Основные уравнения электрических цепей. Законы Кирхгофа.

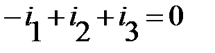
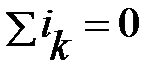
Первый закон Кирхгофа является следствием закона сохранения заряда, т.е. приходящий за определенное время к узлу заряд, равен заряду, уходящему за то же время от узла. Следовательно, заряд в узле не накапливается и не расходуется. Таким образом, первый закон Кирхгофа имеет следующую формулировку: алгебраическая сумма токов в ветвях, сходящихся в узле, равна нулю. В дальнейшем будем в уравнениях, составленных по первому закону Кирхгофа, считать токи, направленные к узлу отрицательными, а токи, направленные от узла положительными.

R1
R2
R3
R4
i4
i3  
i2
i1

i1
i2
i3

 

Первый закон Кирхгофа применим не только к узлу, но и к любому контуру электрической цепи, поскольку и в данном случае накопление заряда отсутствует. Контуром называется замкнутый путь, проходящий по нескольким ветвям. В зависимости от числа контуров, различают одноконтурные и многоконтурные схемы.

Если к узлу присоединен источник тока, то ток этого источника также необходимо учитывать.

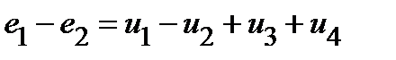
Второй закон Кирхгофа формулируется следующим образом: алгебраическая сумма ЭДС в любом контуре цепи равна алгебраической сумме падений напряжения на элементах этого контура:

.

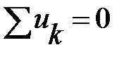
Зачастую используют и другую формулировку: алгебраическая сумма напряжений на зажимах ветвей, входящих в контур, равна нулю:

.

Обход контура осуществляют в произвольно выбранном направлении, (например по часовой стрелке) с соблюдением следующего правила: все контурные ЭДС и падения напряжения, совпадающие с выбранным обходом, записываются с одинаковыми знаками. При этом следует помнить, что падения напряжения совпадают по направлению с током.

 

R1
u1
e1
e2
R2
R3
R4
u3
u2
u4
u12
u34
u41
u32
i1
i3
i4
i2

 

 

Закон Джоуля-Ленца. Мгновенная мощность p [Вт], рассеянная в сопротивлении R при протекании электрического тока i, равна:

.

Энергия [Вт∙с], потребляемая сопротивлением, начиная от момента времени равного нулю и до некоторого момента времени t, будет равна:

.








Дата добавления: 2015-08-11; просмотров: 1177;


Поиск по сайту:

При помощи поиска вы сможете найти нужную вам информацию.

Поделитесь с друзьями:

Если вам перенёс пользу информационный материал, или помог в учебе – поделитесь этим сайтом с друзьями и знакомыми.
helpiks.org - Хелпикс.Орг - 2014-2026 год. Материал сайта представляется для ознакомительного и учебного использования. | Поддержка
Генерация страницы за: 0.009 сек.