Подобие гидравлических турбин
Для обобщения и анализа исследований индивидуальных характеристик (рисунок 8.23) модельных образцов турбин турбобуров заданных размеров (DM ,
M и т.д.), испытанных в определенных условиях, т.е. при определенном расходе жидкости QM и ее физических свойствах, при создании новых турбин пользуются общей теорией подобия, которая предполагает:
1) геометрическое подобие - пропорциональность линейных размеров, шероховатостей модели и натуры и равенство сходственных углов входных и выходных элементов лопаток;
2) кинематическое подобие, т.е. подобие полей скоростей (полигонов) в сходственных точках модели и натуры;
3) динамическое подобие, т.е. пропорциональность сил, действующих на сходственные элементы модели и натуры.
Первое условие обеспечивается одинаковым масштабом линейного моделирования и равенством конструктивных углов:

Кинематическое подобие предусматривает соотношения скоростей:

Поскольку основными силами, действующими в потоке жидкости, являются силы вязкости и инерции, условие динамического подобия соответствует равенству чисел Рейнольдса: Re Н = Re M.
В большинстве случаев турбины работают в условиях автомодельности, когда определяющим фактором является не число Re, а шероховатость, т.е. для подобия достаточно двух первых условиях.
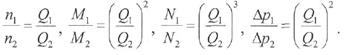
Чтобы определить показатели работы турбин данной серии (Ке = const) при различных расходах и физических свойствах жидкости, необходимо составить следующие соотношения.
Так, числа оборотов вращения вала двух турбин одной серии равны:
Зная, что осевая скорость Сz турбины равна Cz =
, получим

вращающие моменты:

мощности турбины:

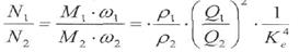
перепад давления в турбинах:

Если турбины турбобура работают на одной и той же жидкости (р = const), топри изменении подачи насоса на основании общих формул подобия можно определить все показатели работы:

При испытаниях турбин моделирование не применяется, но, при пересчете характеристик односерийных турбобуров различных диаметров формулы подобия необходимы.
Дата добавления: 2015-07-10; просмотров: 809;
