Тема 20. Мировая экономика и международные отношения.
Теория международной торговли.
Лекция
Теория международной торговли изучает закономерности движения товаров и услуг через национальные границы. Её создание связано с трудами А. Смита, Д. Риккардо, Э. Хекшера, Б. Олина, В. Леонтьева и др.
Международная торговля охватывает движение товаров и услуг на мировом рынке.
Мировой рынок– это совокупность национальных рынков в той их части, в которой операции купли-продажи товаров и услуг связаны с международным разделением труда и его специализацией, мировыми ценами и валютой.
Международное разделение труда и его специализация развиваются под воздействием природно-климатических и экономических факторов.
§ Теория сравнительных издержек Д. Рикардо
Теория сравнительных издержек объясняет выгодность внешней торговли разницей издержек производства товаров в различных странах. Производители сравнивали пропорции обмена одного товара на другой внутри страны и при вывозе товара за границу.
Сравнительные издержки производства зерна и ткани странами А, Б (рис. 20.1.)
В стране А производственные возможности позволяют произвести либо 300 млн. т зерна, либо 450 млн. м ткани. Поэтому зерно обменивается на ткань зерно обменивается на ткань в пропорции 1:1,5. В стране Б производственные возможности позволяют произвести либо 300 млн. т зерна, либо 600 млн. м ткани. Пропорция обмена зерна на ткань равна 1:2. Если международной торговли не будет, то обе страны смогут потреблять зерно и ткань в пределах своих производственных возможностей (кривая 1).
Если же между странами А и Б возможна торговля, то она принесет обеим странам выгоду. Допустим, зерна произведено в стране А 300 единиц. Производители зерна при его обмене в своей стране А получают 450 единиц ткани. Производители страны Б располагают 600 единицами ткани. При обмене её в своей стране Б они получат 300 единиц зерна. Обмен ткани на зерно в стране А дает возможность приобрести 450 единиц зерна.
В результате международной торговли обе страны получают возможность в потреблении зерна и ткани выйти за пределы своих производственных возможностей, т.е. перейти с кривой производственных возможностей 1 на кривую 2.
Для того чтобы торговля была взаимовыгодной, каждая страна должна экспортировать тот товар, который она производит с более низкими относительными издержками, т.е. по которому она имеет сравнительное преимущество.
Сравнительное преимущество по данному товарудают относительно более низкие издержки производства данного товара.
Абсолютное преимущество по данному товару дают абсолютно более низкие издержки производства данного товара.
В приведенном примере страна А производит зерно с относительно более низкими издержками, чем страна Б (в стране А ради производства одной тонны зерна придется пожертвовать 1,5 м ткани, а в стране Б – 2 м ткани). Соответственно страна Б производит ткань с относительно более низкими издержками ( в стране Б ради производства одного метра ткани приходится жертвовать ½ тонны зерна, а в стране А – 2/3 тонны). Следовательно, стране Б выгодно специализироваться на производстве ткани и экспортировать её в страну А, а стране А имеет смысл специализироваться на производстве зерна и экспортировать его в страну Б.
Условия торговли– реальные пропорции, в которых один товар обменивается на другой в международных торговых сделках. Определяется как соотношение цен на экспортные и импортные товары:
r = Pex : P im
где r – условия торговли;
Pex - экспортные цены;
Pim - импортные цены.
В приведенном примере диапазоны условий торговли следующие:
§ от 1,5 до 2 м ткани за одну тонну зерна,
§ от ½ до 2/3 тонны зерна за один метр ткани.
Конкретные условия торговли будут установлены в указанном промежутке в зависимости от соотношения спроса и предложения на ткань и зерно.
Факторы, воздействующие на условия торговли:
1) неравномерность роста производительности труда в разных странах;
2) соотношение спроса и предложения;
3) изменение структуры внешней торговли;
4) олигополистическое ценообразование.
§ Теория сравнительных преимуществ Э. Хекшера и Б. Олина
Теория сравнительных преимуществ шведских экономистов Э. Хекшера и Б. Олина вовлекает в анализ внешней торговли не только сравнительные издержки, соотношение цен, спроса предложения, но и наделенность факторами производства.
- Теорема Хекшера – Олина. Страна экспортирует товары, при производстве которых использован избыточный фактор, импортирует товары, при производстве которых применен дефицитный для данной страны фактор.
Однако теорема Хекшера – Олина противоречит ряду эмпирических данных.
- Парадокс В. Леонтьева.Предполагалось, что в США капитал является избыточным фактором, а труд – дефицитным. Расчеты показали, в экспорте товаров из США в 1947 г. Отношение капитал/труд ниже, чем это же отношение для импортируемых товаров.
Направления пересмотра теории Э. Хекшера и Б. Олина:
а) дифференциация факторов, выделение таких факторов, как профессиональное мастерство, искусность населения страны;
б) учет интенсивности использования факторов в процессе производства.
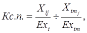
Коэффициент сравнительных преимуществ экспорта i - товара страной j:

Где K с.п - коэффициент сравнительных преимуществ;
Xij - объем экспорта товара i страной j;
Exi - объем экспорта товара i из всех стран ОЭСР;
- объем экспорта готовых товаров из страны j;
Exim - объем экспорта готовых товаров всеми странами ОЭСР.
Формула сравнивает удельный вес экспорта товара i страной j в общем объеме экспорта изделий i из стран ОЭСР (Xij /Exi) с удельным весом экспорта готовых товаров страной j в общем объеме экспорта готовых товаров странами ОЭСР.
§ Отрицательное последствие внешней торговли
При наличии внешней торговли появляется дополнительный канал утечки средств из внутреннего кругооборота доходов и расходов в экономике. Это уменьшает величину фискальных мультипликаторов и снижает эффективность фискальной политики.
Функция спроса на импорт:
Im = Im0+ MPX •Y,
где Im – объем спроса на импорт;
Im0 – автономный импорт, т.е. объем спроса на импорт при нулевом совокупном доходе.
MPX – предельная склонность к импорту; описывает чувствительность спроса на импорт к изменению совокупного дохода и показывает, на какую величину изменится объем спроса на импорт при изменении величины совокупного дохода на единицу.
Функция чистого экспорта:
NX = Ex - Im = Ex - I0 – MPX • Y = X0 – MPX •Y,
где, NX – величина чистого экспорта;
Ex – объем экспорта из данной страны;
X0 – сальдо экспорта и автономного импорта.
Дата добавления: 2015-08-14; просмотров: 920;
