Конструкция однообъективной зеркальной камеры
В процессе выбора объекта съёмки и наведения резкости фотограф наблюдает через окуляр видоискателя (8) реальное изображение, воспринимаемое объективом камеры (1) и проецируемое зеркалом (2) на фокусировочный экран (5).
Соответствие границ изображения, наблюдаемого через видоискатель, тому, что проецируется на пленку или матрицу — поле зрения видоискателя — является важной характеристикой качества зеркальной камеры. У хороших камер оно составляет 90-100 %. Меньшие показатели заставляют фотографа делать
мысленную поправку, учитывая, что реально снятый кадр будет несколько больше того, что он видит в видоискателе.
Пентапризма (7) (придающая характерные очертания большинству зеркальных фотокамер), обеспечивает переворот изображения в естественное положение, соответствующее тому, что фотограф видит невооружённым глазом. Помимо матового стекла, часто используются и другие средства для улучшения точности наводки на резкость (клинья Додена, микропирамиды).
После окончания наводки при нажатии на спуск специальный механизм убирает зеркало (2) из оптического тракта камеры, затвор (3) открывается на время выдержки, и изображение проецируется на фотоплёнку или матрицу (4).
Объекти́в — оптическое устройство, проецирующее изображение на плоскость. В оптике рассматривается, как равнозначное собирающей линзе, хотя может иметь иной вид, например камера-обскура. Обычно объектив состоит из набора линз (в некоторых объективах — и зеркал), рассчитанных для взаимной компенсации аберраций и собранных в единую систему внутри оправы. Изображение на плёнке или на матрице рождается объективом. От его свойств во многом зависит результат. В конструкцию объектива могут входить вспомогательные элементы: диафрагма, для управления количеством проходящего света, система фокусировки, фотографический затвор, внутренние и встроенные бленды.
Схема монокля У. Уоллостона
|
Простейший объектив (монокль) состоит из одной линзы. Формула геометрической оптики связывает расстояния от линзы до объекта с расстоянием от линзы до его изображения так: 1/L+1/d=1/F, где F называется фокусным расстоянием. В частности, бесконечно далёкие объекты будут "фокусироваться" именно на этом расстоянии (d=F). В теории всё выглядит замечательно - любая точка переходит в точку, плоскость - в плоскость. На практике всё гораздо сложнее, и по краям изображения в любой лупе мы видим цветное размазанное месиво вместо чёткой картинки. Это связано с тем, что формула выведена (и справедлива) лишь для тонких приосевых пучков монохроматического света. Подобно тому, как сложную кривую вблизи каждой точки можно "приблизить" касательной, сложную формулу реальной линзы "приближают" простой формулой геометрической оптики тем точнее, чем меньше диаметр "работающей" части линзы, монохроматичнее освещение (преломление стекла зависит от цвета луча, а вместе с ним и фокусное расстояние, поэтому лучи разных цветов от одного и того же объекта сфокусируются, вообще говоря, в разных местах) ближе объект к оптической оси.
Отклонения от "идеальной" формулы принято называть аберрациями. Их несколько видов: "хроматические" и "геометрические". Если закрыть края линзы непрозрачной пластинкой с отверстием по центру, толщина пучка уменьшится и при любой геометрии линзы, т.е. при любых коэффициентах, часть искажений уменьшится. Упомянутая пластика с отверстием называется диафрагмой. Уменьшение отверстия называют "закрытием", а увеличение - "открытием" диафрагмы.
Но закрытие диафрагмы не всегда допустимо, т.к. влияет на экспозицию и глубину резкости (ГРИП), да и угол зрения не всегда малый (например, в "широкоугольниках"). Оказывается, что для разных форм линз и разных сортов стёкол коэффициенты имеют не только разные значения, но и разные знаки, поэтому если сделать объектив из нескольких линз, коэффициенты некоторым образом суммируются и можно подобрать конфигурацию так, что суммарные аберрации системы линз на порядок меньше чем каждой в отдельности. Примерно таким же образом можно бороться и с хроматическими аберрациями - применением линз с разным знаком т.н. "дисперсии"(различного отклонения лучей разного цвета). Именно поэтому реальные объективы обычно состоят из трёх и более элементов. Теоретически, увеличивая количество элементов, можно последовательно уменьшать все аберрации. Однако в игру вступают другие факторы: рассеяние в стекле, переотражение от поверхностей и накопление ошибок в изготовлении/сборке. Чем больше элементов, тем лучше должно быть качество стекла, качество просветления (напылённый слой для уменьшения переотражений), качество и точность сборки, что заметно увеличивает массу объектива и ещё более заметно - его стоимость. Обычно сложные объективы имеют не более 10-15 элементов. Если же нужно рассчитать объектив с переменным фокусным расстоянием ("зум"), задача сильно усложняется. Если раньше нужно было "подбирать" коэффициенты под несколько расстояний от объекта, под несколько углов (или расстояний до оси) и при нескольких (обычно - трёх) длинах волн, то теперь всё то же самое, но ещё и при разных фокусных расстояниях! Как правило, невозможно "равномерно" устранить каждый вид аберрации при всех положениях зума - какая-то больше на "широкоугольном" конце, какая-то - на "длинном". И чем больше отличаются фокусные расстояния (т.е. чем больше "кратность зума") - тем менее выполнима задача.
Вспомним про диафрагму. Поскольку коэффициенты нижних порядков в большой степени скомпенсированы, рост искажений с открытием диафрагмы может быть гораздо круче линейного. Иными словами, если объектив удовлетворительно скомпенсирован при диафрагме 5,6, при отверстии 4 искажения могут стать заметны, а при 2,8 - невыносимы. Отсюда следует два вывода:
- один из наиболее часто применяемых способов удешевления объективов при сохранении удовлетворительных искажений - ограничение диафрагмы средним (около 5,6) или даже высоким (8-11) значением.
- как правило, любительские объективы проектируются так, чтобы при максимально открытой диафрагме аберрации были равны предельно допустимым по стандарту (т.е. вполне заметны, хотя не вопиющи). Больше - честь фирмы не позволяет, а меньше - очень дорого. Но стоит "отступить" пару делений - и искажениями вполне можно пренебречь. Так что если нужно получить чётко проработанные кадры, как правило, лучше прикрыть диафрагму на пару делений от полностью открытой. Разумеется, если нет других противопоказаний (если мало света, или нужно размыть фон, или нужна короткая выдержка - диафрагму, конечно, открывают полностью).
Проектирование объективов - сложный поиск компромисса между ценой, весом, искажениями, светосилой и кратностью зума. Параметры могут варьироваться в широких пределах и улучшение каждого из них немедленно ухудшает остальные. Например:
- При одинаковой цене и светосиле чем больше кратность зума, тем ниже качество. Максимальное качество - у "фиксов"(объективов с постоянным фокусным расстоянием);
- При одинаковом качестве - чем больше кратность зума, тем меньше светосила;
- При одинаковом зуме (или фокусном расстоянии) чем больше светосила, тем выше цена. Каждое деление диафрагмы может удвоить-утроить цену!
