Физико-химические свойства
Белки, как сложные полимерные соединения характеризуются определёнными физико-химическими показателями. Физико-химические свойства проявляются в связи с тем, что белок является химическим веществом с наличием в его составе характерных химических групп, а также с определенными физическими характеристиками.
Рассмотрим такие физико-химические свойства белков как :
· молекулярная масса;
· оптические;
· амфотерные;
· растворимость;
· коллоидные;
· поверхностно-активные;
· денатурация;
· деструкция.
Молекулярная масса. Белки – это полимеры, состоящие из сотен и тысяч аминокислотных остатков – мономеров. Соответственно и молекулярная масса белков находится в пределах 10 000 – 1 000 000. Так, в составе рибонуклеазы (фермента, расщепляющего РНК) содержится 124 аминокислотных остатка и ее молекулярная масса составляет примерно 14 000. Миоглобин (белок мышц), состоящий из 153 аминокислотных остатков, имеет молекулярную массу 17 000, а гемоглобин – 64 500 (574 аминокислотных остатка). Молекулярные массы других белков более высокие:
-глобулин (образует антитела) состоит из 1250 аминокислот и имеет молекулярную массу около 150 000, а молекулярная масса фермента глутаматдегидрогеназы превышает 1 000 000.
Оптические свойства. Все белки обладают оптическими свойствами. Растворы белков поглощают УФ-лучи в 3-х областях:
280 нм - за счет ароматических аминокислот;
210-250 нм - водородными связями;
190 нм - пептидными связями.
Амфотерные свойства. Белки – амфотерные электролиты, они способны присоединять кислотные и основные группировки, и поэтому обладают буферными свойствами. Так, в случае нехватки в составе полимера дикарбономоноаминовых аминокислот белок может проявлять кислотные свойства. А у белка, имеющего значительное количество диаминомонокарбоновых аминокислот, будут больше проявляться щелочные свойства.
Амфотерность белкам придают боковые остатки кислых (аспарагиновая кислота, глутаминовая кислота, цистерн, тирозин) и основных (аргинин, лизин, гистидин) аминокислот. Присутствие диссоциирующих –NH2–- и –СООН-групп обуславливает определенный суммарный заряд белковой молекулы, зависящей от рН среды.
Природные белки в зависимости от состава аминокислот могут иметь кислый или основной характер. В кислых белках преобладают моноаминодикарбоновые кислоты (Асп и Глу). Молекула такого белка в растворе заряжена отрицательно. Большинство белков относится к кислым, например альбумины, глобулины, казеин, пепсин и др.
В молекулах белков основного характера преобладают диаминомонокарбоновые кислоты (Лиз, Арг, Гис). В растворе основные белки несут положительный заряд.
Сумарный заряд молекулы белка зависит от рН среды и большинство природных белков в нейтральных средах имеют отрицательный заряд. При определенном рН среды число положительных и отрицательных зарядов в молекуле белка одинаково. Эта величина рН называется изоэлектрической точкой (ИЭТ) и является одной из основных констант белка. В этой точке белки электронейтральны, а их растворимость и вязкость растворов наименьшая. Для большинства глобулярных белков ИЭТ находится в интервале рН 4,5-6,5. У пепсина ИЭТ - рН=1,0, а протанина ИЭТ - рН=1,2.
Способность белков снижать растворимость при достижении электронейтральности молекул широко используется для выделения их из растворов. В изоэлектрической точке белки наименее устойчивы в растворе и легко выпадают в осадок. Значение изоэлектрической точки очень важно для понимания стабильности белков в растворах, так как в ней белки вследствие электронейтральности наименее устойчивы. Незаряженные частицы белка могут слипаться друг с другом и выпадать в осадок.
Растворимость. Большинство белков хорошо растворимы в воде, так как на поверхности молекул находится много функциональных групп, способных связывать воду, т.е. способных гидратироваться. Под гидратацией белков понимают связывание диполей воды с ионными и полярными группами.
Растворение белков сопровождается набуханием, или, вернее набухание белков является первым этапом их растворения. При набухании белки поглощает воду, значительно увеличивая свои массу и объем. Белки могут обладать частичным или полным растворением. Так, желатин, набухающий в холодной воде ограниченно, в теплой воде набухает неограниченно, а в горячей – растворяется.
Набухание далеко не всегда кончается растворением. Очень часто после достижения определенной степени набухания процесс прекращается. Одна из причин этого заключается в том, что белок и растворитель способны смешиваться ограниченно.
