Расчет основных параметров центробежных насосов
Для перекачки нефтей и нефтепродуктов, в основном, используются центробежные насосы. Их характеристики приводятся в специальных каталогах. Они представляет собой зависимость напора (Н), потребляемой мощности (N), к.п.д. (η) и допустимого кавитационного запаса (hдоп) от подачи (Q) насоса.
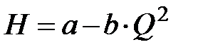
Учитывая, что возможность пользоваться каталогами центробежных насосов имеется не всегда, удобно представлять их характеристики в аналитическом виде. Напорная характеристика центробежных насосов магистральных нефтепроводов (зависимость напора Н от производительности Q) имеет вид полого падающей кривой и аналитически может быть представлена выражением
(1.12)
где a, b, – постоянные коэффициенты.
Дата добавления: 2015-07-10; просмотров: 1398;
