Световое давление
Фотон — частица света, представляющая собой квант электромагнитного излучения с энергией hv. Понятие о световых квантах впервые появляется в работах А.Эйнштейна, связанных с объяснением законов внешнего фотоэффекта. Подтверждением этой гипотезы послужили эксперименты, связанные с регистрацией электромагнитного излучения чрезвычайно малой интенсивности, когда удалось обнаружить флуктуации интенсивности света, доказывавшие, что свет распространяется в виде дискретных частиц (опыты С.И.Вавилова, опыт Боте)
Исходя из закона взаимосвязи массы и энергии, можно определить массу фотона

Фотон — частица, движущаяся со скоростью света и имеющая массу покоя, равную нулю. Импульс фотона

Выражения (5) и (6; связывают корпускулярные характеристики фотона — массу, импульс и энергию с волновой характеристикой света — его частотой v. Масса фотона очень мала, но для жесткого рентгеновского излучения она уже сравнима с массой электрона, а для τ-излучения даже превышает массу электрона.
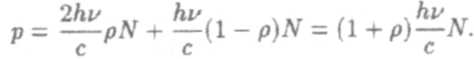
Рассчитаем световое давление, которое оказывает монохроматический пучок света частотой v при нормальном падении на поверхность, имеющую коэффициент отражения ρ. Если за 1 с на 1 м2 поверхности падает N фотонов, то от поверхности отразится N фотонов, а (1 - ρ)N — поглотится. Каждый поглощенный фотон передает поверхности импульс hv/c, а каждый отраженный — 2hv/c. Давление ρ света равно импульсу, переданному поверхности за 1 с N фотонами
|
Учтем, что величина hvN равна интенсивности света:
|

поэтому световое давление

Отметим, что к таким же результатам приводит электромагнитная теория Максвелла.
Экспериментально световое давление было обнаружено в опытах П.Н.Лебедева. Измерения подтвердили правильность соотношения (8) и, в частности, оказалось, что давление на отражающую поверхность (ρ = 1) вдвое больше, чем на зачерненную пластинку (ρ = 0).
Дата добавления: 2015-08-11; просмотров: 860;
