Оценка эффективности ракетного двигателя
Очевидно, что эффективность РД можно оценивать только с позиций ЛА, т.е. критерии качества РД должны вытекать из целей ЛА как объекта высшего уровня иерархии. Из курса ОУЛА известно, что критерием эффективности УБР является конечная скорость
ступени или Л А в момент окончания активного участка: чем больше значение
, тем больше будет дальность полета при фиксированной полезной нагрузке. Идеальное значение конечной скорости в конце активного участка полета (действует только сила тяги ДУ, нет атмосферы и поля тяготения Земли) определяет формула К.Э.Циолковского:
, (3.1)
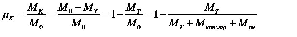
где
- массовое число;
- конечная масса в момент окончания АУТ;
- соответственно массы топлива, конструкции ракеты и полезной нагрузки;
- эффективная скорость истечения рабочего тела.
Отсюда ясно, что необходимо увеличивать значение удельного импульса
(
), увеличивать мaccу топлива на борту и снижать массу конструкции двигательной установки. Создавать двигатели сложно, но сущест-вует экзогенность целей, т.е. их наперед ясность разработчикам.
Из (3.1)следует, что конечная скорость линейно зависит от удельного импульса при постоянном массовом числе
. Неизбежные потери скорости на преодоление силы тяжести, сопротивление атмосферы и противодавление атмосферы (уменьшение удельного импульса) при вариации удельного импульса в связи с рассмотрением различных топлив меняются по разному в зависимости от ограничений по нагрузке на тягу, массу топлива, и собственно тягу. Влияние удельного импульса возрастает с увеличением дальности полета. Для УБР с дальностью 12 000 км и удельным импульсом в пустоте 2500 м/с увеличение
на 1% приводит к росту дальности на 600 км. Для УБР средней дальности (L=2500 км) с тем же значением удельного импульса увеличение
на 1% приводит к росту дальности всего на 70 км.
Степень влияния массы конструкции двигательной установки на конечную скорость ЛА зависит от того, на какой ступени он установлен. Для первой ступени масса ракеты существенно больше массы конструкции ДУ и поэтому влияние изменения массы конструкции ДУ на конечную скорость последней ступени незначительно. А масса конструкции двигателя последней ступени вносит свой вклад в значения
и оказывает существенное влияние на конечную скорость ЛА.
Дата добавления: 2015-08-11; просмотров: 1777;
