Расчет ВВП. Методы. Основные схемы счетов.
Центральный показатель СНС – ВВП, для расчета которого используют три метода.
| Методы расчета ВВП |
| Производственный метод |
| Распределительный метод |
| Метод конечного использования |
| ВВП=∑ВДС(основ. ц) = ∑ВВ (основ. ц) - ∑ПП + Н – С = ∑ВДС + ЧНП + ЧНИ, где Н – налоги на продукты и импорт; С – субсидии на продукты и импорт. Метод позволяет охарактеризовать структуру ВВП с точки зрения отраслей (секторов) экономики и оценить их вклад в производство. Данные расчета ВВП производственным методом используются в счете производства СНС. В рыночных ценах ВВП рассчитывается по формуле: ВВП рын. ц = ∑ВВ основ. ц - ∑ПП + ЧНП + ЧНИ |
| ВВП = КП + ВС + Сэи + Ср, где КП – сумма конечного потребления; ВС – валовое сбережение, которое определяется суммой прироста запасов оборотных средств и капиталовложений; Сэи – сальдо экспорта и импорта; Ср - статистическое расхождение; Данные расчетов используют в счете использования располагаемого дохода, операций с капиталом и в счете «Остальной мир» |
| ВВП = ОТ + ЧНП + ЧНИ + ВПЭ + ВСД, где ОТ – оплата труда наемных работников; ЧПН – чистые налоги на производство; ЧНИ – чистые налоги на импорт; ВПЭ – валовая прибыль экономики; ВСД – валовые смешанные доходы (от собственности и предпринимательства). Данные расчетов используются в счете «Образование доходов» |
Для характеристики динамики ВВП и анализа структурных изменений валового выпуска используют систему индексов.
Таблица 37
| Индекс | Методика расчета и содержание индекса |
| Индекс стоимости ВВП | ,
- ВВП отчетного периода в текущих ценах;
- ВВП базисного отчетного периода в текущих ценах
|
| Индекс-дефлятор ВВП |
|
| Индекс ВВП (в динамике) |
-индекс численности занятых в экономике;
- индекс фондоотдачи;
- индекс фондовооруженности
|
| Анализ структурных изменений валового выпуска | Коэффициент абсолютных структурных сдвигов:
Позволяет сравнивать изменения в структуре за несколько лет.
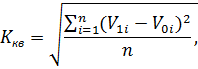
Квадратический коэффициент структурных сдвигов:
Где n – число частей в структуре совокупности (количество частей в отчетном и базисном годах должно совпадать).
Интегральный коэффициент структурных сдвигов Гатева:
где , - доля i-части ВВП в общем итоге ВВП соответственно в отчетном и базисном периодах.
Коэффициент Гатева изменяется в пределах от 0 до 1. Если значение близко к 0, то структурные сдвиги незначительны; если равен 1, то структура изменилась кардинально.
|
| Индекс физического объема ВВП |
|
Для исчисления индексов физического объема ВВП и его компонентов показатели ВВП, оцененные первоначально в текущих ценах, переоценивают в постоянные цены, в качестве которых обычно используют текущие цены какого-нибудь периода, принятого за базу сравнения. Различают несколько методов исчисления ВВП и его компонентов в постоянных ценах.
Методы переоценки ВВП:
-метод дефлятирования с помощью индексов цен:
=
,
где
- стоимость ВВП отчетного периода в сопоставимых ценах.
-метод переоценки по элементам затрат – дефлятирование в постоянных ценах элементов затрат.
-метод прямой переоценки – перемножение количества произведенной (использованной) продукции на соответствующие постоянные цены.
-метод экстраполяции:
,
где
- индекс физического объема.
Дата добавления: 2015-08-11; просмотров: 962;

,
- ВВП отчетного периода в текущих ценах;
- ВВП базисного отчетного периода в текущих ценах
-индекс численности занятых в экономике;
- индекс фондоотдачи;
- индекс фондовооруженности
Позволяет сравнивать изменения в структуре за несколько лет.
Квадратический коэффициент структурных сдвигов:
Где n – число частей в структуре совокупности (количество частей в отчетном и базисном годах должно совпадать).
Интегральный коэффициент структурных сдвигов Гатева:
где
,
- доля i-части ВВП в общем итоге ВВП соответственно в отчетном и базисном периодах.
Коэффициент Гатева изменяется в пределах от 0 до 1. Если значение
близко к 0, то структурные сдвиги незначительны; если