Комплексные сопротивления и проводимости
Отношение комплексного напряжения к комплексному току называют комплексным сопротивлением цепи и обозначают
.
,
где R, X и z – активное, реактивное и полное сопротивления цепи.
С другой стороны:
.
Тогда полное сопротивление z получим из соотношений:

В случае последовательного соединения элементов R,L,C комплексное сопротивление запишется в виде:
.
Отношение комплексного тока к комплексному напряжению называют комплексной проводимостью цепи и обозначают
:
,
где
– активная, реактивная и полная проводимости цепи.
Поскольку комплексная проводимость есть величина обратная комплексному сопротивлению, то:
.
Пусть:
;
.
Тогда:
.
С другой стороны:
.
Тогда полную проводимость у получим из соотношений:

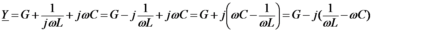
В случае параллельного соединения элементов G,L,C комплексная проводимость запишется в виде:
.
Очевидно, что
.
Перевод комплексных величин в показательную форму:
J2
1. Находим модуль:
.
2. Находим аргумент:
.
Окончательно:
.
J2
1. Находим модуль:
.
2. Находим аргумент:
.
Окончательно:
.
Перевод показательных величин в комплексную форму:
;
.
Дата добавления: 2015-08-11; просмотров: 753;