В зависимости от угла зрения, объективы традиционно делят на широкоугольные, нормальные и длиннофокусные. Из элементарной геометрии следует, что угол зрения зависит от отношения фокусного расстояния к диагонали матрицы (или плёнки), но в связи с широкой распространённостью плёночного формата "35мм" принято характеризовать объектив не углом, а так называемым "эквивалентным фокусным расстоянием". "Нормальные" объективы имеют ФР около 50мм, широкоугольные 28-35мм, более короткофокусные обычно называют сверхширокоугольными. Длиннофокусные объективы обычно имеют 100-300мм. Отдельно стоит отметить ФР 80-100мм - их часто называют "портретниками". Именно с этими объективами лицо человека крупным планом имеет наиболее естественную перспективу. У
цифровых матриц с диагональю меньшей, чем у плёнки, для обеспечения того же угла зрения (и соответственно того же кадра с того же места) истинное фокусное расстояние объективов делают пропорционально меньше. Так, для матриц с диагональю 9мм (т.н. 1/1,8" матрицы), нормальным будет объектив 10мм, портретником будет 16-20мм, а 35мм - уже полноценным "телевиком". Таким образом, в характеристиках аппарата мы можем увидеть два разных ФР - истинное и эквивалентное. К примеру, довольно распространён зум с ФР=7-21мм и ЭФР=35-105мм.
На оправе обычно пишут через дробь ФР и светосилу, например 50/1,4 или 7-21/2,0-2,8. В последнем случае надпись означает, что светосила при 7мм равна 2,0, а при 21мм - 2,8. Очень часто диафрагму пишут не как число (например, 8), а как дробь с буквой F (например, F/8). Так же в технических данных обычно кроме светосилы пишут диапазон диафрагмирования, например для цифровых мыльниц типично F/2-F/8. В результате часто в обзорах, особенно сравнительных, диапазон значения диафрагмы путают либо с диапазоном светосилы, либо вообще с фокусным расстоянием (из-за буквы F).
Для большинства любительских съёмок достаточно "нормального" объектива (ЭФР=50мм), т.к. его охват пространства близок к естественному восприятию глаза. Разумеется, иногда хочется вместить в кадр побольше (пейзаж, тесное помещение), а иногда, наоборот "наехать поближе"(крупный портрет или деталь при невозможности подойти). Поэтому обычно в качестве основного (а у большинства аппаратов - и единственного) объектива применяется зум с диапазоном "вокруг" нормального, например с ЭФР 35-90 или 35-105. Отношение "длинного" ЭФР к "короткому" называется кратностью зума, меряется в буквах "х" и часто гордо указывается на корпусе, особенно для плёночных мыльниц с длинными "хоботами". Многие считают, что чем больше "х", тем лучше. Но это далеко не так. То же относится и к "насадкам" на штатный объектив. Любой специализированный "ширик"/"телевик"/"макрик" снимает заметно лучше, чем универсальный зум с насадками.
Основные характеристики объективов:
- Главное фокусное расстояние (и возможность его изменения);
- Максимальное относительное отверстие (иногда неправильно называемое светосилой);
- Уровень и характер оптических искажений (аберраций);
- Разрешающая способность;
- Тип байонета или диаметр резьбы для крепления к камере для съёмных объективов.
Дополнительные и уточняющие характеристики:
- Рабочий отрезок или рабочее расстояние — для сменных объективов. В большинстве случаев опредлеляется типом байонета, имеет важное значение для резьбовых типов крепления (так. объективы с присоединительной резьбой М39×1 выпускались и под рабочий отрезок 28.8 мм для дальномерных камер Leica, ФЭД, и под рабочий отрезок 45.2 мм для зеркальных камер «Зенит»);
- Минимальное относительное отверстие (максимальное число диафрагмы, например 16 или 22) — определяется конструктивными особенностями диафрагмы;
- Минимальная дистанция фокусировки (МДФ), или максимальный масштаб макросъёмки для макрообъективов (например, 55 мм, 1:1) — определяется конструкцией оправы;
- Диаметр и шаг резьбы для присоединения светофильтров;
- Графики MTF (уточняют разрешающую способность);
- Число линз и групп линз. Большее количество линз позволяет конструкторам рассчитать объектив с лучше исправленными аберрациями, однако уменьшает светопропускание и повышает риск паразитных переотражений, снижающих контраст изображения. Кроме того, большее число поверхностей, которые надо полировать, увеличивает себестоимость производства и ужесточает требования к точности изготовления каждой детали. Именно поэтому до сих пор с успехом применяются и будут применяться такие простые оптические схемы, как Тессар;
- Наличие асферических линз;
- Вид просветления;
- Конструкция и особенности оправы и байонета. Например, «Помповая» оправа (от сходства с помповым ружьём)— изменение фокусного расстояния и наводка на резкость осуществляется одним кольцом, осевое перемещение которого меняет фокусное расстояние, а поворотом осуществляется наводка на резкость. Более традиционным является наличие двух различных органов управления.
Диафра́гма (от греч. Διάφραγμα — перегородка) — устройство объектива фотокамеры, позволяющее регулировать относительное отверстие, то есть изменять светосилу объектива — соотношение яркости оптического изображения фотографируемого объекта к яркости самого объекта, а также устанавливать необходимую глубину резкости.
19-лепестковая ирисовая диафрагма объектива Carl Zeiss Jena Sonnar T 300/4.
|
Устройство ирисовой диафрагмы:обычно состоит из нескольких (от 3 до 20) поворотных серповидных лепестков, приводимых в движение кольцом на оправе объектива или (в большинстве современных объективов) электроприводом, управляемым фотокамерой. При полностью открытой диафрагме лепестки формируют круглое отверстие, при частично закрытой — фигуру, близкую к многоугольнику. Этот «многоугольник» влияет на вид т.н. «боке» в части бликов от не попавших в глубину резкости точечных источников света. Считается, что чем больше лепестков в устройстве диафрагмы, тем более «красивое» получается «боке», на другие параметры «красивости» устройство диафрагмы не влияет. Все остальные конструктивные особенности диафрагмы повышают удобство, оперативность и точность работы.
Прыгающая диафрагма — особенность устройства диафрагмы и системы управления ею в современных зеркальных фотоаппаратах. До съёмки фотограф рассматривает изображение и производит фокусировку объектива при максимальном относительном отверстии (тем самым достигается максимальное удобство кадрирования и точность фокусировки), при нажатии на спусковую кнопку и перед срабатыванием фотографического затвора диафрагма скачкообразно с помощью пружины закрывается до заданного органами управления или автоматикой диафрагменного числа.
Механические сложности изготовления быстродействующего многолепесткового механизма прыгающей диафрагмы привели к тому, что некоторые объективы с прыгающей диафрагмой имеют намного меньше лепестков, чем их «непрыгающие» и тем более, «дальномерные» родственники.
6-лепестковая ирисовая диафрагма фотообъектива.
|
Нажимная диафрагма — Если отверстие диафрагмы изменяется под воздействием спусковой кнопки за счёт усилия её нажатия, без дополнительной пружины, такая диафрагма называется «нажимной». В остальном принцип её действия и применение идентичны прыгающей. Репетир диафрагмы — орган управления фотоаппаратом (кнопка, рычажок), осуществляющий закрытие прыгающей диафрагмы до заданного значения без съёмки. Такое действие требуется для правильной оценки ГРИП фотографом.
