Первая и вторая производные вектора по длине дуги кривой. Кривизна кривой. Главная нормаль.
Предел и непрерывность вектор-функции скалярного аргумента


Найти следующие пределы:
а) 
б) 
в) 
г) 
д) 

Производная вектор-функции по скалярному аргументу





Пусть

а) 


б) 

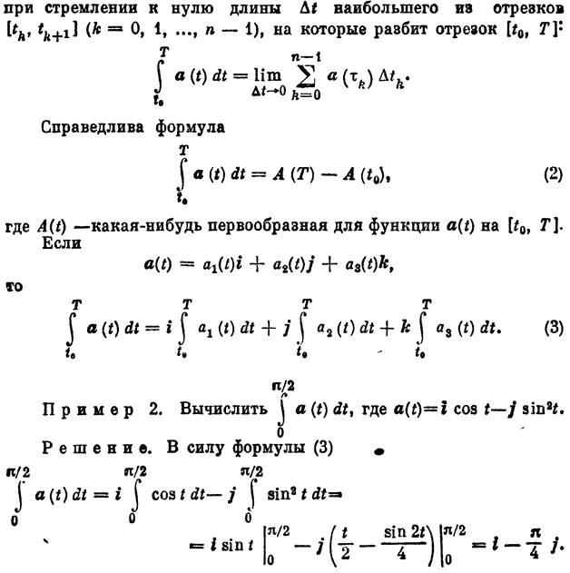
Интегрирование вектор-функции скалярного аргумента


а) 
б) 
в) 
г) 


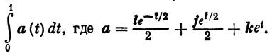
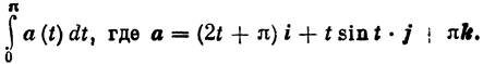
Вычислить следующие интегралы:
а) 
б) 
в) 
г) 





Первая и вторая производные вектора по длине дуги кривой. Кривизна кривой. Главная нормаль.






Найти радиус кривизны линий :
| а). б) в) г) д) |
|
| <== предыдущая лекция | | | следующая лекция ==> |
| Функции протеогликанов. | | | ОСНОВЫ МОДЕЛИРОВАНИЯ В СРЕДЕ SIMULINK |
Дата добавления: 2015-08-14; просмотров: 2210;
