Формулы подобия
Обычно характеристики насосов определяют опытным путем для одного значения частоты вращенияи одной жидкости. Если в условиях эксплуатации насоса эти параметры изменяются, то характеристики насоса можно пересчитать на основе теории подобия.

Теория подобия насосов основывается на трех видах подобия: геометрического, кинематического и динамического.
Для соблюдения геометрического подобия необходимо обеспечить подобие основных форм и размеров модельного и натурного насосов. Например
dМ / dН = bМ / bН
Кинематическое подобие предполагает, что отношение скоростей модели и натуры в соответствующих точках должно сохраняться постоянным. Например
U2М / U2Н = V2М / V2Н
Динамическое подобие предполагает подобие процессов передачи энергии от рабочего колеса к жидкости.
Теоретические напоры при бесконечном числе лопаток согласно формуле Эйлера пропорциональны произведению двух скоростей окружной и тангенциальной, а коэффициент влияния числа лопаток одинаков для геометрически подобных колес.
При конструировании изготовляется модельный насос малых размеров, технические параметры которого пересчитываются на насос больших размеров (натурный) с помощью общих формул подобия
(30)
(31)
(32)
В этих формулах
параметр геометрического подобия.
(33)
- среднеквадратичная шероховатость проточной части насоса.
Соответствующие геометрические размеры указаны на рис.14.1

Рис 14.1
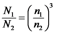
Технические показатели насосов могут изменяться, если изменять число оборотов вала. Они меняются в соответствии с частными формулами подобия:
(27)
(28)
(29)
Индекс 1 относится к оборотам n1 , индекс 2 - к оборотам n2.
Центробежные насосы часто изготовляются сериями. Все насосы одной серии геометрически подобны друг другу.
Дата добавления: 2015-07-10; просмотров: 2245;