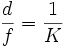
Относительное отверстие объектива — отношение диаметра действующего отверстия (диаметра действующей диафрагмы) объектива
к его главному фокусному расстоянию
. Его величину выражают в виде дроби:
, когда числитель приведён к единице.
Для всех объективов с фиксированным фокусным расстоянием справедливо также утверждение, что относительное отверстие приблизительно равно отношению фокусного расстояния к диаметру изображения диафрагмы, образованного передним компонентом и измеренного на главной плоскости объектива. Для неширокоугольных объективов упрощённо можно считать, что относительное отверстие приблизительно равно отношению фокусного расстояния к диаметру передней линзы объектива.
Относительное отверстие объектива уменьшают ирисовой диафрагмой, позволяющей менять её величину (как правило — ступенчато, однако существуют объективы и с плавной регулировкой). Перевод ирисовой диафрагмы на одно деление изменяет относительное отверстие в
раза, что даёт увеличение или уменьшение освещённости оптического изображения в два раза, за исключением первых двух чисел ирисовой диафрагмы, у которых такого изменения может и не быть.
Стандартные значения диафрагмы (относительного отверстия): 1/0,7; 1/1; 1/1,4; 1/2; 1/2,8; 1/4; 1/5,6; 1/8; 1/11; 1/16; 1/22; 1/32; 1/45; 1/64. Числа, указываемые на объективе или устанавливаемые на камере (5,6; 8; 11..) называются диафрагменными числами. Другими словами Диафра́гменное число— значение знаменателя текущего относительного отверстия объектива. Определяется отношением входного зрачка к заднему фокусному расстоянию f'/D. Чем выше число диафрагмы, тем уже относительное отверстие, и тем меньше света попадает на плёнку или матрицу цифрового фотоаппарата.
В современных автоматических и полуавтоматических фотоаппаратах, число диафрагмы может устанавливаться не только на значения стандартного ряда, но и на промежуточные величины.
Для примера:
- Диафрагма F/1.4 (≈ корень из 2);
- Возводим в квадрат получаем 2;
- Возводим в куб получаем ≈2,8;
- Возводим в 4-ю степень получаем 4;
- Возводим в 5-ю степень получаем ≈5,6;
-
И т.д.
Т.е. численное значение диафрагмы определяет следующие элементы фотографического процесса:
- экспозиция — с уменьшением отверстия на одну ступень поток света уменьшается вдвое, что требует увеличения вдвое времени выдержки, для сохранения правильной экспозиции;
- глубина резкости — чем меньше отверстие, тем больше глубина резкости;
- дифракция — черезмерное закрытие диафрагмы приводит к падению резкости изображения;
-
аберрации — чем меньше отверстие, тем ниже уровень аберраций и выше резкость, но только до определённого предела, далее резкость опять падает из-за влияния дифракции; - виньетирование — чем меньше отверстие, тем меньше виньетируется фотография. Виньетирование максимально при полностью открытой диафрагме и, обычно, становится малозаметным при закрытии диафрагмы до 2х раз.
Чем больше открыты лепестки объектива камеры, тем больше света проходит на светочувствительный элемент (матрица фотоаппарата или пленку). В дневное светлое время суток можно легко регулировать и контролировать диафрагму фотоаппарата, не волнуясь за то самое количество света. Но, когда общая освещённость снимаемого объекта мала, ваша фотография может получиться темной, если закрыть диафрагму фотоаппарата. Вы скажете, что можно увеличить ISO (чувствительность). Верно. Но у чувствительности есть шумовые характеристики, которые могут вам помешать при обработке и печати фотографии. Вы ответите: увеличиваем выдержку. Также верно для того случая, если вы запаслись штативом, чтобы при выдержке более 1\125 ваш кадр содержал какие-нибудь резкие детали.
Ламельный затвор
Дисковый затвор
|
Объективы фотокамер градируются шкалами диафрагм таким образом, что при переходе к соседнему значению шкалы освещённость кадра изменяется в два раза. Шкалы диафрагм: 1; 1.4; 2; 2.8; 4; 5.6; 8; 11; 16 и т.д. В такой маркировке есть значительное удобство. При переходе с диафрагмы 5,6 на диафрагму 8 мы получаем ровно вдвое меньше света и соответственно для получения той же экспозиции увеличиваем выдержку вдвое.
Небольшое значение диафрагмы (например f/16) даст наибольшую глубину резкости, т.е. и передний и задний план будут четкими на снимке. В свою очередь, например, f/5.6, сделает четкими только объекты, находящиеся на переднем плане. Задний план будет вне поля резкости и, соответственно, окажется размытым.
Затво́р фотографи́ческий — устройство, используемое для перекрытия светового потока, проецируемого объективом на фотоматериал или фотоматрицу. Путем открытия затвора на определенное время выдержки дозируется количество света, попадающего на чувствительную поверхность и тем самым регулируется экспозиция.
На заре фотографии фотоматериалы имели низкую чувствительность, выдержка измерялась часами, позднее — минутами и секундами, поэтому специальный механизм затвора камерам не требовался — его роль выполняла крышка объектива, а время, на которое она снималась для экспонирования фотопластинки, отсчитывалось фотографом по обычным часам или в уме. В дальнейшем требуемые выдержки сократились до десятых, сотых и тысячных долей секунды, поэтому для управления затвором потребовался сложный и точный механизм.
Затворы классифицируются по расположению в камере (апертурные: межлинзовые, залинзовые, фронтальные; фокальные) и по конструкции (дисковые; лепестковые; шторные: , ламельные; затворы-жалюзи и др.).
Дисковый секторный затвор состоит из вращающегося на оси металлического сектора с отверстием, который приводится в действие пружиной, связанной со спусковым рычагом. Затворы этого типа отличаются наименьшим числом деталей, что определяет наименьшую стоимость, повышенную надежность и уменьшение требований к точности изготовления. Однако их существенные недостатки — громоздкость (радиус диска не менее перекрываемого отверстия) и ограниченный диапазон выдержек привели к ограниченному применению, в основном в камерах начального уровня.
Затворы-жалюзи применяются крайне редко, так как требуют значительного пространства между линзами объектива, однако представляют практический интерес, обладая некоторыми преимуществами. Перекрываемое поле состоит из набора узких пластинок-ламелей, одновременно поворачивающихся вокруг осей. При открытом затворе пластинки направлены вдоль оптической оси. Для закрытия затвора достаточно повернуть все пластинки на 90°. Благодаря небольшой массе каждой отдельной пластинки инерционность затвора невелика и приводной механизм отличается простотой. Радиальный затвор-жалюзи, кроме основной задачи дозирования экспозиции, выполняет роль оттенителя — компенсатора падения освещённости от центра кадра к краям; избыточная освещенность в центре гасится центральной частью затвора. Коэффициент полезного действия затворов-жалюзи близок к КПД центральных затворов.
