Сток твердый, модуль – величина годового твердого стока рек (Mт) в тоннах с 1 км2 площади водосбора.
Расчет гидрологических характеристик при отсутствии данных гидрометрических наблюдений – величины среднего многолетнего стока и коэффициента вариации следует определять интерполяцией между значениями полученными для рек-аналогов по данным наиболее продолжительных рядов гидрометрических наблюдений или приведенными к многолетнему периоду в рассматриваемом районе с учетом влияния местных факторов (карст выходы подземных вод особенности геологического строения бассейна характер почв (грунтов) промерзание и пересыхание рек различия в средних высотах водосборов и др.).
Величины среднего многолетнего годового стока и коэффициента вариации допускается определять по совместным картам этих параметров, опубликованным в официальных документах Госкомгидромета в области гидрологии.
Коэффициент вариации годового стока Сv определяется по формуле
Cv=a /
0,4(A+1000)0,1,
где a – параметр, определяемый по данным рек-аналогов, л/с;
– средний многолетний годовой модуль стока, л/(с×км2);
А – площадь водосбора реки до расчетного створа, км2.
Для определения внутригодового распределения стока воды при наличии данных гидрометрических наблюдений за период не менее 15 лет принимаются следующие методы:
- распределение стока по данным рек-аналогов,
- метод компоновки сезонов.
Форма водосбора реки-аналога должна быть по возможности подобна форме водосбора исследуемой реки; для этого должны быть выполнены следующие приближенные равенства:
,
,
где L, La – длина исследуемой реки и реки-аналога, соответственно;
I, Ia – уклон исследуемой реки и реки-аналога;
F, Fa – площадь водосбора исследуемой реки и реки-аналога.
Внутригодовое распределение стока рассчитывается по водохозяйственным годам, начиная с многоводного сезона. Границы сезонов назначаются едиными для всех лет с округлением до месяца. Деление года на периоды и сезоны производится в зависимости от типа режима реки и преобладающего вида использования стока. Продолжительность многоводного периода включает половодье за все годы. Период года и сезон, в котором естественный сток может лимитировать водопотребление, принимаются за лимитирующий период и лимитирующий сезон. В лимитирующий период входят два смежных сезона, из которых один является наиболее неблагоприятным в отношении использования стока (лимитирующий сезон).
Для рек с весенним половодьем за лимитирующий период принимаются два маловодных сезона: лето-осень и зима. При преобладании водопотребления на сельскохозяйственные нужды за лимитирующий сезон принимается лето-осень, а для гидроэнергетики и в целях водоснабжения – зима. Для высокогорных рек с летним половодьем при преимущественно ирригационном использовании стока за лимитирующий период принимается осень-зима и весна, а за лимитирующий сезон – весна.
Расчет испарения с водной поверхности и суши – довольно точным методом определения суммарного испарения за многолетний период (год или гидрологический год) выступает метод водного баланса. Испарение Е рассчитывается как замыкающий член уравнения X = Z + E, где X – годовые атмосферные осадки, Z – годовой суммарный сток. К преимуществам данного способа относится наличие массового материала Гидрометеослужбы страны по осадкам и стоку для бассейнов средних и малых рек. Метод позволяет получить данные по испарению для физико-географических зон, подзон, провинций, реже ландшафтов. Точность измерений, после введения поправок на осадки, достаточно велика. Недостатки водобалансового метода – невозможность получения данных по испарению за короткие периоды (декады, месяцы, сезоны года) и данных для локальных физико-географических единиц (фаций, подурочищ, урочищ). В 60-е гг. ХХ в. были введены поправки к показаниям осадкомера на испарения из осадкомерного ведра, на смачивание стенок прибора и на выдувание зимних осадков.