Например, белки пшеничной муки глиадин и глютенин при добавлении воды, ограниченно набухая, образуют клейковину (гидратированный студень) и не растворяются в воде. Оба белка полностью растворяться в слабом растворе уксусной кислоты, а также глиадин растворяется легко в спиртовых, а глютенин - в щелочных растворах. Т.е. растворимость белков зависит и от растворителя: его рН, состава и температуры.
По форме и прочности связывания воды с белком различают свободную и связанную воду. Для связанной воды существуют следующие формы связи:
*химическая (самая прочная связь, удаляется вода при температуре свыше 100оС или химическим воздействием);
* физическая (капиллярная);
* физико-химическая (адсорбционно и осмотически связанная).
Основная часть воды, связанная белками, является адсорбционной. Различают два вида адсорбции: ионную и молекулярную. Адсорбирование диполей воды ионизированными свободными полярными группами белка (-СОО- и -NH3- ) называется ионной адсорбцией. Связанные полярные группы (пептидные, гидроксильные, сульфгидрильные и др.) присоединяют молекулы воды за счет так называемой молекулярной адсорбции. В результате адсорбции белковая молекула приобретает гидратную оболочку, которая способствует устойчивости растворов белка и препятствует его осаждению.
Растворимость белков в воде возрастает при добавлении небольших количеств нейтральных солей ( (NH 4)2SO4 , Na2SO4 ), т. к. при этом увеличивается степень диссоциации ионизированных групп белка и уменьшается белок-белковое взаимодействие. При высоких концентрациях этих солей белки осаждаются за счет “оттягивания” ионами солей поляризованных молекул воды и белок лишается гидратной оболочки.
Величина гидратной оболочки зависит от структуры белка. Например, альбумины более легко связываются с молекулами воды и имеют относительно большую водную оболочку, тогда как глобулины, фибриноген присоединяют воду хуже, и гидратная оболочка и них меньше. Таким образом, устойчивость водного раствора белка определяется двумя факторами: наличием заряда белковой молекулы и находящейся вокруг нее водной оболочки. При удалении этих факторов белок выпадает в осадок. Данный процесс может быть обратимым и необратимым.
Обратимое осаждение белков (высаливание) предполагает выпадение белка в осадок под действием определенных веществ, после удаления которых он вновь возвращается в свое исходное (нативное) состояние. Для высаливания белков используют соли щелочных и щелочноземельных металлов (наиболее часто в практике используют сульфат натрия и аммония). Эти соли удаляют водную оболочку (вызывают обезвоживание) и снимают заряд. Между величиной водной оболочки белковых молекул и концентрацией солей существует прямая зависимость: чем меньше гидратная оболочка, тем меньше требуется солей. Так, глобулины, имеющие крупные и тяжелые молекулы и небольшую водную оболочку, выпадают в осадок при неполном насыщении раствора солями, а альбумины как более мелкие молекулы, окруженные большой водной оболочкой, - при полном насыщении.
Необратимое осаждение связано с глубокими внутримолекулярными изменениями структуры белка, что приводит в потере ими нативных свойств (растворимости, биологической активности и др.). Такой белок называется денатурированным
Коллоидные свойства.Белки при растворении образуют растворы высоко молекулярных соединений, которые проявляют коллоидные свойства. Не совсем верно называть растворы белков коллоидными, поскольку они не являются типичными коллоидами, т. к. белки диспергированы в растворителе до единичных молекул и образуют истинный раствор. Растворы белков обладают коллоидными свойствами потому, что молекулы белков имеют размеры приближающиеся к размерам коллоидных частиц (10-4 - 10 -7см).
Растворы белков, как и все коллоидные растворы, могут при определенных условиях терять текучесть и образовывать студни (гели). Застудневание белковых растворов может происходить под действием внешних факторов (изменение температуры, повышении концентрации раствора, добавление небольших количеств электролита и т.д.). Как правило под действием этих факторов структурная вязкость системы возрастает, что приводит к превращению жидкости в студень – систему, проявляющую ряд свойств твердого тела. Гели возникают за счет образования молекулами сетки, внутреннее пространство которой заполнено большим количеством воды (кефир, желатиновый студень). При определенных условиях возможно отделение воды от геля (при длительном хранении кефира). Это явление обратное набуханию и называется синерезисом.
