Лекция 12. Момент импульса. Квантовый ротатор. вектор момента импульса (момента количества движения) частицы относительно начала координат
вектор момента импульса (момента количества движения) частицы относительно начала координат
. В квантовой механике вектору импульса соответствует оператор импульса
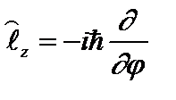
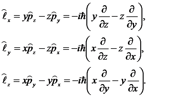
. Поэтому можно ввести оператор момента импульса:
. (2.46)
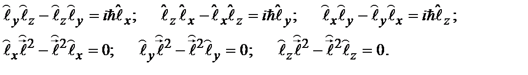
Декартовы компоненты этого оператора:
(2.46a)
сферические соотнашения
.
В сферических координатах операторы:

Выражения для проекций оператора момента импульса в сферических координатах:
,
, 
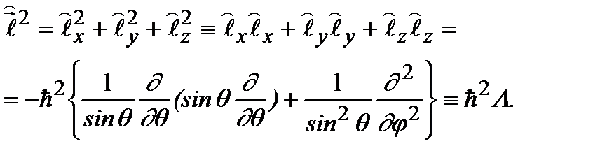
Рассмотрим оператор квадрата момента импульса:
(2.48)
-оператор Лежандра.
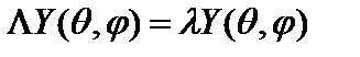
Собственные функции и собственные значения операторов
и
.
. (2.49)
Собственные значения
определяют возможные проекции вектора момента импульса на ось
. Они являются наблюдаемыми величинами. имеем уравнение:
. (2.49a)
Отсюда решение:
, (2.49б)
где С – постоянная, определяемая условием нормировки. Функция
является периодической с периодом
и ограниченной. Ее значение через период повторилось:
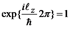
. Отсюда следует:
. Это приводит к квантованным значениям проекции вектора момента импульса на ось
:
. (2.50)
Целое число
магнитное квантовое число.
Собственные функции оператора проекции момента импульса на ось
согласно (2.49б),(2.50):
. (2.51)
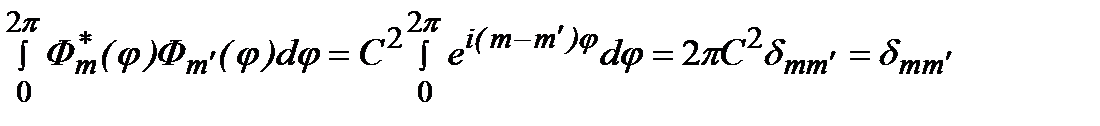
Эти функции образуют полную систему ортонормированных функций:
, (2.51a)
где
– символ Кронекера. Таким образом,
. Аналогично формулируется задача на собственные значения оператора
:
, (2.52)
где
– наблюдаемые значения квадрата модуля вектора момента импульса. задача (2.52) совпадает с задачей на собственные значения оператора Лежандра:
, (2.53)
так что
. (2.53a)
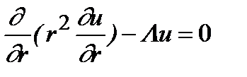
рассмотрим уравнение Лапласа
для функции
в сферических координатах:
, (2.54)
Решение, не обращающееся в бесконечность при
, ищется в виде:
, (2.54a)
где положительное целое число
= 0, 1, 2, …Тогда из (2.54):
. (2.54б)
Таким образом,
. Следовательно,
, (2.55)
т.е. величина (длина) вектора момента импульса принимает дискретный набор значений в зависимости от значений числа
. Это число - азимутальное, или орбитальное квантовое число.
Собственные функции оператора квадрата момента импульса - шаровые функции:
, (2.56)
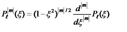
– присоединенные полиномы Лежандра, определяемые формулой:
, (2.56а)
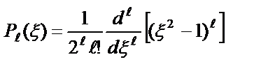
где
– полиномы Лежандра.
В (2.56) число
- магнитное квантовое число. При фиксированном значении квантового числа
число
принимает
значений:
. (2.56б)
что собственные функции оператора
являются одновременно собственными функциями оператора
. Таким образом, модуль (длина) вектора момента импульса и его проекция на ось z являются одновременно измеряемыми величинами.
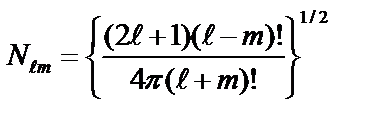
Ортонормированные волновые функции оператора квадрата момента импульса равны:
, (2.57)
где постоянные нормировки
.