Центральный затвор, как правило, устанавливается между линзами объектива. Он представляет собой ряд тонких сегментов, приводимых в действие системой пружин и рычагов. При экспонировании сегменты открывают действующее отверстие объектива симметрично относительно его центра и, следовательно, сразу освещают поверхность светочувствительного элемента. Затвор-диафрагма, диафрагменный затвор — центральный затвор, максимальная степень раскрытия лепестков которого регулируется, за счет чего затвор одновременно выполняет роль диафрагмы. КПД центрального затвора составляет от 0,3 до 0,5, а минимальная выдержка 1/500 с. В качестве датчика времени в центральных затворах чаще всего используется простейший часовой анкерный механизм, а на коротких выдержках время открытия затвора регулируется силой натяжения пружин. Последние модели центральных затворов имеют электронный дозатор выдержки. В этих затворах лепестки удерживаются в открытом состоянии электромагнитами.
Преимущества центрального затвора перед шторными:
- Не искажают фотографическое изображение эффектами временно́го параллакса.
- Устойчиво работают на морозе.
- Благодаря открытию от центра к краям эффективное распределение света в световом пучке получается неравномерным по радиусу, и при этом центральная часть пучка открыта в течение большего времени, нежели края. В результате характер боке оказывается более близок к «математически правильному» распределению Гаусса. Особенно это заметно на затворах-диафрагмах.
Фокально плоскостной затвор, так же называемый шторным или шторно-щелевым затвором, представляет собой пару шторок (из прорезиненной ткани или металлических ламелей) со щелью между ними, регулируемой по ширине. Затвор приводится в действие системой пружин или электродвигателем. Во взведенном состоянии фотоматериал перекрыт первой шторкой. При спуске затвора она сдвигается под воздействием пружины, открывая путь световому потоку. По окончании заданного времени экспозиции световой поток перекрывается второй шторкой. На коротких выдержках две шторки движутся вместе, а время экспозиции регулируется шириной щели между ними. Перед началом съемки следующего кадра затвор взводится заново, вернув шторки в исходное положение.
Затвор может быть с вертикальным или горизонтальным ходом штор. Горизонтальный ход, как правило имеют затворы с прорезиненными шторками, вертикальный - с ламелями. В случае 35-мм фотокамер затвор с вертикальным ходом позволяет при прочих равных получить в 1,5 раза более короткую выдержку синхронизации, поскольку проходимый шторами путь в 1,5 раза короче (24 мм вместо 36 мм у затворов с горизонтальным ходом). Шторный затвор монтируется в непосредственной близости от фотоматериала и во время выдержки по мере передвижения щели вдоль кадра последовательно освещает его. КПД шторного затвора доходит до 0,95, а минимальная выдержка достигает 1/12000 с (Minolta 9 и 9xi).
Электронные затворы применяются в современной цифровой фототехнике, и представляют собой не отдельное устройство, а принцип дозирования экспозиции цифровой матрицей. Выдержка определяется временем между обнулением матрицы и моментом считывания информации с нее. Применение электронного затвора позволяет достичь более коротких выдержек (в том числе и выдержки синхронизации со вспышкой) без использования более дорогостоящих высокоскоростных механических затворов. Из недостатков электронного затвора можно выделить искажение изображения, вызванное последовательным чтением ячеек, а также повышенной вероятностью возникновения блюминга (например, при попадании в кадр солнца). Кроме того, выпускаются матрицы, имеющие индивидуальный электронный затвор в каждом пикселе. В этом варианте осуществляется настройка оптимального времени экспозиции для каждого пикселя в зависимости от уровня освещенности в данном участке кадра.
В зеркальных камерах обычно предусматривается режим полностью ручного управления временем открытия затвора- т.н. выдержка «от руки» или bulb. В этом режиме затвор не только открывается, но и закрывается по команде фотографа (после отпускания кнопки спуска или по повторному нажатию на неё). Как правило, это необходимо для обеспечения длительных выдержек (секунды, минуты, часы), камера при этом устанавливается на штативе, чтобы избежать шевелёнки.
Фотографический затвор характеризуется:
- Коэффициентом полезного действия (КПД), который выражает отношение количества света, прошедшего за время работы затвора, к количеству света, прошедшего за тот же период через «идеальный затвор». Чем больше величина этого коэффициента приближается к единице (а при процентном выражении — к 100 %), тем совершеннее работает затвор;
- Точностью и диапазоном выдержек;
- Степенью искажения изображения;
- Надежностью работы затвора в различных условиях фотографирования.
Вы́держка — интервал времени, в течение которого свет воздействует на участок светочувствительного материала для сообщения ему определённой экспозиции.
Колесико выбора выдержки на фотоаппарате Fujica STX-1.
|
Вре́мя экспони́рования — интервал времени, в течение которого затвор фотоаппарата открыт для получения кадра (экспонирования кадра), то есть в течение которого свет воздействует на светочувствительный материал в пределах всего поля изображения.
Если доступ света начинается и прекращается одновременно по всему полю изображения (например, центральным затвором), время экспонирования совпадает с выдержкой. При использовании шторного или обтюраторного затвора время экспозиции может многократно превышать выдержку. Например, на фотоаппаратах «ФЭД», «Зоркий», «Зенит» со шторным затвором все выдержки 1/60, 1/125, 1/250, 1/500, 1/1000 отрабатываются при времени экспонирования 1/30 секунды. Это, в частности, приводит к эффекту временно́го параллакса.
Во многих современных фотоаппаратах используется стандартная шкала выдержек в долях секунды, причем для коротких выдержек (меньше 1 секунды) числитель опускается, и выдержка описывается знаменателем: 8000 (1/8000 c), 4000 (1/4000 c), 2000 (1/2000 c), 1000 (1/1000 c), 500 (1/500 с), 250 (1/250 с), 125 (1/125 с), 60 (1/60 с), 30 (1/30 с), 15 (1/15 с), 8 (1/8 с), 4 (1/4 с), 2 (1/2 с), 1 с, 2 с …
B — «Bulb». Ручная выдержка (затвор открыт до тех пор, пока нажата кнопка спуска затвора или не поступит сигнал с пульта дистанционного управления)
Чем больше знаменатель выдержки, тем меньше экспозиция при фиксированном относительном отверстии диафрагмы, и тем темнее получается фотография. Для компенсации необходимо повышать чувствительность или изменять диафрагму. Кроме экспозиции, выдержка влияет на фиксацию движущихся объектов: длинные выдержки (обычно более 1/30 с) позволяют добиться эффекта «видимого движения», при котором объект превращается в размытые полосы. Короткие выдержки (обычно короче 1/500 с) дают «стоп-кадр», четко фиксируя объект. Длинные выдержки часто приводят к эффекту «шевеленки», появляющемуся из-за дрожания рук фотографа. Фотографии при этом получаются размытыми. При фотографировании статичных объектов от «шевеленки» можно избавиться, используя штатив или, до определенной степени, специальные объективы с подавлением вибрации.
При применении не имеющих такого оборудования фотоаппаратов и объективов, для отсутствия «шевелёнки» следует соблюдать эмпирическое правило: знаменатель выдержки должен быть больше числового значения эквивалентного фокусного расстояния объектива, приведённого к 35 мм плёнке. Если мощность излучения за время экспозиции переменна, то различают полную выдержку и эффективную выдержку (эффективная меньше полной). Эффективная выдержка — промежуток времени, за который на фотографический слой упало бы такое же количество света, что и за полную выдержку, если бы мощность излучения оставалась постоянной и равной её максимальному значению. Если изменение освещённости на слое связано с типом применяемого в фотографической камере затвора (например, центрального затвора, лепестки которого располагаются в зрачке объектива или вблизи него), то отношение эффективной выдержки к полной выдержке называется коэффициентом полезного действия затвора. КПД затвора тем больше, чем больше выдержка и меньше относительное отверстие объектива.