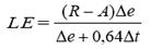
Величину испарения можно рассчитывать, определяя затраты тепла на испарение теплобалансовым методом. Он разработан в Главной геофизической обсерватории имени А. И. Воейкова. В основу расчета затрат тепла на испарение положены данные срочных наблюдений за температурой и абсолютной влажностью воздуха на двух высотах, в частности, для лугов на высотах 50 см и 200 см от поверхности. Одновременно фиксируется значение радиационного баланса и определяется поток тепла в почву. Когда (R – А) ≥ 0,10 кал/см2•мин, Δе < 0,1 мб, Δt ≥ 0,1 °С, суммарное испарение LE рассчитывается по формуле:
,
где R – радиационный баланс, А – альбедо, Δе – разность абсолютной влажности воздуха на высотах 50 и 200 см от поверхности, Δt – разность температуры воздуха для тех же высот.
В том случае, когда (R – А) < 0,10 кал/см2•мин, Δе < 0,1 мб и Δt < 0,1°, или когда нет данных по радиационному балансу и потоку тепла в почву, используют другие формулы, в которых фигурирует ΔU – разность скоростей ветра на высотах 200 и 50 см, разность температур воздуха и абсолютной влажности воздуха на высотах 50 и 200 см.
Для специфических поверхностей (снега, воды) найдены формулы, позволяющие определить испарение за разные интервалы времени – часы, сутки, декады, месяцы и т. д. Так, А. Р. Константиновым получена формула расчета испарения с поверхности снега за сутки:
, мм/сут,
где tn – температура поверхности снега, t2 – температура воздуха на высоте 200 см, U10 – скорость ветра на высоте 10 м (по флюгеру), еп– упругость водяного пара (мб), определяемая по температуре поверхности снега, e2 – упругость водяного пара на высоте 200 см от поверхности земли (снежного покрова).
Для расчета испарения с поверхности водоемов используется формула А.П.Браславского и З.А.Викулиной (модифицированная формула Б.В. Полякова) с эмпирическими коэффициентами:
Е = 0,13 (е0 – е2)(1 + 0,72U2) τ, мм/период,
где е0– максимальная упругость водяного пара в миллибарах при температуре поверхности воды, е2 – абсолютная влажность воздуха на высоте 200 см, U2 – скорость ветра над водной поверхностью на высоте 200 см, τ – число суток в расчетном периоде.
Сток наносов – См. Наносы, сток.
Сток – перемещение воды, сформированной за счет атмосферных осадков, по поверхности (поверхностный сток) или внутри почвы (подземный сток) в реки, моря и понижения рельефа. Сток может быть русловой и склоновый (вне русла). На практике различают до 20 различных видов стока, где учитываются природа стока, состав стекающих вод, их природа, приуроченность к определенным элементам рельефа и т. п. Сток, являясь прежде всего продуктом климата, влияет на формирование рельефа (эрозия, перенос и отложение продуктов денудации), естественный дренаж и орошение, геохимические процессы в земной коре, развитие почвенного покрова, распределение растительности и т.п. В свою очередь, величина и режим стока зависят от:
- количества и режима осадков, испарения, температурных условий;
- характера рельефа, который оказывает двоякое влияние на сток: изменяет абсолютную величину стока и перераспределяет его в пространстве. Выпуклые формы рельефа обычно способствуют увеличению стока, вогнутые – уменьшению его;
- геологического строения и почвенного покрова, что определяется мощностью влагоемкой толщи, механическим составом, стратификацией отложений различного механического состава, насыщенностью влагой и водными свойствами почв и грунтов;
- растительности территории. Растительный покров уменьшает сток.
Размер стока определяют по количеству воды, стекающей с условно выбранной единицы суши за какой-либо условно выбранный промежуток времени. Сток может быть выражен средним расходом воды. Сток – составное звено влагооборота на Земле.
Подземный сток – перемещение подземных вод в толще почв и горных пород под действием гидравлического напора и силы тяжести; составная часть круговорота воды на Земле. Подземный сток характеризует естественные ресурсы подземных вод, находящихся под дренирующим воздействием рек, озёр, морей или безводных отрицательных форм рельефа. Выражается в виде модуля (л/сек•км2) или слоя воды (мм/год), а также в м3/сутки и км3/год. В практике гидрогеологических исследований обычно определяются модули и коэффициенты поверхностного стока, показывающие (часто в %), какая часть атмосферных осадков идёт на питание подземных вод.