проекция вектора момента импульса на ось z и азимутальный угол
являются парой канонически сопряженных переменных, для которых справедливо соотношение неопределенностей . Задание точного значения проекции
означает, что угол
при этом являетсянеопределенным. Так как модуль (длина) вектора момента импульса также задана точно, то вектор момента импульса оказывается расположенным на поверхности конуса . Угол при вершине этого конуса определяется соотношением:
. (2.58)
Так как азимутальный угол не имеет определенного значения, то проекции
являются неопределенными. Это значит, что
(2.59)
Как видно из полученных соотношений, длина (модуль) вектора момента импульса
всегда больше максимального значения проекции момента
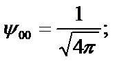
. существует единственное состояние, в котором все три проекции вектора момента импульса имеют определенное значение. Это состояние с
=0, в котором все три проекции одновременно равны нулю. Волновая функция этого состояния
, сводится к постоянной, так что она является собственной функцией всех трех операторов
, а углы
при этом оказываются неопределенными.
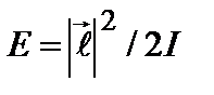
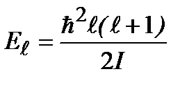
В классической механике ротатор -это вращающаяся система жестко связанных друг с другом частиц. Само расстояние задается с определенной вероятностью. Однако окончательные результаты об энергии вращательного движения оказываются совпадающими с точным решением уравнения Шредингера в центрально–симметричном поле. Это связано с тем, что операторы проекций момента импульса и его квадрата не зависят от радиуса. Рассмотрим кинетическую энергию ротатора
.В квантовом случае величина
квантуется согласно (2.55). Таким образом, приходим к формуле, определяющей энергетический спектр вращательного движения (ротатора):
. (2.60)
Состояния ротатора описываются с помощью волновых функций (2.57). Эти функции определяются как азимутальным, так и магнитным квантовыми числами. Так как при заданном значении орбитального квантового числа
магнитное квантовое число принимает
различных значений, то столько же имеется различных волновых функций. Всем этим функциям отвечает одно и то же значение энергии (2.60). Состояния с некоторым значением энергии, которому соответствуют различные собственные функции, называются вырожденными состояниями.Число этих различных волновых функций называют кратностью вырождения состояний.Таким образом, каждое состояние ротатора является
– кратно вырожденным.
По историческим традициям, энергетические состояния, отвечающие фиксированному значению числа
, принято обозначать соответствующими буквами
Таблица 2
Значения числа
0 1 2 3 4 5
Буквенное обозначение
состояния s p d f g h
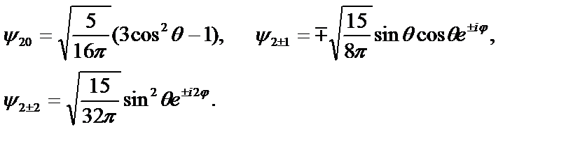
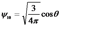
Некоторые волновые функции состояний ротатора:
s–состояние 
p–состояние
,
sin
;
d–состояние
(2.61)
Пространственную ориентацию квантового вектора момента импульса изображают графически , при этом определенные значения имеют только
и
, а проекции
являются принципиально неопределенными. Такие изображения называют пространственным квантованием.
Поясним смысл пространственного квантования, которое связано с вырожденностью состояний, на примере р–состояния. Это состояние описывается тремя собственными функциями, которые выписаны выше. Волновая функция состояния представляет собой, в общем, линейную комбинацию трех волновых функций:
. Если мы хотим найти проекцию момента импульса на какую-то ось, то необходимо сначала выделить это направление. Это можно сделать, если включить магнитное поле в этом направлении, и затем измерить проекцию момента импульса на эту ось. В результате измерения величина проекции
будет одной из трех, например,
. Тогда после измерения состояние описывается функцией
. Это означает, что
, а
. Если мы захотим определить проекцию момента импульса на другое направление, то его также необходимо выделить, при этом предшествующее состояние будет разрушено и возникнет новое состояние.
Плотность вероятностей различных состояний ротатора определяется с помощью волновых функций (2.57) по общим правилам:
. (2.62)
движение квантового ротатора характеризуется углами
и происходит по поверхности сферы с фиксированным радиусом, который можно принять за единицу. Тогда формула (2.62) описывает плотность вероятностей состояний ротатора на поверхности сферы. Элемент этой поверхности:
.
Формула (2.62) показывает, что плотность вероятностей не зависит от азимутального угла
. Это позволяет использовать диаграммы (отрезок от начала координат до точки на кривой определяет плотность вероятности найти частицу на сфере в направлении угла
при любом
)
Для получения пространственной картины нужно «прокрутить» диаграмму вокруг оси z. В s–состоянии имеется одинаковая вероятность найти частицу в любом месте на поверхности сферы. Это состояние, в котором все три проекции момента импульса имеют нулевое значение. В остальных случаях вероятность зависит от магнитного квантового числа. Например, для p–состояния при значении
вероятность максимальна в направлениях
, а
максимум вероятности соответствует
, т.е. плоскости
Однако с возрастанием магнитного квантового числа плотность вероятностей для состояний с максимальным значением этого числа, характеризуется все меньшим отклонением от плоскости x, y. При
угол между вектором
и осью z стремитсяк нулю. В этом проявляется принцип соответствия.
Дата добавления: 2015-12-08; просмотров: 1444;
