Деформации
Деформирование – это процесс изменения размеров тела.
Деформация – это число, которое характеризует изменение размера тела.
Рассмотрим растяжение бруса. В результате деформирования малый элемент получит абсолютное удлинение на величину
.
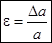
Определение: Относительным удлинением (синоним - линейная деформация) называется величина:

Правило знаков. Согласно определению понятия «приращение» запишем
. Отсюда следует, что если элемент удлиняется, то
, а значит
, если элемент укорачивается то
, и значит
.
Примечание: Часто понятия растяжение и удлинение используют как синонимы. Однако это не так, понятие растяжение (сжатие) - это силовая характеристика, удлинение (укорочение) – геометрическая. Иногда бывает и так, что элемент сжат, но не деформируется (например, при нагреве элемента, зажатого в жесткой обойме) или даже удлиняется.
Рассмотрим теперь другой вид деформирования элемента тела под действием касательных воздействий.

|
Под действием
прямой параллелепипед превращается в косоугольный.
Угол
называется деформацией сдвига (синонимы: угол сдвига, сдвиг).
Дата добавления: 2015-08-11; просмотров: 843;