Сток поверхностный– процесс перемещения воды по земной поверхности под влиянием силы тяжести. Поверхностный сток делится на склоновый и русловой. Склоновый сток образуется за счёт дождевых и талых вод, происходит на поверхности склона вне фиксированных путей. Русловой сток проходит по определённым линейным направлениям – в руслах рек, днищах оврагов и балок. Поверхностный сток характеризуется объёмом воды, стекающей по поверхности (модуль стока), выраженным в л/сек×км2 или слоем мм в год или за какой-либо другой период.
Сток базовый –часть расхода речной воды, которая формируется в процессе медленного просачивания грунтовых вод в русло реки. Базовый сток является основным ресурсом речного стока в засушливые периоды. Он относительно постоянен по объему, хотя может несколько увеличиваться в дождливую погоду.
Сток подземный – см. Подземный сток.
Сток речной – см. Речной сток.
Сток твердый (сток наносов) – влекомые по дну, взвешенные и растворенные частицы. Определяется как суммарное количество наносов в тоннах, проносимое рекой через живое сечение за длительный промежуток времени (сутки, месяц, год).
Сток твердый, модуль – величина годового твердого стока рек (Mт) в тоннах с 1 км2 площади водосбора.
Стока минимального расчет – см. Расчет минимального стока.
Стока норма – среднее значение водного стока за многолетний период.
Стока объем W (м3, км3) – количество воды, стекающей с водосбора за какой-либо интервал времени (сутки, месяц, год и т. д.); определяется по формуле:
W = Q•T,
где Q – средний расход за расчетный период времени, м3/с,
Т – число секунд в том же периоде времени.
Воднобалансовая площадка – участок склона, ограниченный от окружающей территории водонепроницаемой стенкой, заглубленной до водоупора, и оборудованный устройствами и приборами для измерения поверхностного и подземного стока. В районе такой площадки организуются наблюдения за всеми остальными элементами водного баланса.
Расход водыобязательный попусковый – наименьший расход воды из водохранилища, необходимый для удовлетворения условий водопотребления и водопользования в нижнем бьефе с учетом санитарного состояния реки, рыбного хозяйства, судоходства и других нужд экономики.
Водное законодательство – комплекс правовых норм, регулирующих отношения, связанные с использованием и охраной водных ресурсов.
Водное сечение – поперечное сечение водного потока. Различают живое сечение, где скорость можно измерить, и мёртвое пространство (с застоем воды).
Водное хозяйство – отрасль народного хозяйства, занимающаяся изучением, учётом, планированием комплексного использования, регулированием водных ресурсов, охраной вод от загрязнения и истощения, транспортировкой их к месту назначения (потребления).
Водность – 1. наличие воды, степень накопления воды в водоемах; 2. относительная характеристика стока за определенный интервал времени по сравнению с его средней многолетней величиной или величиной стока за другой период того же года. Различают малую, среднюю и большую водность.
Водомер – прибор для измерения уровня или расхода воды.
Водомерный пост – устройство для систематического измерения уровня воды на реках, морях, озёрах, каналах. Состоит из приспособления для отсчёта уровня воды и реперов – геодезических сооружений, закрепляющих положение точки, высота которой определена. Реечные водомерные постыоборудованы деревянной или металлической рейкой с делениями, прикреплённой вертикально (рис., б) к сооружению (мосту, плотине и т.п.), а свайные водомерные посты – сваями, забитыми в одном створе перпендикулярно к берегу (рис., а). Сначала одна свая устанавливается на уровне нуля графика (5-ая на рис., а). Затем выше нее, через определенную высоту (0,5 м; 1 м) с помощью нивелира устанавливаются другие сваи. Головку верхней сваи располагают на 0,25...0,50 м выше наивысшего уровня воды, а головку нижней – на такое же значение ниже самого низшего уровня. Сваи нумеруют по порядку, начиная с верхней, и для каждой отмечается ее высота относительно нуля графика. Уровни отсчитывают по переносной рейке (длиной около 1,5 м с делениями через 1 см), которую ставят вертикально на ближайшую к берегу сваю, находящуюся под водой. В этом случае отметка головки сваи будет нулем водомерных наблюдений. К относительной высоте сваи прибавляют измеренную высоту воды над сваей и получают отметку уровня воды. Например, свая № 4 находится на высоте 100 см над нулем графика и скрыта под водой на 12 см. Следовательно, уровень воды находится на отметке Н = 100 + 12 = 112 см.
