Активное, индуктивное и ёмкостное сопротивления

Сила тока на всех элементах одинакова и равна силе входного тока:

Напряжения на элементах цепи:
опережает ток на
отстает от тока на
.
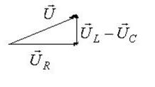
В цепях постоянного тока общее напряжение рассчитывается арифметическим сложением напряжений на элементах цепи, но в цепях переменного тока такое сложение громоздкое. Поэтому для расчёта общего напряжения проще воспользоваться методом
| или |
|
векторных диаграмм: 

Из закона Ома:
Из треугольника напряжений рассчитать модуль вектора напряжения:

Разделив стороны треугольника напряжений на
, получим треугольник сопротивлений:

-импеданс(общее сопротивление цепи) можно определить из треугольника сопротивлений:
.
Если
, то в цепи наблюдается резонанс напряжений – резкое возрастание напряжения, при котором
Дата добавления: 2015-08-08; просмотров: 1660;