Произведение выдержки на освещённость называется экспозицией или количеством освещения. Одна и та же экспозиция может давать несколько различный фотографический эффект в зависимости от соотношения освещённости и времени выдержки, подобное фотохимическое явление называется явлением невзаимозаместимости.
Выдержки короче 1/250 используются в спортивной съёмке, репортажной и т. д. вплоть до съёмок физических экспериментов с выдержкой менее 1/1 000 000. Разумеется, более короткие выдержки требуют полностью открытой диафрагмы, хорошего освещения и высокочувствительной плёнки.
Экспози́ция — произведение освещенности светочувствительной матрицы (фотоплёнки) на время освещения. Выражается в лк×с (люксах на секунды). Экспозиция должна быть такой величины, чтобы позволить фотоматериалу с заданной чувствительностью получить количество света, нужное для сохранения изображения – это техническая характеристика каждой светочувствительной матрицы (фотоплёнки). Чем больше светочувствительность (ISO 50/100/200/400/800/1600/3200) матрицы (фотоплёнки), тем меньшая требуется экспозиция. Экспопара (выдержка и диафрагма) – технический синоним термина экспозиция. В некоторых современных видах оборудования представление об экспозиции (а также о выдержке и диафрагме) можно относить не только к фотоматериалу или устройству в целом, но и к отдельным его элементам и сочетаниям элементов.
Величина экспозиции, или время, в течение которого оптическая часть находится на свету при определенной интенсивности. Время регулируется выдержкой, а количество света — диафрагмой. Диафрагма определяет глубину резкости. Понимание взаимосвязи между диафрагмой и выдержкой помогает создавать интересные и правильно экспонированные фотоснимки. Автоэкспозиция сочетает либо быструю скорость срабатывания затвора (для уменьшения времени проникновения света в аппарат ) с большой величиной диафрагмы (в условиях яркого света), либо наоборот — малую скорость срабатывания затвора (увеличение времени выдержки) с небольшой диафрагмой (искусственное освещение). Для общей величины экспозиции абсолютно нет никакой разницы, какая именно величина будет выбрана. Здесь можно провести следующую аналогию. Когда вы наполняете какой-то сосуд водой, то можете сделать это малым напором струи (маленькая диафрагма) за длительный промежуток Нередко к выбору экспозиции нужно подходить более строго. Если предмет требует специфической установки скорости затвора или апертуры, то, используя программные возможности фотоаппарата, вы можете установить как желаемую выдержку, так и диафрагму. В этом случае вы получите нормальную экспозицию для съемки неподвижного предмета и достаточную глубину резкости в кадре. В большинстве случаев оптимальными являются следующие установки: средняя скорость срабатывания затвора (1/60 с и быстрее) и средняя диафрагма (f/5.6 и меньше). Меньшая скорость срабатывания затвора может отразиться на изображении в виде размытых контуров (эффект движения), особенно если фотокамера не удерживается на какой-либо опоре (например треножнике). Чтобы сделать оптимальный выбор скорости затвора следует времени (большая выдержка), либо увеличите напор струи (больший диаметр входного отверстия) за меньшее время (маленькая выдержка). У некоторых фотоаппаратов есть так называемое программное изменение, позволяющее вам выбирать любую эквивалентную комбинацию выдержки и диафрагмы, приближая экспозицию к потребностям съемки.
Если встроенный экспонометр выбрал 1/125 с с f/8 вы можете перейти к эквивалентным экспозициям 1/250 с сf/5.6 или 1/60 ccf/11 изображаемого пространства, т.е. на расстояние между ближайшими к аппарату и самыми дальними от него предметами. В этом диапазоне все детали сюжета кажутся на снимке одинаково резкими. Чем меньше диаметр действующего отверстия объектива, тем больше глубина резкости. При фотосъемке многих сюжетов большая глубина резкости, т.е. очень резкая передача деталей как на переднем, так и на заднем плане, чрезвычайно важна. В тех случаях, когда требуется четко передать лишь основной объект съемки и отделить его от фона, который мешает восприятию главной детали, или же выделить какую-то деталь снимка, необходима небольшая глубина резкости. Малая глубина резкости достигается применением большого относительного отверстия объектива (диафрагмы).
Недодержка.Изображение в целом слишком темное. Детали и области тени стали черными.
|
Оптимальная экспозиция
|
Передержка.Изображение в целом чересчур светлое. Детали и области светлых оттенков сливаются с общим фоном.
|
Измерение экспозиции (син. Замер экспозиции, Экспозамер) - это получение правильной для данных условий и для данной сцены экспопары. Экспопара вычисляется по результатам экспозамера с учетом эквивалентной чувствительности матрицы (чувствительности фотоплёнки), а иногда и других параметров кадра: контрастности, расстояния до объекта, фокусного расстояния. Освещенность фокальной плоскости (плотность светового потока) регулируется диафрагмой объектива. Увеличение диафрагмы на одну ступень (1EV) равносильно уменьшению выдержки в 2 раза или допускает уменьшение светочувствительности ISO в 2 раза.
Для передачи всего диапазона яркостей снимаемой сцены фотографическим процессом фотографическая широта должна быть больше диапазона сцены. Если это невозможно, экспопару надо выбирать так, чтобы фотографическая широта фотоматериала перекрывала диапазон яркостей сюжетно важной части сцены. Для этого применяют экспокоррекцию - сдвигают экспопару относительно результатов экспозамера, либо производят «точечный замер» нужной части сцены.
Экспокорре́кция— введение поправки в экспозицию снимка относительно определенной при помощи экспонометра (встроенного в фотоаппарат или отдельного устройства). Экспокоррекция означает задаваемый фотографом сдвиг экспозиции (сочетания времени выдержки и числа диафрагмы) относительно значения, вычисленного фотокамерой автоматически. Необходимость такой коррекции вызвана тем, что алгоритм расчёта экспозиции достаточно прост. Он считает, что все объекты имеют средне-серый цвет (18 % по шкале от чёрного к белому). Если сюжет съёмки не укладывается в эту модель, то автоматическая система ошибается. В то время как в плёночной фотографии эта проблема не столь существенна благодаря большой фотографической широте негативной плёнки, в цифровой фотографии это может стать заметной проблемой.
Экспозиция измеряется в логарифмических единицах, которые обозначаются EV (англ. exposure value) — величина экспозиции. Величина экспокоррекции задается также в этих единицах. Сдвиг экспозиции на 1 EV означает изменение количества света, попавшего на фотоматериал, в 2 раза.
Например, если вычисленные камерой параметры съёмки равны 1/50 сек (выдержка) и 1:8 (диафрагма), то экспокоррекция +1 EV приведёт к съёмке с параметрами 1/25 сек и 1:8 в режиме приоритета диафрагмы или 1/50 сек и 1:5,6 в режиме приоритета выдержки.