| Рис. Устройство водомерных постов: а – свайного, б – реечного |
Если подход к рейке затруднён (например, крутой берег), устанавливают передаточные водомерные посты, которые позволяют производить отсчёт на расстоянии. Для непрерывной записи колебаний уровня служат самопишущие приборы – самописцы уровня воды. Дистанционные водомерные посты оборудованы механическими, электрическими, радио- или другими системами, передающими показания уровня к месту отсчёта. Наблюдения на водомерных постах производятся ежесуточно в определённые, строго установленные сроки.
Водонепроницаемый горизонт – см. Горизонт водонепроницаемый.
Водоносность реки –то же, что и средний многолетний расход воды или средний многолетний объём годового стока с её бассейна.
Самые полноводные реки мира
| № п/п | Название реки | Местонахождение | Годовой сток (км3) |
| 1. 2. 3. 4. 5. 6. 7. 8. 9. 10. | Амазонка Конго Янцзы Ориноко Парана Енисей Миссисипи Лена Меконг Иравади | Южная Америка Африка Евразия Южная Америка Южная Америка Евразия Северная Америка Евразия Евразия Евразия | 6 915 1 419 |
Водосбор (водосборная площадь, водосборный бассейн) – часть поверхности суши, с которой поверхностные воды стекают в какой-либо водоем, для которого определена данная водосборная площадь. Таким водоемом может быть озеро, ручей, река, море. Границами водосбора являются водораздельные линии, проходящие по наивысшим отметкам между соседними водными объектами, и ограничивающие территорию с которой вода поступает в водный объект.
Вода дренажная – вода, поступающая из почвенного слоя в дренажную сеть и транспортируемая ею за пределы осушаемого ландшафта.
Вода минерализованная – вода, содержащая в растворенном состоянии более 1 г/л солей. Выделяют воды:
а) слабосоленые (солоноватые) с минерализацией до 3 г/л,
6) среднесоленые с минерализацией 3-10 г/л,
в) сильносоленые с минерализацией 10-35 г/л.
г) рассолы – при минерализации более 35 г/л.
Подземные воды, содержащие соли и газы, используемые для лечебных целей, называются минеральными.
Минеральные воды – (обычно подземные) воды с повышенным содержанием некоторых биологически активных компонентов (СО2, H2S, As и др.) и часто обладающие повышенными температурой и радиоактивностью. По составу выделяют углекислые, сероводородные, железистые и другие минеральные воды. Границей между пресными и минеральными водами обычно считают общую минерализацию 1г/л. В зависимости от химического состава и физических свойств минеральные воды используют в качестве наружного или внутреннего лечебного средства.
Морская вода – вода на земной поверхности, сосредоточенная в морях и океанах. Характеризуется постоянством солевого состава, в котором основную массу составляют ионы Cl -, Na+, SO42-, Mg2+, Ca2+, K+, растворенные газы и незначительное количество органических веществ. В открытых частях океана морская вода, в среднем, содержит солей 35 г/кг. Соленость морской воды обычно выражается в промилле (‰).
