равным
.
Ему соответствует пара сил
.
Складывая полученные силы в пределах каждого элементарного отрезка, можно утверждать, что на единицу длины кромки в направлении оси у действует сила
. В итоге по всей длине кромки в каждой её точке, кроме поперечной силы
, следует принимать во внимание действие дополнительной силы
, направление которой противоположно
. В совокупности они составляют так называемую приведенную поперечную силу
. После дифференцирования момента (1.6,в) с учётом определения
по (1.10) выражение приведенной поперечной силы
на кромке
const принимает вид
. (1.14,а)
Аналогично, по краю
const
. (1.14,б)
Очевидно, на свободной кромке момент и приведенная сила отсутствуют; следовательно,
. (1.15)
При шарнирном опирании на кромке приведенная сила уравновешивается реакциями опоры. А поскольку в составе приведенной силы имеется часть, соответствующая крутящему моменту на кромке, то это приводит к появлению в углах пластинки дополнительных ответных сосредоточенных сил реакций
,причем
.
Таким образом, приведенные поперечные силы
и
представляют собой распределенные опорные реакции пластины, а силы
- сосредоточенные реакции в угловых точках (рис. 1.8).

Рис. 1.8
Граничные условия для круглых или эллиптических пластинок рассматриваются в разделе 2 п . 2.2.
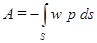
1.6 Принцип возможных перемещений
Потенциальная энергия изогнутой пластинки, отнесённая к единице объёма
, (1.16)
складывается из энергии упругих деформаций
(1.17,а)
и потенциала поверхностной нагрузки р
. (1.18)
Здесь
- вектор напряжений, распределённых в объёме
пластинки;
- вектор деформаций, в общем случае связанный с перемещениями
дифференциальными соотношениями (1.4);
– площадь поверхности, на которой распределена нагрузка р.
Принимая во внимание компоненты вектора напряжений согласно (1.5),
нетрудно подсчитать энергию упругих деформаций, отнесённую к единице объёма:
. (1.17,б)
Потенциальная энергия всей пластинки находится путём интегрирования выражения (1.17,б) по всему объёму пластинки с учётом того, что переменная
меняется в пределах от
до
, а также суммирования внешнего воздействия по поверхности т. е.
.
(1.18)
Потенциальную энергию пластинки можно выразить и через усилия
, воспользовавшись их определением по (1.6).
(1.19
В соответствии с вариационным принципом Лагранжа в состоянии равновесия элемента пластинки величина потенциальной энергии принимает стационарное значение, причём в положении устойчивого равновесия этот экстремум является минимумом.
Условие минимума функционала энергии

имеет вид
. (1.20)
Следовательно, из всех кинематически возможных перемещений
элемента состоянию равновесия отвечают те, которые сообщают минимум величине полной потенциальной энергии
.
Кинематически возможные перемещения, непрерывно изменяющиеся по полю пластинки, можно задать в виде некоторого приближения к истинному или действительному распределению перемещений. При этом возможные перемещения должны удовлетворять граничным условиям.
Выражение энергии (1.19) используется в лекции № 3 для обоснования связи вариационного принципа Лагранжа и метода Бубнова - Галёркина. В лекции № 4 вариационный принцип Лагранжа служит основанием для вывода разрешающего уравнения метода конечных элементов.
1.7 Методы интегрирования уравнения изгиба
прямоугольных пластин
Как правило, интегрирование уравнения изгиба пластин, осуществляется обратным способом. В таком случае задаются ожидаемым распределением прогибов срединной плоскости.
Например, для прямоугольной пластинки, шарнирно опёртой по всему контуру, в качестве возможного распределения прогибов Навье (1820) было предложено воспользоваться двойным тригонометрическим рядом [16]
, (1.21)
который автоматически удовлетворяет указанным краевым условиям
,
а неизвестные коэффициенты ряда
искать на основе решения уравнения (1.10).
Подставив выражение прогиба (1.21) в уравнение, после небольших преобразований можно установить, что
.
Умножив полученное равенство на
и проинтегрировав его по х от нуля до а и по у от нуля до b, приходят к соотношению
,
из которого легко установить коэффициенты
. (1.22)
При интегрировании левой части были использованы известные интегралы произведений тригонометрических функций

Зная коэффициенты
, можно вычислить прогибы согласно (1.21). Например, при действии равномерной нагрузки постоянной интенсивности р, нетрудно определить величину интеграла
,
где
- нечётные числа. Благодаря этому становится известным поле прогибов пластинки
. (1.23)
Максимальный прогиб пластинки имеет место в центре
.
Значения изгибающих моментов и поперечных сил в сечениях пластинки определяют по формулам (1.6)- (1.7). Полученное решение можно использовать для анализа состояния пластинки при действии сосредоточенной силы, приложенной в точке
.
Ещё один аналитический метод интегрирования уравнения изгиба пластинок разработал М. Леви (1899) [6]. В качестве допустимого поля прогибов он принял выражение прогиба на основе одинарного тригонометрического ряда
, (1.24)
где
- неизвестные коэффициенты ряда, являющиеся функциями только координаты х. Для ихопределения следует найти производные выражения (1.24) и подставить в уравнение (1.10). В результате приходят к равенству
.
Умножив обе части равенства на
и выполнив интегрирование по у в пределах от 0 до b, выводят уравнение
.
Общее решение данного дифференциального уравнения
(1.25)
складывается из частного решения
, соответствующего правой части, и решения однородного дифференциального уравнения
.
Решение последнего уравнения находят с помощью подстановки
,
где С - постоянная интегрирования. Соответствующее характеристическое уравнение имеет вид
.
Корни этого уравнения

указывают на существование решения однородного уравнения в виде
. (1.26)
Частное решение

при действии равномерной нагрузки постоянной интенсивности р определяется по аналогии с решением Навье. При вычислении прогибов пластинки следует принимать во внимание также характер опирания кромок. Например, при шарнирном опирании контура постоянные интегрирования в (1.26) должны быть установлены из краевых условий на сторонах
:
,
или

С учётом их соблюдения в результате несложных преобразований можно получить функцию
,
которая служит коэффициентами ряда (1.24).
Данный ряд обладает удивительной сходимостью, свидетельством чего служит следующий факт. Если ограничиться только одним членом ряда (k=1), то прогиб в центре определяется по формуле
(1.27)
Для квадратной пластинки согласно этой формуле
,
что лишь на
отличается от точного значения.
Изгибающие и крутящие моменты определяют на основе формул (1.6) и (1.25):


.
[*] На рис. 1.2 показан случай, соответствующий граничному условию
.
| <== предыдущая лекция | | | следующая лекция ==> |
| | | Профессиональная этика в системе наук и учебных дисциплин |
Дата добавления: 2015-12-16; просмотров: 2045;