Обычно фотограф выбирает значение экспокоррекции на основе своего опыта, но общие рекомендации такие: съёмка светлых объектов или тёмного объекта на светлом фоне — +½…+1 EV, очень светлых — +1…+2 EV, съёмка тёмных объектов или светлого объекта на тёмном фоне — -½…-1 EV.
Совершенно очевидно, что для одной и той же внешней освещённости существует не одна "верная" экспозиция. Например, 2,0*1/2000c=2,8*1/1000c=4,0*1/500c=5,6*1/250c=8*1/125c=11*1/60c=16*1/30c (знак умножения здесь условен, обозначает лишь сочетание). Все эти экспозиции ОДИНАКОВЫ, т.е. дадут одинаковый по яркости результат. При бОльшей освещённости нужно ещё укоротить выдержку или прикрыть диафрагму и наоборот - при меньшей - удлинить выдержку или приоткрыть диафрагму. Таким образом, диафрагма при одних и тех же внешних условиях влияет на выдержку, т.к. они жёстко связаны между собой "верной" экспозицией. Иногда это полезно - например, при съёмке быстрых движений и спорта мы можем полностью открыть диафрагму - тогда выдержки станут максимально короткими и не будет "смаза" от движения объектов. И наоборот...
Кроме смаза от движения объекта, существует ещё т.н. "шевелёнка" - дрожание рук фотографа. Она коварна тем, что не поддаётся строгому измерению, т.к. является случайным процессом. Но "народный опыт" вывел очень усреднённое правило - шевелёнки следует бояться при выдержке (в сек) длиннее, чем 1/ЭФР(в мм). Т.е. при ЭФР=105мм лучше длиннее, чем на 1/100 без штатива не снимать. Таким образом, чем более длиннофокусен объектив, тем важнее ему иметь достаточную светосилу, т.к. длинные выдержки ему недоступны из-за шевелёнки (штатив пока не рассматриваем). И вот тут-то самое время вспомнить про "хоботы" "особопродвинутых" плёночных мыльниц. 35-140, 35-160, 35-200мм! "Круто"?! Пустые цифры и выброшенные деньги. Для сохранения компактности диаметр этих хоботков остался прежним, следовательно, светосила на "длинном" конце доходит до 12-16. Поскольку снимать можно только короче чем 1/200 - это только очень яркие объекты на ярком солнце. Как только оно зайдёт за тучку или объект уйдёт в тень - начнётся шевелёнка. Не говоря о вечере. Таскать же штатив вместе с компактной камерой слегка странно - проще иметь недорогую зеркалку, разница в размерах и весе гораздо меньше чем нормальный штатив.
Режимы изменения экспозиции по измеряемому световому потоку:
- По освещённости объекта. Измерение экспозиции специальным прибором экспонометром, а в случае применения импульсных источников света — флешметром, располагаемым в непосредственной близости от объекта съёмки и измеряя поток света, падающий на объект.
- По яркости объекта. Измерение светового потока от объекта экспонометром, располагаемым в непосредственной близости от съёмочного оборудования, или экспонометрической частью оборудования камеры).
Режимы изменения экспозиции по участию фотографа в процедуре измерения и выставлении экспопары:
- Полностью ручной режим. Все параметры съёмки выставляются вручную фотографом.
- Полуавтоматический. Один из параметров экспопары и, возможно, экспокоррекция, выставляются фотографом. Автоматика камеры измеряет экспозицию и подбирает второй параметр экспопары под заданные условия.
· Приоритет выдержки (Tv)
· Приоритет диафрагмы (Av)
- Автоматический с экспокоррекцией. Фотограф задаёт величину экспокоррекции, автоматика выставляет экспопару по результатам измерения экспозиции с поправкой.
- Полностью автоматический. Экспопара выставляется фотоаппаратом по результатам измерения.
Режимы изменения экспозиции по способу оценки и выбору частей кадра для измерения:
- Точечный замер экспозиции. При точечном замере экспозиции фотоаппарат измеряет освещённость только в небольшой точке изображения. Обычно это центр кадра, хотя многие аппараты позволяют задать эту точку и в других местах. Точечный замер используется, когда в сцене присутствуют объекты с большим диапазоном яркостей. Например, при наличии в кадре очень яркого источника света, использование точечного замера по сюжетно важной части объекта позволяет изобразить его корректно и проигнорировать лишнюю засветку. И хотя яркая область получится при этом с большой передержкой, нужный объект получится правильно.
- Центровзвешенный замер экспозиции. В этом режиме фотоаппарат использует для расчёта экспозиции информацию от всего изображения, но свету от центральной части кадра придаётся больший вес. Это означает, что камера ожидает нормальной экспозиции по всему полю кадра, придавая особое значение центру, где обычно находится основной объект съемки.
- Матричный замер экспозиции. В этом режиме фотоаппарат измеряет освещённость в нескольких фиксированных точках кадра, причём более «продвинутые» камеры делают это в большем числе точек, чем недорогие, а затем, на основе интеллектуальных алгоритмов, пытается предположить сюжет кадра и подобрать ему подходящую экспозицию. Например, если камера видит, что верхняя часть кадра заметно светлее нижней, то она предполагает съемку пейзажа, при наличии объекта недалеко от камеры в центре — съёмку портрета и т. д.
Приоритет диафрагмы — режим работы фотоаппарата с автоматическим измерением экспозиции. В этом режиме фотограф устанавливает нужное число диафрагмы, а время срабатывания затвора (выдержка) выбирается камерой автоматически на основе измерения освещённости, чувствительности фотоматериала, заданной экспокоррекции. Традиционно, этот режим камеры обозначается как Av (или A). Режим приоритета диафрагмы используется в тех случаях, когда фотограф хочет сам контролировать глубину резкости и аберрации. Задавая малое отверстие (большое число диафрагмы), можно получить большую глубину резкости, уменьшить аберрации (до определённого предела). Напротив, большое отверстие позволяет эффективно отделить объект от фона или придать ему необходимую мягкость. При этом мягкость заключается не столько в мягком фокусе, сколько в минимизации глубины резкости, которая может составлять всего долю миллиметра (применительно к реальному объекту, а не его изображению). При этом края предмета, если только он не совсем плоский, и съёмка ведётся перпендикулярно ему, уже становятся нерезкими. Подобного эффекта можно добиться и при обработке фотографии в графическом редакторе на компьютере, но при этом пропадает естественность такого изображения, хотя позволяет добиться иного видения.
Съемка с диафрагмой f/32
| Съемка с диафрагмой f/5,6
|
Подведём краткий итог: диафрагма позволяет управлять экспозицией, и при фиксированном освещении жёстко связана с выдержкой - чем "открытее" диафрагма, тем короче выдержка. Чем выше светосила, тем в более тёмных условиях можно снимать (при фиксированной выдержке) либо тем с более короткой выдержкой можно снимать (при фиксированной освещённости). Далее значение диафрагмы, влияющее на экспозицию, мы ещё будем называть яркостной диафрагмой (ниже будет понятно почему).