Среднее содержание химических элементов в морской воде
| Элемент | % | Элемент | % | Элемент | % |
| H | 10,7 | Co | 5·10–8 | Ce | 1,3·10–10 |
| He | 5·10–10 | Ni | 2·10–7 | Pr | 6·10–11 |
| Li | 1,5·10–5 | Cu | 3·10–7 | Nd | 2,3·10–11 |
| Be | 6·10–11 | Zn | 1·10–6 | Sm | 4,2·10–11 |
| B | 4,6·10–4 | Ga | 3·10–9 | Eu | 1,1·10–10 |
| C | 2,8·10–3 | Ge | 6·10–9 | Gd | 6·10–11 |
| N | 5·10–5 | As | 1·10–7 | Dy | 7,3·10–11 |
| О | 85,8 | Se | 1·10–8 | Ho | 2,2·10–11 |
| F | 1,3·10–4 | Br | 6,6·10–3 | Er | 6·10–11 |
| Ne | 1·10–8 | Kr | 3·10–8 | Fm | 1·10–11 |
| Na | 1,035 | Rb | 2·10–5 | Yb | 5·10–11 |
| Mg | 0,1297 | Sr | 8·10–4 | Lu | 1·10–11 |
| Al | 1·10–6 | Y | 3·10–8 | W | 1·10–8 |
| Si | 3·10–4 | Zr | 5·10–9 | Au | 4·10–10 |
| P | 7·10–6 | Nb | 1·10–9 | Hg | 3·10–9 |
| S | 0,089 | Mo | 1·10–6 | Tl | 1·10–9 |
| Cl | 1,93 | Ag | 3·10–3 | Pb | 3·10–9 |
| K | 0,038 | Cd | 1·10–8 | Bi | 2·10–8 |
| Ca | 0,04 | In | 1·10–9 | Ra | 1·10–14 |
| Sc | 4·10–9 | Sn | 3·10–7 | Ac | 2·10–20 |
| Ti | 1·10–7 | Sb | 5·10–8 | Th | 1·10–9 |
| V | 3·10–7 | I | 6·10–6 | Pa | 5·10–15 |
| Cr | 2·10–9 | Cs | 3,7·10–8 | U | 3·10–7 |
| Mn | 2·10–7 | Ba | 2·10–6 | ||
| Fe | 1·10–6 | La | 2,9·10–10 |
Состав солевой массы морской воды регулируется растворимостью, сносом осадков с материков, процессами обмена с атмосферой и осадками дна (в основном карбонатными и силикатными равновесиями), а также жизнедеятельностью морских организмов.
Элементы, содержание которых в морской воде не превышает 1 мг/л, называются микроэлементами. Вследствие отсутствия в океане условий, способствующих накоплению микроэлементов в воде, огромные их количества переходят из растворенного состояния в осадок, образуя крупные рудные месторождения на дне. Микроэлементы оказывают большое влияние на биологические процессы в океане – на фотосинтез и обмен веществ растений и животных. Некоторые микроэлементы служат индикаторами многих процессов в океане, в частности, используются для выяснения генезиса и структуры водных масс, их циркуляции. Данные о распределении микроэлементов в океане необходимы для решения ряда практических вопросов – поиска и использования минеральных ресурсов морского дна, контроля загрязнения морских вод тяжелыми металлами и т. д.
Морская вода, агрессивные свойства – свойства, вызывающие коррозию и разрушение погруженных в нее инженерных сооружений. Морская вода является природным раствором, занимающим одно из первых мест по агрессивности воздействия на металлы, железобетон и другие материалы. Агрессивные свойстваморской воды обусловливаются сравнительно высоким содержанием растворенных в ней солей и вследствие этого высокой ее электропроводностью, растворенным кислородом, концентрацией водородных ионов и щелочностью среды.
Морская вода, плотность – отношение массы единицы объема морской воды при температуре, которую она имела в море, к массе такого же объема дистиллированной воды при температуре 4°С. Это определение, принятое в океанологии, отличается от используемого в технике. Но поскольку плотность дистиллированной воды при 4°С равна 1 г/см3 (1000 кг/м3), то плотность морской воды численно равна плотности ее в общепринятом понимании и имеет ту же размерность. Для определения плотности морской воды обычно пользуются океанологическими таблицами.
С повышением солености, увеличением глубины и понижением температуры воды плотность морской воды увеличивается. Только в распресненных водах в диапазоне от температуры наибольшей плотности до температуры замерзания (например, от 4 до 0°С для пресной воды) с понижением температуры плотность морской воды уменьшается. Пределы изменения плотности морской воды в Мировом океане от 1,000 до 1,028 на поверхности и до 1,076 г/см3 на глубине 11 тыс. м. С увеличением глубины плотность морской воды растет не монотонно, а так, что на промежуточной глубине наблюдается слой скачка, с которым связаны такие явления, как внутренние волны, жидкий грунт, мертвая вода, звукорассеивающий слой. Плотность поверхностных вод убывает от 1,028 г/см3 в субполярных и полярных районах Мирового океана до 1,022-1,023 г/см3 на экваторе.
| Плотность морской воды как функция температуры и солености |
Морская вода, соленость – см.Соленость воды.