Поверхностно-активные свойства.Белковые молекулы, имея в своем составе гидрофобные и гидрофильные группировки, проявляют поверхностно-активные свойства. Они обладают способностью, располагаясь на границе раздела фаз дисперсных систем, снижать поверхностное натяжение. Поверхностно-активные свойства белка обусловливают его пенообразующую и эмульгирующую способность. Агрегатная устойчивость эмульсий и пен зависит от природы белка, его количества в системе, т.е. белки выступают в роли стабилизаторов этих систем.
Так, белки в качестве пенообразователей широко используют при производстве пастилы, зефира, суфле, мороженого в кондитерском производстве а в качестве эмульгаторов в жировой промышленности для приготовления маргарина, майонеза, масла сливочного
Денатурация.Денатурацию можно рассматривать как физико-химическое
или функционально-технологическое свойство.
Денатурация - это изменение нативной пространственной структуры белковой молекулы под влиянием внешних воздействий, приводящие к изменению природных свойств белка. К числу таких внешних воздействий можно отнести нагревание и сушку (тепловая денатурация); встряхивание, взбивание и другие механические воздействия (поверхностная денатурация); высокую концентрацию водородных или гидроксильных ионов (кислотная или щелочная денатурация соответственно).
При нагревании белков усиливается тепловое движение атомов полипептидных цепей, в результате чего разрушаются слабые поперечные связи между боковыми цепями (водородные) и ослабляются другие связи, стабилизирующие пространственную структуру молекулы. В результате этого изменяется пространственная конформация белковой молекулы. У глобулярных белков происходит развертывание белковых глобул, а затем свертывание по новому типу. В результате этого гидрофильные группы, находившиеся на поверхности молекулы, оказываются блокированными внутримолекулярными связями, а на поверхности появляются гидрофобные группы.

Рисунок - Схема денатурации белков
В молекулярной перестройке белков при денатурации активная роль принадлежит воде, которая участвует в образовании новой конформационной структуры денатурированного белка.
Денатурация сопровождается изменением важнейших свойств белка: потерей биологической активности; снижением или полной потерей способности к гидратации (растворению, набуханию); улучшением атакуемости протеолитическими ферментами.
Деструкция.Изменения белков, связанные с разрушением белковой макромолекулы, называются деструкцией. При длительном гидротермическом воздействии происходит разрушение белковой макромолекулы с отщеплением летучих продуктов (аммиака. сероводорода, фосфористого водорода, углекислого газа и др.) Летучие вещества, накапливающиеся в продукте и окружающей среде, участвуют в образовании вкуса и аромата пищевых продуктов. Дальнейшее гидротермическое воздействие приводит к деполимеризации молекулы с образованием водорастворимых азотистых веществ
Примером тепловой деструкции белка является переход коллагена в глютин при длительной варке мясопродуктов (мясной студень).
Деструкция белка происходит также и при воздействии протеолитических ферментов. Это явление вызывают ферментативный гидролиз белка. Деструкция белков при помощи ферментов может быть целенаправленным приемом. способствующим интенсификации технологического процесса.
Примерами ферментативной деструкции белка могут служить: расщепление белков сырной массы в процессе созревания сыров под действием сычужного фермента с образованием многочисленных азотистых соединений; ослабление клейковины теста под действием ферментов муки и дрожжей; получение белковых гидролизатов. Ферменты используют для размягчения жесткого мяса (бромелин, содержащийся в ананасах и др.).
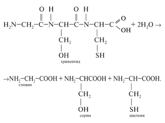
То есть, при нагревании белков и пептидов с растворами кислот, щелочей или при действии ферментов протекает гидролиз. Гидролиз белков сводится к расщеплению полипептидных связей:
Среди продуктов термическогораспада белков встречаются соединения, придающие им мутагенные свойства.Термически индуцированные мутагены образуются в белоксодержащей пище в процессе ее обжаривания в масле, выпечки, копчения в дыму и сушки. Мутагены могут содержатся в бульонах, жареной говядине, свинине, птице, жареных яйцах, копченой и вяленой рыбе. Некоторые из них вызывают наследственные изменения в ДНК. (В экстрактах, выделенных из жареной рыбы и мяса, найдены продукты пирролиза аминокислот, которые образуются обычно при 500-600°С. Также мутагенные соединения найдены в умеренно нагретом мясе (ниже 200 С) и пищевых бульонах.
Токсические свойства белков при термической обработке выше 200°С или при более низких температурах, но в щелочной среде, могут обуславливаться не только процессами деструкции, но и реакциями изомеризации остатков аминокислот из L- в D-форму. Присутствие D-изомера понижает усвояемость белков.
Дата добавления: 2015-11-18; просмотров: 2994;