По законам оптики расстояния от объектива до плёнки и до объекта съёмки жёстко связаны. Если мы хотим "навести" объектив скажем на объект в 3м от аппарата, мы (вручную или средствами автоматики) передвигаем его относительно плёнки(матрицы) на нужное расстояние - это и называется фокусировка (в автоматическом случае - "автофокус"). А что же происходит с объектами "не в фокусе", например на расстоянии 3,5 метра? Из элементарной геометрии следует, что каждая точка вместо точки сфокусируется в пятнышко, тем большего диаметра, чем более открыта диафрагма и чем сильнее удалён объект от "правильного" расстояния(на которое сфокусирован объектив). Практика показывает, что средний человеческий глаз при рассматривании фотографий 13*18см практически не различает разницы для диаметра пятнышка около 1/1500 диагонали кадра. Применяя элементарную геометрию и формулы линзы, несложно вывести формулы для тех расстояний, для которых пятно нерезкости будет в точности равно 1/1500 диагонали. Всё что между ними будет изображаться "практически резко". Если "дальнее" из двух расстояний конечно, то разницу между ним и "ближним" принято называть ГРИП (Глубина Резко Изображаемого Пространства).
ГРИП (глубина резко изображаемого пространства, или глубина резкости) в фотографическом деле — расстояние между ближней и дальней границами пространства, измеренное вдоль оптической оси, при нахождении в пределах которого объекты находятся в фокусе (на снимке получаются достаточно резко). ГРИП — понятие не строго математическое, поскольку плоскость фокусировки всегда одна. Любая точка любой другой плоскости пространства будет отображаться пятном нерезкости. Чем больше диаметр такого пятна, тем нерезче объект. Считается, что если пятно нерезкости меньше 0,1 мм при рассматривании изображения с расстояния 25 см, человеческий глаз воспринимает его как резкое.
На глубину резко изображаемого пространства влияет значение установленной диафрагмы, формат плёнки (или размер светочувствительной матрицы) и расстояние до объекта фокусировки (съёмки).
При прочих равных условиях, глубина резкости будет увеличиваться:
- при уменьшении значения диафрагмы (увеличении диафрагменного числа),
- при увеличении расстояния до объекта съемки,
- при уменьшении размера светочувствительного материала.
Соответственно, при прочих равных условиях, глубина резкости будет уменьшаться:
- при увеличении значения диафрагмы (уменьшении диафрагменного числа),
- при уменьшении расстояния до объекта съемки,
- при увеличении размера светочувствительного материала.
Широко распространено утверждение, что ГРИП зависит также от фокусного расстояния объектива, то есть у телеобъективов при прочих равных условиях ГРИП меньше, чем у широкоугольных объективов. Это утверждение некорректно, так как при различном фокусном расстоянии и прочих равных условиях получаются кадры, которые некорректно сравнивать. Если же получить ими сравнимые кадры, то ГРИП окажется одинаковой.
При репортажной съемке, то есть съемке событий, имеет смысл добиваться максимальной ГРИП, чтобы на снимке было видно больше деталей. При съемке портретов и в художественной фотографии, наоборот, иногда стараются уменьшить ГРИП, чтобы выделить человека или объект из фона. При съемке на пленочные фотоаппараты есть одна особенность: чувствительность пленки фиксирована и следовательно для изменения ГРИП, изменяя диафрагму, важно остаться в пределах допустимой выдержки большинства пленочных фотоаппаратов. (1/30 — 1/500). Пример: Пленка ISO-100, портрет, солнечный день. Все в пределах допустимого, то есть диафрагма для портрета открыта максимально (2 — 2,8), чтобы создать минимальную ГРИП, выдержка — 1/125 — 1/500. Все получается отлично, но фото, на которой ГРИП должна быть максимальной, а следовательно диафрагму необходимо закрыть, выдержка переходит в диапазон меньше 1/30, что делает невозможной съёмку без использования штатива. Поэтому при выборе светочувствительности плёнки необходимо учитывать эту особенность и делать выбор приблизительно таким образом:
| Солнечно | Пасмурно | Темно | |
| Минимальная ГРИП | ISO-100 | ISO-200 | ISO-400 |
| Максимальная ГРИП | ISO-800 | ISO-1600 | ISO-3200 |
Приоритет выдержки — режим работы современного фотоаппарата с автоматическим изменением экспозиции. В этом режиме фотограф устанавливает нужную ему продолжительность срабатывания затвора (выдержку), а число диафрагмы выбирается камерой автоматически на основе измерения освещённости, чувствительности фотоматериала, заданной экспокоррекции. Режим приоритета выдержки используется в тех случаях, когда фотограф хочет сам контролировать размытие движущихся объектов. Задавая короткую выдержку, объект можно «заморозить», более длинную — задать ему нужную степень нечёткости. Традиционно, этот режим камеры обозначается как Tv (или S).
Низкая скорость затвора 1/15
| Высокая скорость затвора 1/125
|
При съемке водопада с низкой скоростью затвора, передается динамичное движение падающей воды, и вся масса воды выглядит, как белое полотно. При съемке спортивных игр или других быстрых действий, низкая скорость затвора может быть установлена намеренно. Тогда объект получается смазанным, и это позволяет передать динамику движения непрерывно движущихся объектов.
ISO (International Organization for Standardization) – характеристика, определяющая чувствительность матрицы, к попадающему на неё свету. До времён цифры фотографы были вынуждены не менять ISO, как мы делаем это сейчас, а меня всю плёнку, так как ранее именно плёнка обладала светочувствительностью. В большинстве случаев, это значение увеличивается в более тёмное время суток или тёмном помещении, либо уменьшается при достаточном количестве света. Для большинства камер число ISO 100 является наиболее оптимальным, так как при этом значении шумы на матрице фотоаппарата минимальны или их вообще нет. При увеличении числа ISO мы получаем более светлый кадр в тёмное время суток, но теряем его качество из-за того, что на кадре появляются световые шумы – точки по всему кадру. На более дорогих и современных камерах, шумы не видны и при ISO 800-1000.
Для ISO стоит придерживаться простого правила: чем меньше значение ISO - тем лучше для кадра. Чаще всего используется значение 100-200. Установка и использование значения ISO 400 должно быть оправдано. Чаще это соглашение с тем, что будут искажения в цветопередаче, четкости, будут локальные пересветы и конечно же - шум.