Морская вода, теплоемкость – см.Теплоемкость морской воды.
Морская вода, теплопроводность – см.Теплопроводность морской воды.
Морская вода, удельный объем – физическая величина, обратная плотности морской воды и равная отношению объема, занимаемого водой, к ее массе. Измеряется в куб. см/г. Почти всегда меньше единицы, причем 1-я цифра после запятой обычно равна девяти. Значения удельного объема в зависимости от температуры, солености и давления морской воды приводятся в океанологических таблицах.
Морская вода, цвет – см. Цвет морской воды.
Морская вода, щелочность –свойство морской воды, определяемое содержанием в ней анионов слабых кислот и катионов, эквивалентных этим кислотам. Щелочность морской воды зависит, главным образом, от ее солености и содержания в воде углекислого газа. Общая щелочность практически определяется двумя составляющими – карбонатной щелочностью, зависящей от суммарного содержания карбонатных и бикарбонатных ионов, и боратной щелочностью, зависящей от содержания ионов борной кислоты. Вклад ионов фосфорной, кремниевой, сероводородной и органической кислот в общую щелочность морской воды незначителен. Установление обшей щелочности морской воды и ее составляющих имеет большое значение для расчетов карбонатной системы океана.
Морские течения – поступательные движения масс воды в морях и океанах, обусловленные различными силами (действием силы трения между водой и воздухом, градиентами давления, возникающими в воде, приливообразующими силами Луны и Солнца). На направление морских течений большое влияние оказывает сила вращения Земли, отклоняющая течения в Северном полушарии вправо, в Южном – влево.
Общая схема течений в океане

Основные течения на поверхности Мирового океана: 1 – Прибрежное антарктическое; 2 – Антарктическое циркулярное (2а – южная ветвь Антарктического циркулярного течения). Атлантический океан: 3 – Фолклендское; 4 – Южноатлантическое; 5 – Игольное; 6 – Бразильское; 7 – Бенгельское; 8– Южное пассатное; 9 – Ангольское; 10 – Гвианское; 11 – Экваториальное противотечение; 12 – Гвинейское; 13 – Зеленого Мыса; 14 – Антильское; 15 – Северное пассатное; 16 – Канарское; 17 – Гольфстрим; 18 – Североатлантическое; 19 – Лабрадорское; 20 – Ирмингера; 21 – Баффиново; 22 – Западно-гренландское. Индийский океан: 23 – Южноиндоокеанское; 24 – Мадагаскарское; 25 – Западноавстралийское; 26 – Южное пассатное; 27 – Сомалийское; 28 – Экваториальное противотечение; 29 – Западноаравийское; 30 – Восточноаравийское; 31 – Западнобенгальское; 32 – Восточнобенгальское. Тихий океан: 33 – Западноновозеландское; 34 – Восточноновозеландское; 35 – Восточноавстралийское; 36 – Южнотихоокеанское; 37 – Перуанское; 38 – Южное пассатное; 39 – Перу-Чилийское; 40 – Экваториальное противотечение; 41 – Минданао; 42 – Северное пассатное; 43 – Мексиканское; 44 – Калифорнийское; 45 – Куросио; 46 – Северотихоокеанское; 47 – Ойяси; 48 – Алеутское; 49 – Аляскинское; 50 – Восточноберинговоморское. Северный Ледовитый океан: 51 – Норвежское; 52 – Нордкапское; 53 – Восточногренландское; 54 – Западное арктическое
Морские течения различаются:
1) по происхождению – вызываемые
- трением ветра о поверхность моря (ветровые, или дрейфовые, течения),
- неравномерным распределением температуры и солености воды (плотностные течения),
- наклоном уровня (стоковые течения),
- приливообразующими силами Луны и Солнца и т.д.;
2) по характеру изменчивости
- постоянные (устойчивые) – Северные и Южные Пассатные, Гольфстрим и др.,
- временные – муссонные течения северной части Индийского океана, которые меняют направление в зависимости от летнего и зимнего муссонов и др.,
