Общие определения цепей и их параметров
Электрической цепьюназывается совокупность устройств, состоящая из источников, преобразователей и приемников электрической энергии, которые соединяются проводами, образуя замкнутые пути для протекания электрического тока.
Элементы электрической цепи, осуществляющие преобразование различных видов энергии в электромагнитную, называются источниками(генераторами), или активными элементами цепи.
Элементы, осуществляющие необратимое потребление электромагнитной энергии или ее накопление, являются пассивными элементами.
Необратимое потребление энергии осуществляется в резистивном элементе R. При выбранных направлениях тока и напряжения, связь между ними выражается законом Ома
,где R [Ом] – сопротивление элемента – параметр интенсивности потребления энергии.
| uR = R∙ i |
| R |
| uR |
| i |
Зачастую пользуются обратным соотношением:
, где
– проводимость элемента [1/Ом]; [Cм].
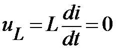
Накопление магнитной энергии осуществляется в индуктивном элементе (индуктивности) L [Г]; [Вб/А]; [Ом∙с], в котором при протекании изменяющегося во времени тока i изменяется потокосцепление
и наводится ЭДС самоиндукции
(закон Фарадея - Максвелла), которая противодействует изменению потокосцепления, что и учитывается знаком минус. Для преодоления ЭДС самоиндукциик зажимам индуктивного элемента необходимо от внешнего источника приложить равное, но противоположное по знаку напряжение
. Для линейных схем L не зависит от тока i.
Таким образом, если ток постоянен, то напряжение на индуктивности
.
| L |
| e |
| i |
| uL |
|
|
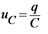
Процесс накопления энергии в электрическом поле осуществляется в емкостном элементе С [
]; [
], ток которого
определяется скоростью изменения заряда на обкладках емкостного элемента. В свою очередь заряд связан с напряжением между обкладками выражением
, где С – емкостьэлемента, определяющая интенсивность накопления энергии электрического поля.
| С |
| uC |
| i |
|
Пассивные элементы могут быть линейными и нелинейными.
Цепь, составленная из линейных элементов, называется линейной, а связь между напряжением и током описывают линейные уравнения (алгебраические или дифференциальные).
Параметры нелинейных элементов зависят от величины напряжения и тока, а электрические процессы в них описывают нелинейные уравнения.
Дата добавления: 2015-08-11; просмотров: 870;