Таблица стандартных значений чувствительности фотопленки (матрицы):
Легко заметить, что каждое значение ISO в два раза отличается от соседнего. Поэтому, закон экспозиционной пары действует и здесь. В таблице, приведённой ниже, увеличивается чувствительность матрицы на 3 ступени, при этом диафрагма осталась прежней. Выдержка так же менялась вместе с увеличением чувствительности, только в противоположную сторону, поэтому опять имеет место эквивалентные экспозиционные пары, только уже с учётом чувствительности матрицы ISO:
| 1/2000 | 1/1000 | 1/500 | 1/250 | 1/125 | 1/60 | 1/30 | 1/15 |
| f/4 | f/4 | f/4 | f/4 | f/5.6 | f/8 | f/11 | f/16 |
Можно заметить, что произведение квадрата знаменателя диафрагмы и знаменателя выдержки
делённое на чувствительность ISO есть число постоянное для данных условий съёмки:
( 4² × 500 ) : 200 = ( 4² × 250 ) : 100
Увеличив чувствительность - мы как бы сказали электронному блоку фотоаппарата, что надо усилить сигнал полученный с каждого пикселя. К сожалению, уровень развития электроники на сегодняшний день такой, что, усиливая электрический сигнал, мы усиливаем и помехи - любые посторонние сигналы не исходящие от объекта съёмки. Такие помехи называются электронным шумом, а на фотографии они заметны в виде серых и белых точек. Чем меньше света может различить каждый пиксель матрицы, тем меньше нам приходится усиливать сигнал, тем меньше на снимке будет шумов. Чем крупнее (в разумных пределах) пиксель, тем больше его площадь, тем больше света он способен уловить. Разные фотоаппараты при увеличении чувствительности матрицы шумят по-разному. Это зависит, прежде всего, от размера пикселей, физического размера матрицы, количества пикселей на матрице, а так же от алгоритма работы электронного фильтра-шумоподавителя.
Развивая тему физического размера матрицы можно сказать, что шумность кадра и величину ISO влияет так называемый кроп-фактор. Кроп – пропорция между диагональю матрицы цифровой камеры и диагональю плёнки 24х36 мм. На сегодняшний день у полупрофессиональных зеркальных камер и любительских зеркалок кроп=1.6-1.7. У полноформатных камер кроп равен единице, что означает идентичность размера матрицы и кадра плёнки 24х36 мм. Чем больше размер матрицы тем меньше шум на одинаковых значениях ISO с более младшими собратьями.
Размер матрицы является определяющей характеристикой для диапазона ISO, в котором можно снимать, не страдая от проявления шума. Одна из причин этого - то, что пиксели на больших матрицах имеют больший размер и, соответственно, воспринимают больше света. Например, если вы возьмете две четырехмегапиксельные матрицы, одна из которых по размеру в два раза больше второй, то она будет шуметь меньше. Поскольку модели фотоаппаратов, рассчитанные на основную массу покупателей, имеют маленькие матрицы, то шум - это проблема.
Итак, подведём маленький итог – значение ISO позволяет делать снимки в менее освещённом пространстве, а значит получать кадры, которые не могут быть сняты в обычных условиях. Также значение ISO позволяет сократить выдержку и уменьшить диафрагму, что в конечном итоге даст нам преимущество при съёмке быстрых кадров – спортивных состязаний, животных и прочих быстродвигающихся предметов и тел.
Баланс белого (ББ) — это процесс цветокоррекции, в результате которой объекты, которые глаз видит как белые, будут показаны белыми на вашем снимке. Баланс белого камеры должен принимать во внимание «цветовую температуру» источника освещения, которая подразумевает относительную теплоту или холодность белого света. Наши глаза достаточно хорошо отличают белый при различных источниках света, но для цифровых камер автоматический баланс белого (AWB) часто создаёт большие трудности. Неверный баланс белого может породить синюшные, восковые или даже трупно-зелёные оттенки, которые выглядят неестественно и особенно портят портреты. Применение ББ в традиционной плёночной фотографии означало использование различных оттеночных фильтров, каждый для определённых условий съёмки, но в цифровой фотографии это больше не требуется. Понимание цифрового ББ поможет вам избежать искажений цвета, вызванных AWB вашей камеры, и тем самым повысить качество ваших снимков при расширенном диапазоне условий освещения.
|
|
| Неверный баланс белого | Корректный баланс белого |
Цветовая температура описывает спектр света, который отражается от «абсолютно чёрного тела» в зависимости от температуры его поверхности. Абсолютно чёрным называется тело, которое поглощает любой падающий свет, ни отражая его, ни пропуская. Примерным аналогом излучения абсолютно чёрного тела в быту может служить нагретый металл или камень: говорят, что они накалены (до «красного каления»), когда они достигают определённой температуры, и доведены до «белого каления» при значительно более высоких температурах. Аналогично, абсолютно чёрные тела при различных температурах покажут светимость различной цветовой температуры. Несмотря на название, свет, который может казаться белым, необязательно содержит полный видимый спектр:
|
Относительная интенсивность нормализована для каждой температуры (в Кельвинах).
5000 K производит примерно нейтральный свет, тогда как 3000 K и 9000 K порождают свет, спектр которого смещён в оранжевую и синюю стороны, соответственно. При нарастании цветовой температуры распределение цвета становится более холодным. Это может показаться интуитивно непонятным, но следует из того факта, что более короткие длины волн несут свет более высокой энергии.
Почему цветовая температура является полезным описанием света для фотографов, если они никогда не имеют дела с абсолютно чёрными телами? К счастью, такие источники света, как дневной свет или вольфрамовые лампы накаливания, создают спектры света, практически аналогичные светимостям абсолютно чёрных тел, хотя другие источники, такие как флюоресцентные или большинство продающихся энергосберегающих ламп, существенно от них отличаются. Поскольку фотографы никогда не используют термин «цветовая температура» применительно к настоящим абсолютно чёрным телам, этот термин подразумевает «коррелированную цветовую температуру», с соответствующей окраской источника света. Следующая таблица демонстрирует на пальцах коррелированную цветовую температуру некоторых распространённых источников света:
| Цветовая температура | Источник света |
| 1000-2000 K | свечи |
| 2500-3500 K | лампы накаливания |
| 3000-4000 K | восход и закат (чистое небо) |
| 4000-5000 K | флюоресцентные лампы |
| 5000-5500 K | вспышка |
| 5000-6500 K | дневной свет при чистом небе (солнце в зените) |
| 6500-8000 K | умеренная облачность |
| 9000-10000 K | тень или сильная облачность |
Безусловно, наилучшим решение вопроса баланса белого является съёмка в формате RAW (если ваша камера его поддерживает), поскольку он позволит вам задать ББ после того, как снимок был сделан. Файлы RAW позволят также задать ББ на основе более широкого диапазона цветовой температуры и сдвига зелёного.
Применить ББ к файлу RAW легко и просто. Вы можете либо передвигать слайдеры цветовой температуры и сдвига зелёного до получения естественных тонов, либо просто нажать на нейтральный эталон в изображении. Даже если только один из ваших снимков содержит нейтральный эталон, вы можете использовать полученные с его помощью параметры настройки ББ на всех остальных изображениях (при условии, что свет не менялся).
Нейтральный эталон часто используется для критичных по цвету проектов или для ситуаций, когда автоматический баланс белого вызывает проблемы. Нейтральные эталоны могут являться частью сцены или могут быть заранее припасены.
| <== предыдущая лекция | | | следующая лекция ==> |
| Диффузионная модель. Для этой же системы реакций при использовании диффузионной модели структуры потоков, модель реактора будет выглядеть следующим образом: | | | УЧЕБНИКИ |
Дата добавления: 2015-08-14; просмотров: 2617;

Схема монокля У. Уоллостона
Ламельный затвор
Дисковый затвор
Колесико выбора выдержки на фотоаппарате Fujica STX-1.
Недодержка.Изображение в целом слишком темное. Детали и области тени стали черными.
Оптимальная экспозиция
Передержка.Изображение в целом чересчур светлое. Детали и области светлых оттенков сливаются с общим фоном.