- периодические (приливного происхождения);
3) по расположению
- поверхностные – перераспределяют верхний слой воды в Океане, во взаимодействии с атмосферой перемещают тепло и влагу, осуществляют кислородный обмен между Мировым океаном и атмосферой,
- подповерхностные,
- промежуточные,
- глубинные – мощные холодные глубинные потоки идут от полюсов к экватору, обуславливая перемещение воды в Океане,
- придонные – способствуют полному перемешиванию воды. Поднимаясь на поверхность, они выносят холодные придонные массы, богатые органическими веществами – пищей для рыб;
4) по физико-химическим свойствам
- теплые,
- холодные. Тёплым течение называют, если температура воды течения выше температуры окружающих вод, если ниже – холодным. Тёплые течения движутся из низких широт в высокие (Гольфстрим), а холодные – из высоких в низкие (Лабрадорское). Течения с температурой окружающих вод называются нейтральными,
- опресненные,
- соленые.
Вода поверхностная– воды, постоянно или временно находящиеся на поверхности Земли. К ним относятся воды рек, озер, болот, временных водотоков, ледников, снежного покрова и др.

Вода подземная – см. Подземные воды.
Вода почвенная – см. Влага почвенная.
Вода пресная – см. Пресные воды.
Водные объекты, ассимилирующая способность – см. Ассимилирующая способность водного объекта.
Водные пути – водные пространства, используемые для судоходства и сплава леса; наиболее экономичный для перевозки грузов и пассажиров вид путей сообщения.
Водные ресурсы – пригодные для использования в народном хозяйстве воды рек, озёр, каналов, водохранилищ, морей и океанов, подземные воды, почвенная влага, вода (льды) ледников, водяные пары атмосферы. Общий объём (единовременный запас) водных ресурсов приблизительно 1390 млн. км3, из них около 1340 млн. км3 – воды Мирового океана. Менее 2% относится к пресным водам (35,8 млн. км3), а доступны для использования всего 0,3%. Теоретически водные ресурсы неисчерпаемы, так как при рациональном использовании они непрерывно возобновляются в процессе влагооборота. Однако потребление воды растёт такими темпами, что во многих странах ощущается недостаток водных ресурсов, усиливающийся с каждым годом. Большую опасность вызывает загрязнение природных вод, вызванное сбросом в них сточных вод.
Водный баланс – см. Баланс водный.
Водный баланс суши – характеризуется основной зависимостью: количество атмосферных осадков, выпадающих на данной территории, равно сумме испарения, стока и накопления (или расхода) воды в верхних слоях литосферы. Для всего земного шара за годичный период и для средних многолетних условий его отдельных территорий последний член водного баланса равен нулю.
Водный баланс России по бассейнам морей
| Бассейны морей | Площадь, тыс.км2 | Элементы водного баланса | Коэффициент водного стока | |||||
| Объем, км3 | Слой, мм | |||||||
| Осадки | Сток | Испарение | Осадки | Сток | Испарение | |||
| Белого и Баренцева | 0,48 | |||||||
| Балтийского | 0,34 | |||||||
| Черного и Азовского | 0,18 | |||||||
| Каспийского | 0,21 | |||||||
| Карского | 0,36 | |||||||
| Лаптевых, Восточно-Сибирского и Чукотского | 0,49 | |||||||
| Берингова, Охотского и Японского | 0,42 |
Водный кадастр – систематизированный свод сведений о водных ресурсах стран. Включает гидрологическую изученность основных гидрологических характеристик и ресурсы поверхностных вод.
Водный периметр – полная протяженность речного ложа и речных берегов, находящихся в постоянном контакте с водой, если рассматривать их в поперечном разрезе.
Дата добавления: 2015-08-11; просмотров: 4039;
